Конформационный анализ
Конформационный анализ, область стереохимии, исследующая конформации молекул и связи их с физическими и химическими свойствами веществ. Голландский химик Я. Х. Вант-Гофф в основу разработанной им (1874—75) стереохимической гипотезы положил два основных постулата: валентности насыщенного атома углерода направлены в пространстве к вершинам тетраэдра; атомы или группы атомов (заместители) в молекуле способны свободно вращаться вокруг простых связей без их разрыва (в отличие от двойных связей, жёсткость которых служит причиной появления геометрии изомеров; см. Изомерия). Впоследствии тетраэдрическая модель атома углерода была подтверждена прямыми рентгенографическими определениями. Положение же о свободном вращении вокруг простых связей подверглось пересмотру, поскольку было установлено, что вращение вокруг простых связей происходит не вполне свободно; при таком вращении возникают энергетически неравноценные геометрические формы — конформации, или поворотные изомеры, некоторые из них энергетически предпочтительнее других. Большинство молекул существует преимущественно в одной или немногих устойчивых (предпочтительных) конформациях. Энергетические барьеры, разделяющие разные конформации одного и того же вещества, обычно составляют 20,9—62,7 кдж/моль (5—15 ккал/моль); отдельные конформации постоянно переходят друг в друга. Особое значение имели исследования английского химика Д. Бартона о конформациях в ряду циклогексана; этот автор и ввёл термин «конформационный анализ» (1950).
В ряду парафиновых углеводородов необходимость конформационного рассмотрения возникает уже в случае этана, для которого возможны две конформации: т. н. заслонённая (или чётная) и заторможенная (или нечётная), образующиеся при вращении одной метильной группы относительно другой
В чётной конформации этана атомы водорода расположены наиболее близко один к другому («друг за другом») и, следовательно, отталкивание между ними наибольшее; поэтому энергия этой конформации максимальна [она на 12,5кдж/моль (3 ккал/моль) больше энергии нечётной конформации]. Из этого энергетически невыгодного состояния молекула стремится перейти в более устойчивое состояние, в нечётную конформацию, атомы водорода в которой находятся на наибольшем возможном расстоянии друг от друга. В этом более благоприятном положении вращение вокруг связи С—С «тормозится» (отсюда и второе название — заторможенная).
Заместители более объёмные, чем водород, не могут занимать чётных (заслонённых) положений. Поэтому, например, для бутана CH3—CH2—СН2—CH3 следует рассматривать лишь три нечётные конформации, из которых наиболее выгодна трансоидная. С увеличением длины углеродной цепи, с появлением заместителей число возможных конформации, которые может принять молекула, быстро возрастает. Обычно из них более благоприятны те, в которых объёмные заместители максимально удалены друг от друга (как в трансоидной конформации бутана). Однако если между заместителями возникает электростатическое притяжение или водородная связь, то более выгодной может оказаться скошенная конформация, как, например, у этиленхлор-гидрина HOCH2—CH2CI.
Характер химических превращений вещества часто зависит от конформации его молекул. Так, дебромирование 2,3-дибром-бутана металлическим цинком возможно лишь при трансоидном положении отщепляющихся атомов брома. Поэтому два диастереомера 2,3-дибромбутана дают геометрически изомерные олефины.
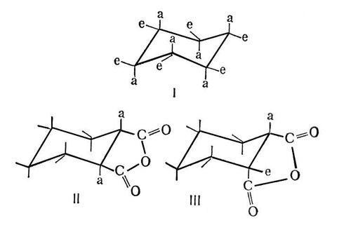
Большое значение имеют конформационные представления для объяснения свойств циклических соединений, особенно в ряду циклогексана. Последний существует главным образом в форме «кресла», которая особенно выгодна, т. к. валентные углы в ней не искажены, а конформации по всем связям С — С нечётные. Оставшиеся две валентности каждого из входящих в цикл атомов углерода ориентированы или перпендикулярно к кольцу (аксиальные связи — а), или направлены по его периферии (экваториальные связи — е). Более выгодно экваториальное расположение заместителей. Например, при комнатной температуре конформационное равновесие хлорциклогексана е: а = 70: 30. При понижении температуры до —150° С скорость взаимопревращения сильно уменьшается; в этих условиях можно изолировать чистую е-форму хлорциклогексана. Конформационное рассмотрение циклогексанового кольца позволяет, например, понять, почему как цис-, так и транс-циклогексан-1,2-дикарбоновая кислота способна к образованию ангидрида (в обоих случаях диэдральный угол между связями, ведущими к группам COOH, составляет 60°).
Для исследования конформации, помимо химических методов, широко используются и физические, особенно метод ядерного магнитного резонанса. Полученные данные о конформациях органических соединений служат важной основой для истолкования и предсказания их свойств. Большое значение конформационные представления приобрели в химии синтетических и природных высокомолекулярных соединений, в области физиологически активных веществ.
Лит.: Конформационный анализ, пер. с англ., М., 1969; Илиел Э., Основы стереохимии, пер. с англ., М., 1971; Терентьев А. П., Потапов В. М., Основы стереохимии, М. — Л., 1964.
В. М. Потапов.

Рис. 5. Кресловидные конформации: циклогексана с аксиальными (а) и экваториальными (е) связями (I), ангидрида транс-циклогексан-1,2-дикарбоновой кислоты (II) и ангидрида цис-циклогексан-1,2-дикарбоновой кислоты (III).

Рис. 3. Перспективная формула (а) и формула Ньюмена (б) для этиленхлоргидрина (скошенная конформация).

Рис. 2. Формулы Ньюмена, изображающие три заторможенные (нечётные) конформации бутана.

Рис. 1. Перспективные формулы (а) и проекционные (вид на молекулу «сверху» вдоль связи С — С) формулы Ньюмена (б), изображающие заслонённую, или чётную (I), и заторможенную, или нечётную (II), конформации этана, j- угол между заместителями, т. н. двугранный (или диэдральный) угол.

Рис. 4. Схемы реакций дебромирования 2,3-дибромбутана.