Конформационный анализ

КОНФОРМАЦИОННЫЙ АНАЛИЗ, раздел стереохимии, изучающий конформации молекул, их взаимопревращения и зависимость физ. и хим. св-в от конформац. характеристик. Конформации молекулы - разл. пространств. формы молекулы, возникающие при изменении относит. ориентации отдельных ее частей в результате внутр. вращения атомов или групп атомов вокруг простых связей, изгиба связей и др. Каждой определенной конформации соответствует определенная энергия. При рассмотрении пов-сти потенц. энергии основного состояния молекулы как ф-ции координат атомных ядер возможно существование одного, двух и более энергетич. минимумов. В этом случае имеются соотв. одна, две и более устойчивые конформации (в общем случае различающиеся по своей энергии), разделенные потенц. барьером (барьерами). Множество конформации, находящихся в окрестности энергетич. минимума с энергией ниже соответствующего потенц. барьера, представляет собой конформер. Обычно понятие конформера отождествляют с конформацией, имеющей миним. энергию. Явление существования разл. конформеров наз. конформац. изомерией. Любой переход между двумя конформациями, оcуществляемый без нарушения целостности молекулы, есть конформац. переход. Переход между конформерами требует преодоления потенц. барьера. наиб. часто в конформационном анализе рассматривают переходы, реализующиеся в форме вращения относительно связей (см. Внутреннее вращение молекул) или пирамидальной инверсии. Реже встречаются политопные перегруппировки, посредством к-рых происходят конформац. переходы в нек-рых комплексных и неорг. соединениях (напр., псевдовращение Берри в тригонально-бипирамидальных структурах). Конформац. переход может приводить к изменению конфигурации молекулы (см. Конфигурация стереохимическая), даже если он связан только с процессом вращения вокруг связей; так, взаимопревращение (интерконверсия) двух конформеров 1,2-цис-дизамещенного циклогексана или двух гош-конформеров 1,2-дизамещенного этана есть одновременно и акт энантиомеризации. (Об обозначениях конформеров см. Номенклатура стереохимическая). Энергетические барьеры и относительная стабильность конформеров ациклических соединений. При достаточно высоких барьерах интерконверсии возможно разделение конформац. изомеров, напр., в случае орто-замещенных бифенилов (атропоизомерия). Применение очень низких т-р позволило разделить конформеры замещенных циклогексанов. Однако ввиду относительно низких потенц. барьеров конформац. переходы при обычных условиях происходят, как правило, очень быстро, и молекулы существуют в виде равновесной смеси конформеров. Разность своб. энергий DG конформеров А и В связана с константой конформац. равновесия К ур-нием (1) и с соответствующими разностями энтальпий и энтропии ур-нием (2): DGA-B=GA-GB=-RTlnК=-RTln([A]/[B]), (1) DG=DH-TDS, (2) где Т - абс. т-ра, R - газовая постоянная, [A] и [B] - концентрации конформеров А и В соответственно. Энтропийный вклад TDS значителен при наличии двух и более эквивалентных конформеров, напр. при нахождении разности своб. энергий анти- (1 конформер) и гош-форм бутана (2 конформера). Константа скорости kскор взаимопревращения энергетически вырожденных конформеров определяется величиной барьера 441_460-56.jpg:
441_460-57.jpg
где k и h - постоянные Больцмана и Планка соответственно.
При внутр. вращении вокруг простой связи С—С в этане возникают три минимума, отвечающие стабильным шахматным конформациям, и три максимума, отвечающие заслоненным конформациям, что соответствует барьеру третьего порядка (трехкратному). Зависимость потенц. энергии V от угла относит, поворота ср выражается ур-нием:
V(j)=(V3/2)(1-cosЗj). (4) Величина барьера в этане оценивается в 12-14 кДж/моль. Замещение в этановом фрагменте приводит к изменению формы кривой потенц. энергии. Так, в случае бутана минимумы и максимумы не идентичны друг другу. Два максимума имеют энергию ок. 16 кДж/моль и один - ок. 25 кДж/моль относительно устойчивой анти-конформации. В общем случае ф-ция потенц. энергии V(ф) м. б. разложена в ряд потенциалов разл. порядка. Величины барьеров, как и разность энергий конформеров, зависят от типа связи, электронной природы и объема заместителей. Для бутана разность энергий гош- и анти-конформаций оценивается в 2,5-3,8 кДж/моль [DH=~-2,9 кДж/моль, DS~-5,9 Дж/(моль.К)] и обусловлена отталкиванием метильных групп в гош-форме (ф-ла I). Переход от газовой фазы к конденсированной способствует стабилизации гош-конформера. Увеличение объема заместителей при связи С—С приводит к усилению гош-отталкивания. дополнит. влияние (обычно отталкивание) оказывает электростатич. взаимод. полярных заместителей. Для гомологов бутана порядок стабильности аналогичен. Так, для пентана устойчивость конформеров увеличивается в ряду гош+, гош-<гош, анти<анти, анти (знаки + или - характеризуют знак угла относит, поворота; в ф-ле I он положительный). Особенно неблагоприятны 1,3-взаимодействия СН3...СН3 в гош+-, гoш- - конформации II. Для высших членов ряда конформация плоского зигзага (анти, анти,...) становится статистически неблагоприятной.
441_460-58.jpg
Введение в цепочку двух и более гетероатомов может принципиально изменить относит, стабильность конформеров. Напр., гош- -, гош- - конформер диметоксиметана (III) на 8,1 кДж/моль стабильнее гош-, анти-формы и на 14,2 кДж/моль стабильнее анти-, анти - формы (следствие обобщенного аномерного эффекта; см. ниже). Для фрагмента =С—С= (в диенах, дикарбонильных сое д., производных щавелевой к-ты, бензальдегиде и т.п.) устойчивы плоские конформации, что обусловлено значит. сопряжением в плоских структурах. Это приводит к двукратному барьеру вращения с максимумом при 90o (20,5 кДж/моль в бутадиене). При вращении относительно sp2-sp3 - связи (напр., в пропилене, ацетальдегиде) обычно более стабильны заслоненные конформации типа IV, а конформации типа VI соответствуют наивысшей энергии. Конформации V представляют промежут. минимум. Если три заместителя у sр3 - атома одинаковы (нитромeтан, толуол), то имеется симметричный шестикратный барьер, описываемый ф-лой V(j)=(К6/2)(1-соs6j); устойчива также заслоненная конформация. Барьер вращения вокруг sр-sp3 - связи практически равен нулю.
441_460-59.jpg
Для молекул с кратными связями и неподеленными парами электронов одним из главных факторов, определяющих величину барьера, является степень двоесвязанности. Так, в отличие от аминов, большая кратность связи С—N в амидах приводит к значит. возрастанию барьера. Наоборот, даже очень большой барьер вращения вокруг связи С=С м. б. резко снижены введением заместителей, уменьшающих порядок этой связи: для соед. VII барьер составляет <34 кДж/моль.
441_460-60.jpg
Типичным примером пирамидальной инверсии является поведение аммиака и аминов (VIII). Молекула проходит через плоскую конформацию с величиной барьера 21-25 кДж/моль. Последняя сильно возрастает для элементов высших периодов. Напр., для соед. Р(III) барьер оценивается в 125-165 кДж/моль, что позволяет разделять хиральные фосфины на энантиомеры. Любые структурные особенности (электронные и стерические), стабилизирующие плоскую конформацию, уменьшают барьер, и наоборот. Вовлечение пары электронов р-орбитали в сопряжение приводит к уплощению конфигурации атома азота в амидах или совершeнно плоской конфигурации в пирролах. Для фосфола IX барьер инверсии при 25 °С равен 67 кДж/моль, т.е. на 105 кДж/моль ниже, чем для аналогичных насыщ. систем. На величину барьера существенно влияет наличие соседнего гетероатома: барьер инверсии при переходе от азиридинов к оксазиридинам возрастает от 63-89 до 134 кДж/моль. Включение пирамидального атома в малый цикл сильно дестабилизирует переходное состояние. Напр., включение атома азота в трехчленный цикл (N-алкилазиридины) может настолько повысить барьер, что соед. будет существовать при комнатной т-ре в виде геом. изомеров или энантиомерных форм.
Конформации основных циклических систем. Для молекулы циклогексана возможны две свободные от углового напряжения (см. Напряжение молекул) формы: "кресло" (ф-ла X) и "ванна" (XI). Конформация ванны сильно дестабилизирована внутримол. невалентными взаимод., прежде всего между т. наз. "флагштоковыми" атомами водорода. Неск. более стабильная конформация скрученной ванны ("твист" - форма; XII) все же на 23,4 кДж/моль выше по энергии, чем конформация кресла. Поэтому циклогексан при обычной т-ре на 99,9% существует в форме двух быстро интерконвертирующих кресловидных конформаций. При переходе между ними
441_460-61.jpg
вес аксиальные заместители а становятся экваториальными е и наоборот. Переход осуществляется через промежуточно возникающую твист - конформацию. Альтернативные твистконформации быстро превращ. друг в друга через конформацию ванны (псевдовращение). Барьер конформац. перехода в циклогексане равен приблизительно 42 кДж/моль и мало меняется при введении заместителей. Он значительно снижается при наличии планарных фрагментов - эндо- и экзоциклич. двойных связей (циклогексен, циклогексанон, метиленциклогексан и т.п.). Кресловидная конформация обычно также более стабильна для конденсированных и гетероциклич. систем. Напр., бицикло[3.3.1] нонан предпочитает конформацию двойного кресла (XIII), несмотря на сильное 3,7-отталкивание.
441_460-62.jpg
Циклогексен и бензопроизводные принимают форму полукресла (XIV). Для монозамещенных циклогексанов имеются две неэквивалентные конформаций с заместителем в аксиальном (XVa) и экваториальном (XVe) положениях. Обычно более устойчива экваториальная форма, что связывают с дестабилизирующим 1,3-син-аксиальным отталкиванием в конформере XVa. В случае R=HgHal соотношение стабильностей обратное. Величины конформац. своб. энергий заместителей могут использоваться по аддитивной схеме для приближенного предсказания положения конформац. равновесия полизамещенных циклогексанов (при введении поправок на взаимод. заместителей). Аксиальный конформер более стабилен для нек-рых гетероциклов с электроотрицат. заместителем в положении 2, напр. соед. XVI (X = OR, SR, Hal, Y=О, S, NR'), что обусловлено специфич. внутримол. взаимодействиями. Эта конформац. аномалия, получившая наименование аномерного эффекта, имеет большое значение в стереохимии углеводов. Если в конформаций кресла очень большой заместитель не может избежать неблагоприятного аксиального положения, то твист-форма может стать относительно более стабильной, напр., для транс-1,3-ди-трет-бутилциклогексана. Стабилизации твист-конформации способствует наличие в кольце карбонильных групп, нек-рых гетероатомов, а также внутримол. координац. взаимодействия, напр. в соед. XVII-XIX.
441_460-63.jpg
Для четырехчленных циклов предпочтительна сложенная конформация XX. Пятичленные циклы принимают конформацию конверта XXI или твист-конформацию XXII, к-рые исключительно быстро переходят друг в друга. При этом поочередно отгибаются все пять углов конверта (псевдовращение). Конформац. поведение молекул с числом атомов в кольце больше шести довольно сложно и характеризуется резким увеличением кол-ва относительно стабильных конформеров при увеличении размеров цикла (3 для цикло-гептана, 7 для циклооктана и т.д.).
Конформационные эффекты. Конформационный анализ использует идеи, понятия и принципы двух фундам. теорий, имеющих дело со строением молекул, а именно классич. структурной теории и квантовой химии. В соответствии с фундаментальным для классич. теории строения понятием связи между парой атомов все взаимод. в молекуле подразделяются на взаимод. связанных атомов и взаимод. несвязанных атомов. Молекула представляется механистич. системой, состоящей из упругих шариков-атомов, соединенных гибкими и упругими стержнями-связями, к-рые направлены под определенными углами друг к другу. Конформационный анализ базируется на рассмотрении вкладов в энергию молекулы Е, вносимых отклонениями длин связей (Eсв) и углов (Eугл) от "нормального" значения, а также торсионными напряжениями (Егор) и ван-дер-ваальсовым взаимод. несвязанных атомов (Eадв). Сумму этих членов называют стерич. энергией. Она различна для разных конформаций молекулы. Е=Есвуглторадв. (5) При необходимости учитывают также электростатич. взаимод. (диполь-дипольное) полярных групп (Еэлст). Поиск стабильных конформаций сводится к минимизации значения энергии как ф-ции координат атомов. Расчетные методы, основанные на этом подходе, напр. метод молекулярной механики, позволяют вычислить геом., спектральные и термодинамич. характеристики молекул и часто дают хорошее согласие с экспериментом. В нек-рых случаях относит. стабильность конформеров соединений, имеющих полярные связи и неподеленные электронные пары, нельзя объяснить только на основе указанных взаимодействий. Отклонения от ожидаемых св-в (конформац. эффекты) можно учесть как дополнит. член (Еэфф) к аддитивной схеме (5). Эффекты обусловлены специфич. взаимод. атомов и групп. Поэтому конформац. эффекты обычно связывают с определенными структурными фрагментами, часто они имеют спец. названия: аномерный (см. выше); обобщенный аномерный-предпочтительность гош-конформации относительно связи углерод - гетероатом в системах R—X—С—Y, напр. в соед. III; а-галогенкетонный - относит. дестабилизация экваториального кон-формера а-галогенциклогексанонов; гош-эффект-стабилизация конформеров с макс, числом гош-взаимодействий между несвязывающими электронными парами или полярными связями (в случае наиб. электроотрицат. заместителей при связи С—С, см. ниже); эффект "хоккейных клюшек" - отталкивание вицинальных заместителей за счет орбитальных взаимод. (см. ниже) и др. В совр. методах мол. механики параметризация потенциалов осуществляется таким образом, что мн. конформац. эффекты оказываются включенными в один или неск. членов ф-лы 5, чаще в Етор. Решение конформац. проблем в квантовой химии сводится к следующему. Для определенного набора ядер и электронов (т. е. для частицы, молекулы) решается квантово-мех. задача и находится энергия как ф-ция геометрии ядерного остова. На пов-сти потенц. энергии находят минимумы и седловины, т.е. определяют устойчивые конформации и величины барьеров. Относительно простые молекулы м. б. рассчитаны неэмпирич. методами, для более сложных систем прибегают к полуэмпирич. методам. Разложение полной или потенц. энергии на составляющие позволяет провести анализ влияния и вклада отдельных компонентов в величины барьеров, относит. стабильность конформеров и т.д. Этот подход особенно полезен, когда составляющим можно приписать к.-л. физ. смысл. Напр., ф-ция потенц. энергии при вращении вокруг связи м. б. разложена в ряд Фурье с потенц. ф-циями разл. порядка Vn. Потенциал третьего порядка отвечает торсионному потенциалу (ур-ние 4), потенциал первого порядка приписывается стерич. и диполь-дипольному взаимод. заместителей, а потенциал второго порядка-гиперконъюгации типа показанной в ф-лах XXIII, XXIV. Модельные расчеты конформеров соед. СН3ОСН2Х (X=Hal, OR, SR и др.) показывают, что обобщенный аномерный эффект м. б. интерпретирован на основе рассмотрения диполь-дипольных и гиперконъюгационных (XXIV, XXV) взаимод., баланс к-рых зависит от природы заместителя X.
441_460-64.jpg
Большое распространение получил компромиссный полулокализованный подход, основой к-poro является метод возмущений (см. Возмущений теория). Молекулу рассматривают как классич. систему с локализованными связями и применяют ур-ние 5. Однако для отдельных групп или фрагментов учитывают орбитальные взаимод. (квантово-мех. конформац. эффект), энергия к-рых рассматривается как дополнит. член в ур-нии 5. Напр., при перекрывании двух заполненных орбиталей неподеленных электронных пар n1 и n2 (рис., а) образуются связывающая (n1+n2) и разрыхляющая (nl—n2) комбинации 1 с суммарным заселением четырьмя электронами. С учетом интегралов перекрывания верх, уровень более дестабилизирован, чем нижний стабилизирован (|Eдест|>|Eст|). Это взаимод. "через пространство" объясняет дополнит. дестабилизацию гош-конформеров этановых фрагментов, замещенных в положениях 1 и 2 объемистыми атомами низших периодов: Br, S, Se и т.п. (эффект "хоккейных клюшек"). Взаимод. двух орбиталей с суммарным заселением двумя электронами, напр., (n1—n2) с s* (2, на рис., б), должно приводить к стабилизации. На этой основе можно объяснить стабилизацию гош- или заслоненных форм структурного фрагмента X—С—С—Y (эффект "через связь"). Взаимод. комбинир. орбиталей (n1+n2) и (n1—n2), образованных за счет взаимод. "через пространство", с орбиталями
441_460-65.jpg
Орбитальные взаимодействия во фрагменте X—С—С—Y: a - "через пространство" (эффект "хоккейных клюшек"); б - "через связь" (гош-эффект). связи С—С (s и s*) может привести к стабилизации системы, если стабилизирующие взаимод. 2 достаточно велики, чтобы перекрыть как эффект "хоккейных клюшек" 1, так и аналогичные дестабилизирующие взаимод. 3. Такой эффект (гош-эффект) должен проявляться для сильно электроотрицат. атомов X и Y (F, О), что связано с понижением энергии разрыхляющих орбиталей. Полулокализованный подход позволяет дать объяснение и аномерному эффекту: перекрывание подходящим образом ориентированных заполненной n-орбитали атома кислорода и разрыхляющей орбитали s*C-X стабилизирует аксиальную конформа-цию 2-замещенных тетрагидропиранов (XXV) и аналогичных гетероциклов (XVI).
Влияние внешних факторов на конформационное равновесие. Oтносит. стабильность конформеров зачастую в большей степени зависит от внеш. факторов (агрегатное состояние, природа р-рителя, давление), чем от внутримол. взаимодействий. В твердой фазе благодаря силам кристаллич. упаковки, как правило, полностью доминирует один из возможных конформеров (напр., экваториальный у моно-замещенных циклогексанов). В жидкой и газовой фазах обычно наблюдается равновесие между конформерами, причем не всегда преобладает тот, к-рый существовал в твердой фазе. Конформеры имеют разные геом. и полярные характеристики и поэтому по-разному взаимод. с р-рителем. Различие в энергиях сольватации заметно сказывается на параметрах конформац. равновесия, смена р-рителя может даже привести к изменению относит. стабильности конформеров. Напр., в р-ре пентана преобладает диаксиальный конформер транс-1,2-дихлорциклогексана, тогда как в полярном р-рителе - ацетоне - преобладает диэкваториальный конформер. Обычно более полярный р-ритель (имеющий более высокую диэлектрич. проницаемость) стабилизирует более полярный конформер. Однако понятие полярности молекулы включает не только дипольный момент, но и моменты высших порядков (квадруполь, октуполь и т. д.). Дипольный и квадрупольный вклады могут взаимно компенсироваться, в результате чего, несмотря на большое различие дипольных моментов конформеров, зависимость конформац. равновесия от полярности р-рителя может оказаться незначительной, напр. для цис-1,3-дихлорциклогексана. В нек-рых р-рителях сольватация не соответствует их диэлектрич. проницаемости (специфич. сольватация), напр. ароматич. р-рители ("бензольный эффект"), вода, к-ты, спирты и др. Существуют методы расчета энергии сольватации молекул, в к-рых она представлена в виде суммы энергий электростатич. и дисперсионного взаимод. с р-рителем, и энергии образования полости в р-рителе для помещения молекулы в-ва. Энергия сольватации полярных молекул определяется гл. обр. электростатич. вкладом. Расчет влияния р-рителя на конформац. переходы возможен также с помощью методов мол. динамики, статистич. мол. механики и квантовой механики. Своб. энергии конформац. равновесий линейно коррелируют с эмпирич. параметрами полярности р-рителей, а также (для неспецифически сольватирующих р-рителей) с величиной [0,5-(e—1)/(2e+1)]1/2, где e - диэлектрич. проницаемость. Это позволяет оценивать параметры равновесий для разл. р-рителей и для газовой фазы путем экстраполяции. Поскольку конформеры молекулы имеют разл. эффективный объем, то наложение высокого внеш. давления смещает равновесие между ними в сторону более компактной формы: гош-конформеров для алканов, аксиальных конформеров для галоген-, транс-1,2- и транс-1,4-дигалогенциклогексанов.
Связь конформаций молекул с их физическими и химическими свойствами. Различие физ. св-в конформеров проявляется прежде всего в их спектральных параметрах, вследствие чего возможно изучение конформац. переходов спектральными методами. Кроме того, для этого применяют измерение дипольных моментов, констант Керра, рентгено- и электронографию. В условиях медленной интерконверсии (при достаточно низких т-рах) различие физ. св-в позволяет осуществить разделение конформеров. Изучение хим. процессов в конформационном анализе включает: 1) определение относит. термодинамич. стабильности изомеров при помощи конформац. критериев; 2) выявление реакционноспособных конформаций, в к-рых обеспечивается оптим. пространств. расположение фрагментов молекулы; 3) рассмотрение зависимости соотношения образующихся продуктов р-ции от положения конформац. равновесия реагентов. Первое направление иллюстрируется мутаротацией сахаров, контролируемой конформац. факторами. Другой, более частный пример - преобладание транс-4-трет-бутилциклогексанола в равновесии с его циc-изомером (соотв. 4:1). Реакц. способность конформеров определяется тем, насколько их структура удовлетворяет стерич. и стереоэлектронным требованиям р-ции (стерич. доступность реагирующих групп, транс-расположение элиминируемых групп в р-ции E2, наличие донорных неподеленных пар электронов антиперипланарных разрывающейся или образующейся связи С—О при гидролизе или получении ацеталей и ортоэфиров и т. д.). Напр., дегидробромирование бромциклогексана (XXVI) протекает как транс-элиминирование, к-рое может осуществляться только для аксиальной конформаций, несмотря на то, что доля этой конформаций в равновесии мала (см. также Динамическая стереохимия):
441_460-66.jpg
Обобщение эксперим. данных позволило сформулировать многочисл. правила относительно реакц. способности конформеров и стереоизомеров вообще. Напр.: экваториальные заместители в производных циклогексана более доступны и вступают в р-ции с большей скоростью (гидролиз, этерификация и т. д.); при р-циях, в ходе к-рых удаляется заместитель, аксиальный изомер реагирует быстрее, т. к. при этом исчезают 1,3-син-аксиальные взаимод. (окисление спиртов, замещение, элиминирование и т. д.); объемистые восстановители вследствие стерич. затруднений атакуют карбонильную группу в циклогексанонах с экваториальной стороны с образованием аксиальных спиртов, а менее объемистые (LiAlH4) - c аксиальной стороны, образуя экваториальные спирты; атака реагентом диастереотопных сторон молекулы приводит к образованию диастереомерных продуктов в неравных соотношениях благодаря различию в своб. энергиях соответствующих переходных состояний и образующихся продуктов (см. также Асимметрический синтез), и т. д. Особое значение имеет разл. реакц. способность конформеров в ферментативных процессах. Если в р-ции участвуют два и более конформера, то они, как правило, дают разл. продукты, напр.:
441_460-67.jpg
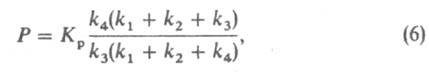
В общем случае для конформационно подвижной системы, реагирующей по схеме
441_460-68.jpg
(А и В - разл. конформаций одного и того же соед., С и D-конечные продукты р-ции, k1-k4 - константы скорости р-ций), соотношение образовавшихся продуктов Р (равное отношению конечных концентраций [D]/[C]) определяется из ур-ния 6.
441_460-69.jpg
где Кр - константа равновесия р-ции АDВ. Обычно рассматриваются два крайних случая: 1) при конформац. контроле, когда k3 и k4 значительно превышают k1 и k2, соотношение продуктов определяется положением конформац. равновесия и Р=Кр; 2) если kl и k2 значительно превышают k3 и k4, то Р=Кр(k4/k3) (см. Кёртина-Гаммета принцип).
Конформационный анализ полимеров. Конформационный анализ полимеров базируется на тех же принципах и использует те же эксперим. и расчетные методы, что и конформационный анализ низкомол. соединений. Однако значит. длина цепных макромолекул обусловливает и качественно новые св-ва (напр., гибкость), для описания к-рых требуются статистич. подходы и спец. эксперим. методы (см. Макромолекула). Изменение конформаций макромолекулы происходит из-за ограничения вращения звеньев вокруг связей, в результате чего она обычно принимает наиб. вероятную форму статистич. клубка. Разл. внутри- и межмол. взаимод. могут приводить к упорядоченным конформациям (см. ниже), а также к предельно свернутой глобулярной конформаций. Исключительное значение имеет конформационный анализ в биохимии и биофизике. Хим. и биол. св-ва биополимеров (белков, углеводов, нуклеиновых к-т и т. д.) в большой степени зависят от их конформац. св-в. Так, при сильном изменении нативной конформаций белков (денатурации) они полностью теряют свою биол. активность. Конформац. изменения являются обязательной составной частью практически всех биохим. процессов. Напр., в ферментативных р-циях "опознавание" субстрата ферментом, характер взаимод. и структура образующихся продуктов определяются пространств. строением и возможностями взаимной подстройки (в т. ч. конформационной) участвующих молекул. Часто связывание фермента с субстратом вызывает в последнем такие конформац. изменения, к-рые и делают возможным его дальнейшее строго регио- и стереоспецифичное реагирование. Ввиду больших размеров и сложности строения объектов конформац. св-ва биополимеров носят очень сложный характер. Так, разл. белки и полипептиды могут существовать в виде b-структур (параллельные мол. цепочки), a-спиралей, глобул и т. п., причем мн. макромолекулы могут почти беспрепятственно переходить из одной конформации в другую. относит. стабильность конформеров зависит от суммарной энергии гигантского числа внутри- и межмол. взаимод., имеющих разл. природу: ван-дерваальсовы, электростатич., гидрофобные взаимод., а также водородные связи, комплексообразование с Ионами металлов и т. д. Для упрощения конформационного анализа биополимеров структуру мн. мономерных звеньев можно рассматривать как жесткую (пептидные фрагменты в белках, пяти- и шестичленные кольца в углеводах). В этом случае становится возможным расчет конформац. св-в макромолекул.
Литература
Конформационный анализ, пер. с англ., М., 1969; Внутреннее вращение молекул, пер. с англ., М., 1977; Дашевский В. Г., Коиформационный анализ органических молекул, М., 1982; Конформационный анализ элементо-органических соединений, М., 1983; Ногради М., Стереохимия, пер. с англ., М., 1984; Самошин В. В., Зефиров Н. С., "Ж. Всес. хим. об-ва им. Д. И. Менделеева", 1984, т. 29, в. 5, с. 41(521)-50(530); Кёрби Э., Аномерный эффект кислородсодержащих соединений, пер. с англ., М., 1985; Киперт Д., Неорганическая стереохимия, пер. с англ.. М.. 1985; Шевченко С. М.. Молекула в пространстве, Л., 1986; Потапов В. М., Стереохимия, 2 изд., М., 1988; Methods in stereochemical analysis, v. 1-4, ed. by A. P. Marchand, Deerfleld Beach, 1982-85; Deslongchamps P., Stereoelectronic effects in organic chemistry, Oxf., 1983; Seeman J. I.. "Chem. Rev.", 1983, v. 83, № 2, 83-134.
Н. С. Зефиров. В. В. Самошин.

Ещё по теме
Конформационный анализ в стереохимии
Конформация молекул — понятие и значение
Молекулярные перегруппировки — механизмы и применение
Механизмы действия ферментов — от структуры к функции
Процесс свёртывания белков — ключевые аспекты и примеры
Особенности органических соединений и реакций
Реакционная способность — квантово-химические теории и влияние среды
Квантовохимические исследования возбуждённых состояний органических соединений
Реакции в твёрдых телах — механизмы и особенности
Реакции полимеризации и конденсации карбонильных соединений
Пространственное строение органических молекул
Электронные представления в органической химии — от Беркенгейма до квантовой теории
Химическая инверсия — типы и особенности
Тепловые эффекты органических реакций — методы расчёта и их применение