Ацилоиновая конденсация

АЦИЛОИНОВАЯ КОНДЕНСАЦИЯ, образование1045-15.jpgгидроксикетонов (ацилоинов) восстановлением эфиров алифатич. моно- или дикарбоновых к-т, напр.:
1045-16.jpg

Ацилоиновая конденсация эфиров монокарбоновых к-т осуществляется двумя путями:
1045-17.jpg

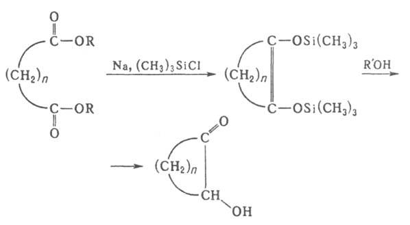
Сложный эфир нагревают с Na (мольное соотношение 1:2) в бескислородной атмосфере в инертных р-рителях, напр. в бензоле, толуоле, ксилоле. Применение вместо Na жидкого сплава его с К позволяет проводить процесс при комнатной т-ре. Для повышения выхода ацилоинов в р-ции используют (CH3)3SiCl; образующиеся при этом бис-триметилсилиловые эфиры ендиолов легко выделяются и при взаимод. со спиртом образуют ацилоины. При осуществлении ацилоиновой конденсации без (CH3)3SiCl получаются побочные продукты-1,2-дикетоны, кетоны, а также вещества, синтезирующиеся в результате конденсации Дикмана и Клайзена.

С помощью ацилоиновой конденсации можно получать с хорошими выходами ациклич. ацилоины с R от СН3 до С22Н45. Р-ция с участием эфиров двух разных монокарбоновых к-т практически не осуществляется.

Из эфиров дикарбоновых к-т в условиях, при к-рых происходит ацилоиновая конденсация монокарбоновых к-т, образуются циклич. ацилоины:
1045-18.jpg

Таким путем можно получить ацилоины, содержащие в цикле от 4 до 42 атомов С. Эту же реакцию используют для синтеза макроциклических гетероциклических ацилоинов и ацилоинов с конденсированными циклами, напр.:
1045-19.jpg

В результате ацилоиновой конденсации эфира дикарбоновой к-ты, содержащей 34 атома С, в присут. 34-членного циклоалкана удалось получить катенан. Ацилоиновая конденсация - промежут. р-ция при получении макроциклич. углеводородов, макроциклич. и ациклич. кетонов,1045-20.jpgдикетонов и диолов.

Литература

Bloomfield J.J. [а.о.], в кн.: Organic reactions, v. 23, N.Y.-L., 1976, p. 259-403. H. П. Гамбарян.