Аспартатаминотрансфераза
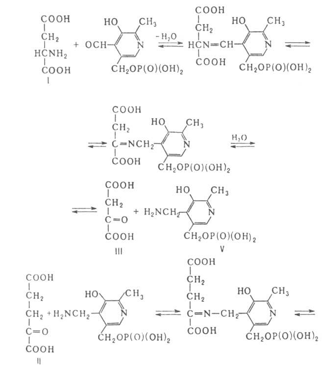
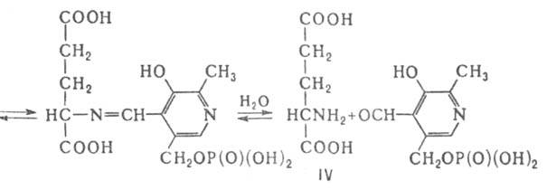
АСПАРТАТАМИНОТРАНСФЕРАЗА (L-аспартат : 2-оксо-глутарат аминотрансфераза), фермент класса трансфераз, катализирующий при участии кофермента пиридоксаль-5'-фосфата обратимый перенос аминогруппы (трансаминирование) от L-аспарагиновой к-ты (ф-ла I) на 2-оксоглутаровую (II) с образованием щавелевоуксусной (III) и L-глутаминовой (IV) к-т. Р-ция трансаминирования состоит из двух полуреакций; на промежут. этапе образуется пиридоксамин-5'-фосфат (V): 
В тканях позвоночных аспартатаминотрансфераза существует в виде двух форм (изоферментов)-цитозольной (мол.м. 92,6 тыс.) и митохондриальной (мол.м. 89,8 тыс.); их изоэлектрич. точки соотв. 6 и 9. Оптимальная каталитич. активность аспартатаминотрансферазы при рН 8,0-8,5. Определены первичная и трехмерная структуры обоих изоферментов. Они состоят из 2 идентичных субъединиц, к-рые построены из 2 доменов - большого, связывающего кофермент, и малого подвижного; между ними расположен активный центр. Взаимодействие с субстратом сопровождается сдвигом малого домена в сторону активного центра и поворотом пиридинового кольца кофермента на ~ 30°. Кофермент прочно связан с апоферментом через остаток фосфорной к-ты, фенольную и альдегидную группы и атом N. Его альдегидная группа образует основание Шиффа с
NH2-группой остатка лизина в белке, что обусловливает ярко-желтую окраску аспартатаминотрансферазы в кислой среде (
430 нм); в щелочной среде аспартатаминотрансфераза почти бесцветна (
362 нм). Аспартатаминотрансфераза из митохондрий катализирует также трансаминирование с участием L-тирозина, L-триптофана и L-фенилаланина; скорость этого процесса в 200-1000 раз меньше, чем в основной р-ции.
Ингибируется аспартатаминотрансфераза гидроксиламином, гидразином и их производными, а также циклосерином, серин-О-сульфокислотой, пропаргилглицином и нек-рыми двухосновными к-тами. Фермент обнаружен у млекопитающих, птиц, растений и микроорганизмов. Активность аспартатаминотрансферазы в крови человека резко возрастает при инфаркте миокарда, что используется для диагностич. целей.
Литература
Вгаunstein А. Е., в кн.: Enzymes, ed. by P.O. Boyer, 3 ed, v. 9, N.Y., 1973, pi 379-481; Transaminases, ed. by P. Christen, D.E. Metzler, N.Y., 1984. Ю.М. Торчтский.