Поликарбонаты
ПОЛИКАРБОНАТЫ, сложные полиэфиры угольной к-ты и дигидроксисоединений общей ф-лы [—ORO—C(O)—]n, где R-ароматич. или алифатич. остаток. Наибольшее пром. значение имеют ароматические поликарбонаты (макролон, лексан, юпи-лон, пенлайт, синвет, поликарбонат): гомополимер ф-лы I на основе 2,2-бис-(4-гидроксифенил)пропана (бисфенола А) и смешанные поликарбонаты на основе бисфенола А и его замещенных-3,3',5,5'-тетрабром- или 3,3',5,5',-тетраметилбисфено-лов А (ф-ла II; R = Br или CH3 соотв.).


Свойства. Поликарбонаты на основе бисфенола А (гомополикарбо-нат) - аморфный бесцв. полимер; мол. м. (20-120)· 103; обладает хорошими оптич. св-вами. Светопропускание пластин толщиной 3 мм составляет 88%. Т-ра начала деструкции 310-3200C. Раств. в метиленхлориде, 1,1,2,2-тетрахлорэтане, хлороформе, 1,1,2-трихлорэтане, пиридине, ДМФА, цикло-гексаноне, не раств. в алифатич. и циклоалифатич. углеводородах, спиртах, ацетоне, простых эфирах.
Физ.-мех. св-ва поликарбонатов зависят от величины мол. массы. Поликарбонаты, мол.м. к-рых менее 20 тыс.,-хрупкие полимеры с низкими прочностными св-вами, поликарбонаты, мол. м. к-рых
25 тыс., обладают высокой мех. прочностью и эластичностью. Для поликарбонатов характерны высокое разрушающее напряжение при изгибе и прочность при действии ударных нагрузок (образцы поликарбонатов без надреза не разрушаются), высокая стабильность размеров. При действии растягивающего напряжения 220 кг/см2 в течение года не обнаружено пластич. деформации образцов поликарбонатов. По диэлектрич. св-вам поликарбонаты относят к среднечастотным диэлектрикам; диэлектрич. проницаемость практически не зависит от частоты тока. Ниже приведены нек-рые св-ва поликарбонатов на основе бисфенола А:
| Плотн. (при 25 0C), г/см3 | 1,20 | ||
| | 1,5850 | ||
| T. стекл., 0C | 150 | ||
| T. размягч., 0C | 220-230 | ||
| | 65-70 | ||
| | 95 | ||
| Ударная вязкость по Шарпи (с надрезом), кДж/м2 | 25-50 | ||
| | 1,17-1,2 | ||
| Теплопроводность, Вт/ (м·K) | 0,20 | ||
| Коэф. теплового линейного расширения, 0C -1 | (5-6)· 10 -5 | ||
| Теплостойкость по Вика, 0C | 150-155 | ||
| e (при 10-108 Гц) | 2,9-3,0 | ||
| Электрич. прочность (образец толщиной 1-2 мм) кВ/м | 20-35 | ||
| | | ||
| при 1 МГц | 0,011 | ||
| при 50 Га | 0,0007-0,0009 | ||
| 0,2 | |||
| Макс. поглощение воды при 25 0C, % по массе | 0,36 | ||
Поликарбонаты характеризуются невысокой горючестью. Кислородный индекс гомополикарбоната составляет 24-26%. Полимер биологически инертен. Изделия из него можно эксплуатировать в интервале т-р от — 100 до 1350C.
Для снижения горючести и получения материала с величиной кислородного индекса 36-38% синтезируют смешанные поликарбонаты (сополимеры) на основе смеси бисфенола А и 3,3',5,5'-тетрабромбисфенола А; при содержании последнего в макромолекулах до 15% по массе прочностные и оптич. св-ва гомополимера не изменяются. Менее горючие сополимеры, имеющие также более низкое дымовыделение при горении, чем у гомополикарбоната, получены из смеси бисфенола А и 2,2-бис-(4-гидроксифенил)-1.1 -дихлорэтилена.
Оптически прозрачные поликарбонаты, обладающие пониж. горючестью, получены при введений в гомополикарбонат (в кол-ве менее 1%) солей щелочных или щел.-зем. металлов ароматич. или алифатич. сульфокислот. Напр., при содержании в гомополикарбонате 0,1-0,25% По массе дикалиевой соли дифенилсульфон-3,3'-дисульфокислоты кислородный индекс возрастает до 38-40%.
Т-ру стеклования, устойчивость к гидролизу и атмосферо-стойкость поликарбонатов на основе бисфенола А повышают введением в его макромолекулы эфирных фрагментов; последние образуются при взаимод. бисфенола А с дикарбоновыми к-тами, напр. изо- или терефталевой, с их смесями, на стадии синтеза полимера. Полученные таким образом полиэфир-карбонаты имеют т. стекл. до 1820C и такие же высокие оптич. св-ва и мех. прочность, как у гомополикарбоната. Устойчивые к гидролизу поликарбонаты получают на основе бисфенола А и 3,3',5,5'-тетраметилбисфенола А.
Прочностные св-ва гомополикарбоната возрастают при наполнении стекловолокном (30% по массе):
100 МПа,
160 МПа, модуль упругости при растяжении 8000 МПа.
Получение. В пром-сти поликарбонаты получают тремя методами. 1) Переэтерификация дифенилкарбоната бисфенолом А в вакууме в присут. оснований (напр., метилата Na) при ступенчатом повышении т-ры от 150 до 300 0C и постоянном удалении из зоны р-ции выделяющегося фенола:

Процесс проводят в расплаве (см. Поликонденсация в расплаве)по периодич. схеме. Получаемый вязкий расплав удаляют из реактора, охлаждают и гранулируют.
Достоинство метода - отсутствие р-рителя; осн. недостатки - невысокое качество поликарбонатов вследствие наличия в нем остатков катализатора и продуктов деструкции бисфенола А, а также невозможность получения поликарбонатов с мол. м. более 50000.
2) Fосгенирование бисфенола А в р-ре в присут. пиридина при т-ре
25 0C (см. Поликонденсация в растворе). Пиридин, служащий одновременно катализатором и акцептором выделяющегося в р-ции HCl, берут в большом избытке (не менее 2 молей на 1 моль фосгена). Р-рителями служат безводные хлорорг. соединения (обычно метиленхло-рид), регуляторами мол. массы - одноатомные фенолы.
Из полученного реакц. р-ра удаляют гидрохлорид пиридина, оставшийся вязкий р-р поликарбонатов отмывают от остатков пиридина соляной к-той. Выделяют поликарбонаты из р-ра с помощью осадителя (напр., ацетона) в виде тонкодисперсного белого осадка, к-рый отфильтровывают, а затем сушат, экструди-руют и гранулируют. Достоинство метода - низкая т-ра процесса, протекающего в гомог. жидкой фазе; недостатки-использование дорогостоящего пиридина и невозможность удаления из поликарбонатов примесей бисфенола А.
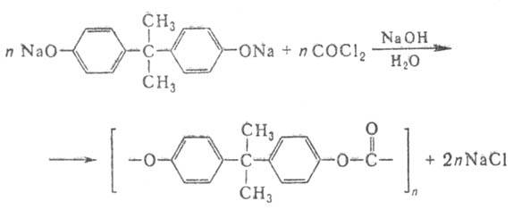
3) Межфазная поликонденсация бисфенола А с фосгеном в среде водной щелочи и орг. р-рителя, напр. метиленхлорида или смеси хлорсодержащих р-рителей (см. Межфазная поликонденсация):

Условно процесс можно разделить на две стадии, первая -фосгенирование динатриевой соли бисфенола А с образованием олигомеров, содержащих реакционноспособные хлор-формиатные и гидроксильные концевые группы, вторая -поликонденсация олигомеров (кат.-триэтиламин или четвертичные аммониевые основания) с образованием полимера. В реактор, снабженный перемешивающим устройством, загружают водный р-р смеси динатриевой соли бисфенола А и фенола, метиленхлорид и водный р-р NaOH; при непрерывном перемешивании и охлаждении (оптим. т-ра 20-250C) вводят газообразный фосген. После достижения полной конверсии бисфенола А с образованием олигокарбо-ната, в к-ром молярное соотношение концевых групп COCl и ОН должно быть больше 1 (иначе поликонденсация не пойдет), подачу фосгена прекращают. В реактор добавляют триэтиламин и водный р-р NaOH и при перемешивании осуществляют поликонденсацию олигокарбоната до исчезновения хлорформиатных групп. Полученную реакц. массу разделяют на две фазы: водный р-р солей, отправляемый на утилизацию, и р-р поликарбонатов в метиленхлориде. Последний отмывают от орг. и неорг. примесей (последовательно 1-2%-ным водным р-ром NaOH, 1-2%-ным водным р-ром H3PO4 и водой), концентрируют, удаляя метиленхлорид, и выделяют поликарбонаты осаждением или посредством перевода из р-ра в расплав с помощью высококипящего р-рителя, напр. хлорбензола.
Достоинства метода - низкая т-ра р-ции, применение одного орг. р-рителя, возможность получения поликарбонатов высокой мол. массы; недостатки - большой расход воды для промывки полимера и, следовательно, большой объем сточных вод, применение сложных смесителей.
Метод межфазной поликонденсации получил наиб. широкое распространение в пром-сти.
Переработка и применение. Поликарбонаты перерабатывают всеми известными для термопластов способами, однако гл. обр. - экструзией и литьем под давлением (см. Полимерных материалов переработка)при 230-3100C. Выбор т-ры переработки определяется вязкостью материала, конструкцией изделия и выбранным циклом литья. Давление при литье 100-140 МПа, литьевую форму подогревают до 90-1200C. Для предотвращения деструкции при т-рах переработки поликарбонаты предварительно сушат в вакууме при 115
50C до содержания влаги не более 0,02%.
Поликарбонаты широко применяют как конструкц. материалы в автомобилестроении, электронной и электротехн. пром-сти, в бытовой и мед. технике, приборо- и самолетостроении, пром. и гражданском стр-ве. Из поликарбонатов изготовляют прецизионные детали (шестерни, втулки и др.), осветит. арматуру, фары автомобилей, защитные очки, оптич. линзы, защитные шлемы и каски, кухонную утварь и т. п. В мед. технике из поликарбонатов формуют чашки Петри, фильтры для крови, разл. хирургич. инструменты, глазные линзы. Листы из поликарбонатов применяют для остекления зданий и спортивных сооружении, теплиц, для произ-ва высокопрочных многослойных стекол - триплексов.
Мировое произ-во поликарбонатов в 1980 составило 300 тыс. т/год, произ-во в СССР-3,5 тыс. т/год (1986).
Лит.: Шнелл Г., Химия и физика поликарбонатов, пер. с англ., M., 1967; Смирнова О. В., Ерофеева С. Б., Поликарбонаты, M., 1975; Sharma C. P. [а. о.], "Polymer Plastics", 1984, v. 23, № 2, p. 119 23; Factor A., Or Undo Ch. M., "J. Polymer Sci., Polymer Chem. Ed.", 1980, v. 18, № 2, p. 579-92; Rathmann D., "Kunststoffe", 1987, Bd 77, № 10, S. 1027 31. В. В. Америк.

, МПа
, МПа
, кДж/(кг·К)