Одноэлектронный перенос
ОДНОЭЛЕКТРОННЫЙ ПЕРЕНОС, вид донорно-акцеп-торного взаимод., завершающегося перемещением одного электрона, к-рый покидает высшую занятую орбиталь донора и занимает низшую своб. орбиталь акцептора. Такой процесс осуществляется легко, если указанные орбитали соответствуют друг другу по симметрии (см. Орбиталь) и имеют подходящую разницу в уровнях энергии.
В общем случае энергии орбиталей, принимающих участие в одноэлектронном переносе, пропорциональны сродству акцептора к электрону и потенциалу ионизации донора. Для одноэлектронного переноса необходимо, чтобы первая из этих величин была бы больше второй. Чем такая разница сильнее, тем одноэлектронный перенос идет легче. Присоединение электрона к молекуле обычно сопровождается выделением энергии, величина к-рой соответствует электронному сродству (напр., для ароматич. углеводородов кол-во выделяющейся энергии может составлять от 10 до 100 кДж/моль). Отдача молекулой электрона обычно связана с поглощением энергии, необходимое кол-во к-рой определяется потенциалом ионизации (напр., потенциалы ионизации ароматич. углеводородов варьируют от 700 до 1000 кДж/моль).
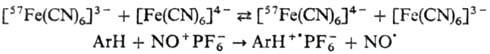
Одноэлектронный перенос называют внешнесферным, если окислит.-восстано-вит. взаимод. между донором и акцептором происходит непосредственно, напр.:

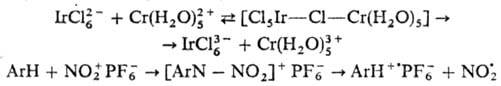
Одноэлектронный перенос называют внутрисферным, если ему предшествует образование биядерного комплекса с "мостиком" между донором и акцептором, напр.:
В качестве мостика в приведенных примерах участвуют атом Сl и хим. связь.
В случае внешнесферного механизма одноэлектронного переноса соблюдается параболич. зависимость между энергией активации и логарифмом константы скорости р-ции (т. наз. зависимость Маркуса). Неподчинение такой зависимости соответствует внутрисферному одноэлектронному переносу.
В р-циях с одноэлектронным переносом, к-рые осуществляют в р-ре, важную роль играют сольватац. эффекты. Так, разница в поведении NO+ и
в приведенных выше р-циях обусловлена существ. различием значений энергий сольватации (297 и 586 кДж/моль для NO+ и
соотв.). Сольватац. эффекты компенсируют затраты энергии, к-рые расходуются на изменение длины связей и величин валентных углов в реагирующих частицах, на конформац. переходы и др., что необходимо для достижения переходного состояния. Обычно снижению энергии сольватации способствуют высокая степень сопряжения связей в молекуле, малая полярность р-рителя, отсутствие или слабое сцепление ионных пар в молекуле, присутствие в субстрате поляризующихся фрагментов, а также незначит. конформац. изменения в молекуле. Все это благоприятствует одноэлектронному переносу.
Одноэлектронный перенос реализуется гл. обр. как промежут. стадия р-ций. При этом обычно образуются ион-радикалы или радикалы. Выявление стадий одноэлектронного переноса в осуществляемой р-ции открывает нетривиальные пути управления этими р-циями. Удалось, напр., реализовать высокую селективность при деблокировании защищенного фенилаланина (ф-ла I) при осуществлении пептидного синтеза (обе защитные группы омыляются в кислой среде и поэтому обычные методы их селективного деблокирования неприемлемы):

На практике склонность разл. в-в к одноэлектронному переносу оценивают по разности их окислит.-восстановит. потенциалов, напр. потенциалов полуволн Е1/2 обратимого одноэлектронного восстановления. Одноэлектронный перенос осуществляется в тех случаях, когда Е1/2 акцептора более отрицателен, чем Е1/2 донора. Одноэлектронный перенос может происходить и при неблагоприятной разнице потенциалов в случаях реализации квантового туннелирования (см. Туннельный эффект)или когда в качестве переносчика электрона используют т. наз. медиатор - постороннее в-во, способное легко окислять донор и затем восстанавливать акцептор. Так, в присут. хинонов (Q) резко облегчается одноэлектронный перенос от n-(CH3)2NC6H4N(CH3)2 к ССl4. Добавление Zn(ClO4)2 в реакц. среду существенно повышает скорость одноэлектронного переноса от амина (донора) к Q. В этом случае каталитич. эффект обусловлен координацией
с Zn2+, что способствует сдвигу равновесия одноэлектронного переноса и накоплению катион-радикала донора во времени. Сдвиг равновесия наблюдается и тогда, когда в результате одноэлектронного переноса реагирующие молекулы претерпевают необратимые хим. или стереохим. изменения.
Для орг. соед. способность вступать в р-ции одноэлектронного переноса зависит также от изотопного состава их молекул. Напр., дейтерир. соед. имеет более высокий потенциал ионизации и более низкое сродство к электрону; на этом основании удается проводить изотопное разделение. Так, используя различия в св-вах нейтральных молекул и их анион-радикалов, выделяют C6H5NO2, обогащенный 15N. За 16 циклов одно-электронного восстановления-окисления из C6H5NO2 с естеств. содержанием 15N (0,37%) получают практически чистый C6H515NO2 (99%).
Неконтролируемый одноэлектронный перенос считают причиной многочисл. процессов, вызывающих разл. нарушения в клетках живых организмов. Напр., при попадании нитросоед. в организм могут образовываться анион-радикалы в результате одноэлектронного переноса от флавопротеидов (см. Коферменты}. Эти продукты одноэлектронного переноса далее выступают в качестве доноров по отношению к О2, к-рый превращ. в супероксид-ион
. Последний под влиянием фермента супероксиддисмутазы в присут. солей железа превращ. сначала в Н2О2, а затем радикалы
, к-рые взаимод. с биомолекулами, вызывая мутации, давая начало злокачеств. перерождению клеток, нарушая ф-ции липидов и белков. Ферменты, участвующие в переносе электронов, напр. флавопротеиды, ферредоксин (переносит электроны от возбужденного светом хлорофилла), могут также и напрямую осуществлять одноэлектронный перенос к акцептору. Так, необратимое повреждение печени под действием ССl4 обусловлено распадом
, к-рый образуется в организме, на Сl- и
Последний захватывается печеночной тканью как сам по себе, так и в виде аддукта с кислородом
; оба радикала чрезвычайно токсичны.
Для обнаружения в механизме р-ции одноэлектронного переноса используют радиоспектроскопич. методы (ЭПР, хим. поляризацию ядер), оптич. методы с быстрой регистрацией (напр., пико-секундную лазерную спектроскопию). Косвенным подтверждением одноэлектронного переноса служат изменение спектральных характеристик р-ра, в частности появление полосы переноса заряда (см. Молекулярные комплексы), и хемилюминесценция. Для идентификации р-ций, включающих одноэлектронный перенос, используют также их ингибирование при введении посторонних радикалов, доноров или акцепторов электрона, либо инициирование полимеризации добавленного в реакц. среду мономера (напр., акрилонитрила). Большинство этих методов основано на фиксации ион-радикалов, к-рые образуются при одноэлектронном переносе в клетке р-рителя (см. Клетки эффект)и затем выходят в объем р-ра. Известны р-ции одноэлектронного переноса, идущие "неявно", без выхода ион-радикалов из клетки р-рителя. Такие процессы распознают с помощью косвенных методов, характерных для химии радикалов свободных.
Лит.: Тодрес 3. В., Ион-радикалы в органическом синтезе, М., 1986; Cannon R. D., Electron transfer reactions, L.-Boston, 1980; Eberson L., Electron transfer reactions in organic chemistry. В., 1987; Prousek J., Reakce iniciovane pfenosem electronu, Praha, 1988; Photoinduced electron transfer, v. V. A-D, Amst., 1989. З.В. Тодрес.