Тиазол
ТИАЗОЛ (1,3-тиазол), мол. м. 85,13; бесцв. жидкость с запахом пиридина; раств. в орг. р-рителях и в воде; т. кип. 117-118 °С;
1,198;
1,5969. Основание (рКа 2,53); для 4-метилтиазола рКа 3,07. Тиазол, как и др. азолы,-6 p-электронная гетероароматич. система. По хим. св-вам близок к пиридину и тиофену.

Производные тиазола обычно с трудом вступают в р-ции электроф. замещения, что обусловлено N-протонированием или комплексообразованием с к-тами Льюиса в условиях р-ции. В условиях, исключающих эти р-ции, бромирование Вr2 в бензоле и нитрование в уксусном ангидриде или тетрафтороборатом N-нитропиколиния в ацетонитриле идут в положение 5. Реакц. способность разл. положений тиазольного цикла при электроф. замещении, протекающем через катионный s-комплекс, уменьшается в ряду: 5->4-
2-положение. Важную роль в химии тиазола играют р-ции электроф. замещения, идущие по т. наз. илидному механизму, напр. р-ция изотопного обмена:

В р-циях нуклеоф. замещения наиб. активно положение 2, по к-рому протекают прямое нуклеоф. замещение атома H на аминогруппу по Чичибабина реакции и металлирование.
Под действием окислителей (напр., надкислот) тиазол и его замещенные окисляются в соответствующие N-оксиды, способные к 1,3-диполярному присоединению. Тиазол и его производные устойчивы к действию водорода в момент выделения, а также в присут. катализаторов, однако под действием NaBH4 превращ. в тетрагидротиазолы (тиазолидины). При действии Ni-Ренея претерпевают десульфуризацию с образованием алифатич. соединений.
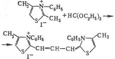
Важное синтетич. значение имеет подвижность атома водорода метилъной группы в положении 2 тиазолиевых солей, к-рая используется в синтезе цианиновых красителей, напр. по р-ции:

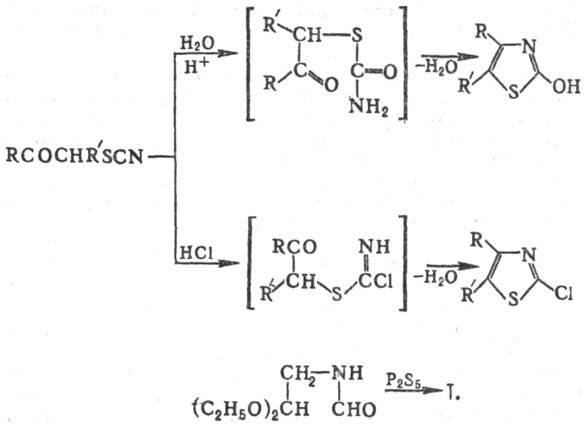
Осн. методы синтеза тиазола и его замещенных: взаимод. a-галогенкетонов или a-галогенальдегидов с тиоамидами (см. Ганча синтезы), циклизация a-тиоцианокетонов под действием водных р-ров к-т или безводного НСl либо РОСl3, взаимод. ациламинокарбонильных соед. с P2S5, напр.:

Важнейшее прир. соед. ряда тиазола-тиамин (витамин В1), молекула к-рого включает фрагмент соли тиазолия. Мн. производные тиазола-лек. препараты, напр. норсульфазол - 2-сульфаниламидотиазол и фталазол [2-(N-о-карбоксибензо-илсульфанил)амидотиазол]. Тиазолидиновое кольцо-структурный фрагмент пенициллина и разнообразных полу-синтетич. пенициллинов. Нек-рые производные тиазола-красители, используемые в т. ч. и в цветной фотографии.
Лит.: Гетероциклические соединения, под ред. Р. Эльдерфильда, пер. с англ., т. 5, М., 1961, с. 395-584; Thiazole and its derivatives, ed. by J. V. Metzger, pt 1-3, N. Y., 1979; Comprehensive heterocyclic chemistry, ed. by A. R. Katritzky, C. W. Rees, v. 4, Oxf., 1984. Л.И. Беленький.