Эфиры сложные

ЭФИРЫ СЛОЖНЫЕ, продукты замещения атомов водорода групп ОН в минер. или карбоновых к-тах на углеводородные радикалы. Для многоосновных к-т различают полные и кислые эфиры (напр., ROSO2OR' и ROSO2OH, ROCOCH2COOR' и ROCOCH2COOH соотв., где R, R' - алкил, арил, гетерил). Строение эфиров сложных может быть представлено двумя резонансными структурами:

6046-2.jpg

Эфирная группировка планарна или близка к планарной: простая связь С — О (структура I) имеет конформацию с цисоидным расположением карбонильной двойной связи и связи О — R. Длина связи С = О в разл. эфирах сложных 0,119-0,122 нм, связи С — О 0,131-0,136 нм, углы ОСО 122-126°, СОС 113-118°.
По номенклатуре ИЮПАК названия эфиров сложных производят от назв. апкильной или арильной группы гидроксильного компонента и названия к-ты путем замены окончания "овая" на суффикс "ат", напр.: C2H5COOC2H5 - этилпропионат, CH3OSO2OH - метилсульфат. Нек-рые эфиры сложные имеют тривиальные названия.
Эфиры сложные- главная составная часть жиров, восков, спермацета; входят в состав мн. эфирных масел.

Физические свойства. Эфиры сложные низших карбоновых к-т и простейших спиртов - бесцв. летучие жидкости, часто с приятным фруктовым запахом; эфиры сложные высших карбоновых к-т - твердые бесцв. в-ва, почти лишенные запаха. Низшие эфиры сложные минер. к-т (алкилсульфиты, алкилсульфаты, алкилбораты) - маслянистые жидкости с приятным запахом; алкилсульфаты, начиная с С9Н17,- твердые соед. Т-ры кипения эфиров сложных низших спиртов ниже, чем соответствующих к-т; т-ры кипения сульфитов обычно ниже, чем сульфатов. Эфиры сложные плохо раств. в воде, хорошо - в орг. р-рителях, обладают значит. дипольным моментом (6046-3.jpg 5,67 х 10-30-6,66 х 10-30 Кл х м).
В ИК спектрах эфиров сложных присутствуют характеристич. полосы в области 1750-1700 см-1 (валентные колебания группы С = О) и 1275-1050 см-1 (валентные колебания группы С — О). В УФ спектрах наблюдаются слабые полосы при6046-4.jpg 195-210 нм6046-5.jpg переход); для6046-6.jpgненасыщ. эфиров сильные полосы при6046-7.jpg 210 нм6046-8.jpg-переход), по мере увеличения ненасыщенности полоса сдвигается в длинноволновую область. В спектрах ПМР хим. сдвиг6046-9.jpg 3,7-4,1 м. д. (6046-10.jpgН-атом спиртового остатка) и6046-11.jpg 2-2,2 м. д. (6046-12.jpgН-атом кислотного остатка).

Химические свойства. Большинство р-ций эфиров сложных связано с нуклеоф. атакой по карбонильному атому углерода и замещением алкоксигруппы:

6046-13.jpg

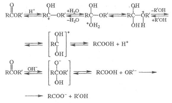
Гидролиз эфиров сложных протекает как в кислой (минер. к-ты), так и в щелочной среде [водные или спиртовые р-ры NaOH, КОН, а также Ва(ОН)2, Са(ОН)2]:
6046-14.jpg

Кислотный гидролиз - обратимый процесс, щелочной -практически необратим, т. к. карбоксилат-анион RCOO- не м. б. атакован нуклеофилом. Скорость гидролиза увеличивается с повышением т-ры и с увеличением мол. массы эфира. Многие эфиры сложные (гл. обр. жиры) гидролизуются под действием ферментов.
При взаимод. эфиров сложных со спиртами происходит переэтерификация (см. ниже); кат.- H2SO4 или сухой НС1 либо алкоголят-ион. Аммонолиз и аминолиз эфиров сложных приводит соотв. к амидам RCONH2 и N-замещенным амидам RCONR'R"; катализаторами служат чаще всего NH4C1 или СН3ОК, р-рителями - диэтиловый эфир, бензол или сам амин (для ароматич. аминов). Низкомол. эфиры сложные реагируют с NH3 при комнатной т-ре, высокомол.- при повышенных т-ре и давлении. Иногда аммонолиз проводят при низкой т-ре, чтобы избежать побочных р-ций, напр.:

6046-15.jpg

Особенно легко протекает внутримол. аминолиз; напр.,6046-16.jpgаминоэфиры циклизуются уже при комнатной т-ре, давая пирролидоны:

6046-17.jpg

При взаимод. эфиров сложных с NH2OH образуются гидроксамовые к-ты RCONHOH, с гидразином - гидразиды RCONHNH2, с ацеталями или карбоновыми к-тами в присут. минер, к-т происходит обменная р-ция (см. Ацидолиз).
Р-ции эфиров сложных с реактивами Гриньяра и др. металлоорг. соед. приводят к образованию третичных спиртов (за исключением фэрмиатов, к-рые дают вторичные спирты):

6046-18.jpg

Эфиры сложные вступают в сложноэфирную конденсацию с соед., содержащими активную метиленовую группу (см. Клайзена конденсация), диэфиры двухосновных к-т претерпевают внутримол. конденсацию (см. Дикмана реакция).
Эфиры сложные, образующие стабильные карбанионы и не проявляющие тенденции к самоконденсации, легко алкилируются; нек-рые из таких эфиров вступают в р-ции с разрывом связи алкил-кислород, напр.:

6046-19.jpg

Эфиры сложные минер. и фторзамещенных карбоновых к-т алкилируют разл. соед. в щелочной среде, напр.:

6046-20.jpg

6046-21.jpg

При т-ре выше 300 °С эфиры сложные разлагаются с образованием алкенов, пиролиз ацетатов проводят в газовой фазе при 500-600 °С:

6046-22.jpg

Пиролиз эфиров сложных жирных к-т в присут. нек-рых металлов (Mg, Zn) или их оксидов приводит к кетонам:

6046-23.jpg

Бензоаты и оксалаты разлагаются при более низких т-рах в жидкой фазе.
Эфиры сложные устойчивы к действию окислителей. Восстановление эфиров сложных (Na в этаноле, LiAlH4, A1H3 и др.) приводит к альдегидам, но обычно восстановление идет дальше - до первичного спирта:6046-24.jpg Каталитич. гидрирование эфиров сложных в присут. хромата (III) меди при т-ре 200-300 °С и давлении 10-30 МПа - пром. способ получения спиртов. При восстановлении эфиров алифатич. моно- и дикарбоновых к-т Na в кипящем ксилоле образуются ацилоины (см. Ацилоиновая конденсация).

Получение. Наиб. широко применяют этерификацию - взаимод. спиртов с к-тами: RCOOH + R'OH6046-25.jpgRCOOR' + H2O. Это - обратимая р-ция, в к-рой положение равновесия зависит от природы и кол-ва к-ты и спирта и характеризуется равновесной концентрацией продуктов этерификации (т. наз. предел этерификации), напр. при эквимол. соотношении СН3СООН и C2H5OH равновесие устанавливается, когда ~2/3 к-ты и спирта превращается в эфир. На скорость достижения предела этерификации влияют т-ра и катализаторы (сильные к-ты и их ангидриды, арилсульфоновые к-ты, кислые соли и кислые катионообменные смолы). Для повышения выхода воду из реакц. среды удаляют азеотропной дистилляцией. Легче всего этерифицируются первичные спирты, наиб. трудно - третичные.
Этерификацией наз. также методы получения эфиров сложных ацилированием спиртов, алкилированием к-т диазоалканами либо солей алкилгалогенидами.
Другой распространенный способ получения эфиров сложных - переэтерификация - замена одного спиртового или кислотного остатка в молекуле эфира сложного на другой. Осуществляют р-цию взаимод. эфиров сложных со спиртами, карбоновыми к-тами или др. эфирами сложными в присут. алкоголятов, щелочей, НС1, BF3, солей нек-рых металлов, напр.:

6046-26.jpg

Равновесие смещают вправо путем отгонки более летучих спирта, к-ты или эфира. Метод используют для получения эфиров сложных, к-рые нельзя получить этерификацией, напр. виниловые или изопропиловые эфиры высших к-т.
Эфиры сложные образуются также кислотным алкоголизмом нитрилов (кат.- H2SO4, HC1, n-толуолсульфокислота; р-ция 1); алкилированием карбоксилат-анионов (к-т или их солей) алкилгалогенидами, алкенами в присут. катализаторов (2,3); из альдегидов по Тищенко реакции; метиловые эфиры - р-цией к-т с диазометаном (4); эфиры минер. к-т - взаимод. последних, а также их галогенангадридов со спиртами или фенолами (5,6) либо минер. к-т с олефинами (7):

6046-27.jpg

6046-28.jpg

Для получения эфиров сложных

6046-29.jpg

Эфиры сложные высших дикарбоновых к-т получают из солей кислых эфиров дикарбоновых к-т в условиях электрохим. р-ции Кольбе:

2ROOC(CH2)nCOONa6046-30.jpg ROOC(CH2)2nCOOR

Эфиры сложные серной и фосфорной к-т образуются при окислении соответствующих сульфитов и фосфитов.

Определение. Для обнаружения эфиров сложных используют их р-цию с гидроксиламином: образующиеся гидроксамовые к-ты дают с FеС13 характерное красное окрашивание, для определения -кислотное число и эфирное число, а также методы хроматографии.

Применение. Эфиры сложные- р-рители, пластификаторы, экстрагенты, лек. средства (напр., нитроглицерин), сырье для синтеза полимеров (напр., метилметакрилат) и фармацевтич. препаратов (напр., производных салициловой к-ты). Эфиры сложные серной к-ты используют как алкилирующие агенты; эфиры сложные фосфорной к-ты - инсектициды, флотореагенты, присадки к маслам; низшие эфиры сложные карбоновых к-т применяют в парфюмерии и пищ. пром-сти.
См. также Ацетоуксусный эфир, Винилацетат, Глицериды, Метилметакрилат, Этилацетат и др.

Лит.: Вейганд-Хильгетаг, Методы эксперимента в органической химии, пер. с нем., М., 1968; Общая органическая химия, пер. с англ., т. 4, М., 1983, с. 288-388; Kirk-Othmer encyclopedia, 3 ed., v. 9, N. Y., 1980, p. 311-37.

Л. Н. Максимова.