Хиноны

ХИНОНЫ, циклич. дикетоны, в молекулах к-рых кетогруппы входят в систему сопряженных двойных связей.
Наиб. практич. значение имеют бензохиноны, нафтохиноны, 9,10-антрахинон (см. Антрахинон), а также 1,2- и 1,4-антрахиноны (ф-лы I и II), 1,2-, 1,4- и 3,4-фенантрахиноны (ф-лы III-V, т. пл. 216, 153 и 133 °С, соотв.) и нек-рые дихиноны, напр. 1,4,5,8-нафтодихинон (VI).

6002-7.jpg

Хиноны- окрашенные кристаллы (табл.). Окраска хинонов во многом зависит от взаимного расположения карбонильных групп в молекуле: 1,2-хиноны окрашены, как правило, в красный или оранжево-красный цвет, 1,4-хиноны окрашены менее интенсивно - в желтый или светло-желтый цвет. 1,4-Хиноны обладают большей летучестью и более резким запахом, чем 1,2-хиноны.
Хиноны весьма склонны к переходу в ароматич. соед.; присоединение одного электрона приводит к образованию сёмихиненового анион-радикала, к-рый при присоединении еще одного электрона дает дианион, в кислой среде превращающийся в двухатомный фенол, напр. в случае 1,4-бензохинона:

6002-8.jpg

СВОЙСТВА НЕКОТОРЫХ ХИНОНОВ

Соединение
Цвет
Т. пл., oС
Окислит. -восстановит. потенциал, В (CH3OH, 25 °С)*
1,2-Бензохинон
Ярко-красный
60-70
0,795 (H2O)
1,4-Бензохинон
Светло-желтый
116
0,711(C6H6)
Тетраметил- 1 ,4-бензо-хинон (дурохинон)
Желтый
111-112
0,466
Тетрахлор-1,4-бензохинон
Желтый
290
0,742 (C6H6)
1,2-Нафтохинон
Красный
145-147
0,576
1,4-Нафтохинон
Желтый
128,5
0,484
1,2-Антрахинон
Красный
185-190
0,490
1,4-Антрахинон
Желтый
218
0,401
9,10-Антрахинон
Желтый
287
0,154
9,10-Фенантрахинон
Желтый
206-208
0,460
1,4,5,8-Нафтодихинон
Желтый
220
0,972 (H2O)

*B скобках указан растворитель, отличный от СН3ОН.

Склонность хинонов к участию в окислит.-восстановит, р-циях характеризуется окислит.-восстановит, потенциалом. В общем случае 1,2-хиноны имеют более высокие потенциалы, чем 1,4-хиноны. Электроноакцепторные группы в молекуле хинонов обычно повышают его окислит.-восстановит. способность, электронодонорные - понижают.
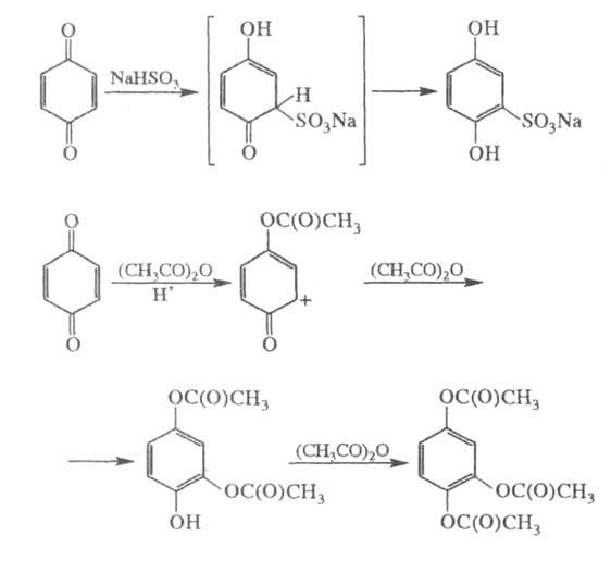
По хим. св-вам хинонов аналогичны6002-9.jpg-ненасыщенным кетонам. Под действием мягких восстановителей хиноны легко превращаются в гидрохиноны, причем легче всего восстанавливаются бензохиноны, труднее - 9,10-антрахинон. Хиноны легко образуют комплексы с донорами электронов, напр. 1,4-бензохинон с гидрохиноном дает черно-зеленый кристаллич. комплекс хингидрона, с пиреном (1:1) в петролейном эфире - красный кристаллич. комплекс.
Для хинонов характерны р-ции присоединения, напр.:

6002-10.jpg

Взаимод. с С12 при низкой т-ре протекает с сохранением хиноидной структуры, напр.:

6002-11.jpg

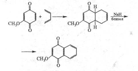
Хиноны легко вступают в диеновый синтез, причем 1,2-хиноны могут выступать как диены и диенофилы, а 1,4-хиноны- как диенофилы, напр.:

6002-12.jpg

С тиомочевиной в НС1 хиноны дают продукты, способные к дальнейшей циклизации с образованием гетероциклов, напр.:

6002-13.jpg

Облучение хинонов УФ светом в присут. альдегидов приводит к продуктам С- и О-ацилирования, напр.:

6002-14.jpg

В условиях фотохим. р-ций хиноны могут присоединять по кетогруппе олефины, напр.:

6002-15.jpg

Получают хиноны, как правило, окислением соответствующих фенолов, аминов или диаминов действием AgCO3, соли Фреми (KO3S)2NO, (C6H5SeO)2O (гл.обр. для синтеза 1,2-хинонов), хромовой к-ты и др. окислителей.
Хиноны- структурные фрагменты прир. в-в (напр., витаминов K1 и К3, см. Витамин К), антрахиноновых красителей, фталоилкарбазолов, орг. пигментов (см. Пигменты): 1,4-бензохинон - окислитель в фотографии, дубящее ср-во при крашении. Нек-рые хиноны и их производные - катализаторы в произ-ве синтетич. каучука и полиакрилатов (1,4-нафтохинон), окислит. дегидрирования (полинафтохинон) и окислит.-восстановит. процессов (алкилантрахиноны); полупродукты в синтезе полициклических кубовых красителей (2,3-дихлор-1,4-нафтохинон), бензантрона (9,10-антрахинон).

Лит.: Кэсон Д., в сб.: Органические реакции, пер. с англ., сб. 4, М., 1951, с. 270-336; Эфрос Л. С., Горелик М. В., Химия и технология промежуточных продуктов, Л., 1980; Общая органическая химия, пер. с англ., т. 2, М., 1982, с. 830-47. См. также лит. при ст. Антрахиноновые красители.

Г. И. Пуца.

Синонимы/примеры:* 1,4-бензохинон; 2,3,5,6-тетрахлоро-1,4-бензохинон; хлоранил
*подобраны ИИ, возможны неточности