Плавление
ПЛАВЛЕНИЕ, переход в-ва из твердого кристаллич. состояния в жидкое при нагр.; фазовый переход первого рода, происходящий с поглощением теплоты. Главными характеристиками такого перехода чистых в-в являются т-ра и энтальпия плавления. Если состав плавящегося в-ва не изменяется, плавление наз. конгруэнтным, если изменяется -ин конгруэнтным.
Плавлению предшествуют интенсивное разупорядочивание кристаллов в-ва (т. наз. предплавление) и проявление жидких микроучастков на пов-сти кристаллов и вблизи межкристал-литных границ. По мере нагревания микроучастки укрупняются и сливаются, формируя жидкую фазу, а кристаллы рассыпаются на фрагменты и уменьшаются в размерах до полного исчезновения. Теплота, подводимая к в-ву при плавлении, расходуется в осн. на разрыв межатомных связей, а не на его нагревание. Поэтому чистые крупнокристаллич. в-ва в течение плавления не изменяют свою т-ру (рис. 1). Для таких в-в т-ра плавления служит идентифицирующей характеристикой и критерием их чистоты. Плавление в-в со сходной кристаллич. структурой описывается эмпирич. ф-лой Линдемана:

где Тпл-т-ра плавления; А - постоянная для группы в-в; M и V- мол. масса и объем в-в; q-т-ра Дебая.

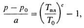
Т-ра плавления большинства чистых в-в (за исключением т. наз. аномальных-Bi, Ga, Sb, льда и др.) возрастает с увеличением давления. Для давлений, меньших 105 Па, зависимость Тпл от давления p приближенно выражается эмпирич. ф-лой Симона:

где а и с-постоянные для данного в-ва (см. табл.); p0 и T0 - координаты тройной точки (см. Диаграмма состояния).
ПАРАМЕТРЫ ПЛАВЛЕНИЯ НЕКОТОРЫХ ВЕЩЕСТВ
| в-во | Тпл, К | а, ГПа | с | ||
| Kr | 115,78 | 0,2376 | 1,617 | ||
| Xe | 161,36 | 0,2610 | 1,589 | ||
| In | 429,93 | 3,58 | 2,30 | ||
| Sn | 505,05 | 5,70 | 3,40 | ||
| NaCl | 1074,15 | 1,67 | 2,70 | ||
| Fe | 1808 | 107,00 | 1,76 | ||
| Rh | 2236 | 50,00 | 1,30 | ||
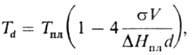
При p > 105 Па ф-ция Тпл (р)может иметь максимумы (рис. 2). Разница между т-рами плавления полиморфных модификаций одного и того же в-ва достигает 270 К (напр., две кубич. модификации KCl), а кристаллов с разл. изотопным составом-5 К (напр., водород и дейтерий). Крупные кристаллы чистого в-ва плавятся при более высокой т-ре, чем мелкие. При размерах кристаллов d > 10 нм т-ра их плавления определяется по ф-ле:

где s-уд. поверхностная энергия кристаллов;
-мол. энтальпия плавления
Переход мелкокристаллич. полидисперсных в-в в жидкое состояние происходит не при постоянной т-ре, а в интервале т-р (до неск. градусов): начинается при т-ре плавления самых мелких, а завершается при т-ре плавления наиб. крупных кристаллов. Твердые р-ры также плавятся в температурном интервале, к-рый может достигать десятков градусов и в соответствии с диаграммой состояния зависит от состава этих р-ров. Уд. энтальпия плавления большинства в-в находится в пределах 10-300 кДж/кг и значительно уступает энтальпии парообразования. Возрастание при плавлении энтропии
составляет 3-60 Дж/(моль·К); для большинства простых в-в
не превышает 6-11 Дж/(моль·К). Связь между изменениями энтальпии, энтропии и объема в-в при плавлении и Тпл описывается Клапейрона-Клаузиуса уравнением.
Неорг. простые в-ва плавятся (рис. 3) при т-рах от 2,0 К (4He) до 3653 К (вольфрам). Среди соединений наиб. Тпл имеют HfN (3603 К), ZrC (3803 К), TaC (4258 К) и HfC (4163 К). Т-ра плавления металлов коррелирует с их способностью расширяться при нагр. (рис. 4).

Орг. в-ва плавятся при 80-550 К. Энтальпия плавления гомологов увеличивается с ростом мол. массы до предела, специфичного для каждого гомологич. ряда. В-ва, молекулы к-рых имеют сильно удлиненную форму, плавятся с переходом в жидкокристаллич. состояние. Кристаллич. полимеры плавятся в интервале т-р, к-рый определяется MMP и размерами кристаллитов полимеров.
Наряду с изменениями др. физ. св-в, при плавлении увеличивается также уд. объем в-в (кроме аномальных), но резко снижается сопротивление сдвигу.
Плавление играет важную роль в природе (таяние льда и снега на пов-сти Земли, плавление минералов с образованием магмы в ее недрах и т. д.), в науке и технике для литья, пайки, получения чистых в-в (зонная плавка, плавление с фракционной кристаллизацией и др.).
Лит.: Френкель Я. И., Кинетическая теория жидкостей. Собр. избр. трудов, т. 3, M.-Л., 1959; Термические константы веществ. Справочник, под ред. В. П. Глушко, в. 1-10, M., 1965-82; Уббелоде А., Плавление и кристаллическая структура, пер. с англ., M., 1969; Физический энциклопедический словарь, M., 1984, с. 535-36. И. В. Мелихов.