Катиoнные красители

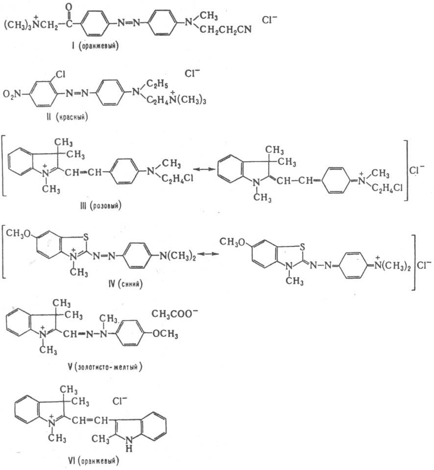
КАТИOННЫЕ КРАСИТЕЛИ, основные красители для полиакрилонитрильного волокна (ПАНВ) и нек-рых др. волокон, содержащих группы СООН или SO3H. Представляют собой соли окрашенных орг. катионов с неокрашенными анионами минер, или карбоновой к-ты. Положит. заряд катиона м. б. локализован на к.-л. атоме молекулы (обычно на N) или делокализован по системе сопряженных двойных связей. Катионные красители с локализованным зарядом относятся гл. обр. к азокрасителям (ф-лы I, II), реже к антрахиноновым и другим. Катионные красители с делокализованным зарядом разнообразнее; они включают азотсодержащий гетероцикл (индол, тиазол, бензотиазол или др.) с кватернизованным атомом N и цепь из групп -СН= или (и) -N=, на конце к-рой находится электронодонорная группировка (напр., III-VI). 1-45.jpg

Катионные красители, относящиеся к оксазиновым, арилметановым, формазановым, периноновым и др. основным красителям, также имеют делокализованный заряд. Нек-рые красители, имеющие в молекуле третичную аминогруппу, протонируются в кислой среде; их также можно применять в качестве катионных красителей (напр., VII):

1-46.jpg

Существуют биc-катионные красители, однако окраски ими ПАНВ менее интенсивны, т. к. молекула такого красителя занимает сразу два анионных центра на волокне, в результате чего последнее может связать меньшее кол-во красителя. Нек-рые бис-катионные красители все же рекомендуются для крашения спец. полиамидных и полиэфирных волокон, модифицир. привцвкой кислотных групп. Катионные красители, относящиеся к азокрасителям, получают обычным способом (см. Азакрасители), применяя содержащие четвертичный атом N диазосоставляющие или азосоставляющие (напр., таким образом синтезируют соотв. катионные красители I и II), либо после азосочетания проводят кватернизацию (так получают катионные красители IV). Катионные красители на основе 1, 3, З-триметил-2-метилениндолина получают след, способами: конденсацией с диалкиламинобензальдегидами (напр., III); азосочетанием с диазотированными ароматич. аминами с послед. алкилированием (V); присоединением к метиленовой группе формильного остатка с послед, конденсацией с аминами, производными индола (VI) или др. Катионные красители выпускают в виде порошков или жидких форм. Порошки содержат наполнители, предохраняющие краситель от слеживания (декстрин или соли, напр. Na2SO4), в кол-ве 10-80%. Более удобные для применения жидкие формы водные конц. р-ры катионных красителей (чаще всего ацетатов) с добавками уксусной к-ты и антифриза, а иногда конц. р-ры катионных красителей в этиленгликоле или др. орг. р-рителях, смешивающихся с водой. Жидкие катионные красители должны быть устойчивы при хранении, не замерзать до -20°С, смешиваться с водой в любых соотношениях; при их растворении должна получаться красильная ванна с рН 4-5. Крашение ПАНВ катионными красителями (одним или их смесью, т. н. смесовое крашение) ведут при постепенном нагревании (ок. 1,5 ч) красильной ванны до т-ры, близкой к кипению. Скорость выбирания разл. катионных красителей из ванны волокном неодинакова; для ее характеристики пользуются эмпирич. "коэф. совместимости" (1-2-быстрое выбирание, 3 среднее, 4- 5 - медленное). В случае смесового крашения следует подбирать катионные красители, имеющие близкие величины этого коэффициента. Наиб, применение в СССР приобрел непрерывный способ крашения в геле, когда в произ-ве ПАНВ свежеполученные нити ("мокрый жгут") пропускают через красильную ванну, непрерывно пополняемую р-ром красителя. Длительность пребывания в ванне при т-ре ок. 50 °С всего неск. секунд. Такая скорость крашения возможна благодаря тому, что волокно находится в гелеобразном, рыхлом состоянии, еще не приобрело гидрофобных св-в и р-р красителя свободно проникает в его поры (скорость крашения не лимитируется диффузией). Окраски на ПАНВ, получаемые с помощью катионных красителей, по сочетанию яркости с устойчивостью к свету и др. воздействиям превосходят окраски, получаемые остальными классами красителей на любых др. волокнах. Нек-рые катионные красители применяют для окраски кожи, входят в состав чернил и чернильных паст. Отдельные катионные красители в небольшом масштабе используют для получения пигментов посредством солеобразования с гетерополикислотами (см. Лаки основные). Выпуск катионных красителей в мире увеличивается в соответствии с ростом произ-ва ПАНВ, т. к. лишь небольшая доля их окрашивается др. красителями (техн. углеродом и еще реже цветными пигментами; крашение осуществляют в массе). Мировое произ-во катионных красителей 40-45 тыс. т/год (1985).

Литература
Венкатараман К., Химия синтетических красителей, пер. с англ., т. 4. Л., 1975. с. 163-206: Степанов Б. И., Чалых Э. М.. Сазанов" А. А.. "Хим. пром-сть", 1981, № 7, с. 399-400; Горелик М. В. [и др.], "Хим. пром-сть", 1981, № 10, с. 589-92; Степанов Б. И., Введение в химию и технологию органических красителей, 3 изд., М., 1984; Ullmanns Encyklopi die, 4 Auil., Weinheim, 1972-84; Bd 7, S. 643-644; Bd 8, S. 222-242; Bd 11, S. 138-42, 717; Bd 13, S. 571-80; Bd 16, S. 635-60; Bd 17, S. 71, 459-74; Bd 23, S. 389-415. И.А.Трояпов.