Полиэфиры сложные
ПОЛИЭФИРЫ СЛОЖНЫЕ, гетероцепные полимеры, содержащие в основной цепи регулярно повторяющиеся группировки С (О) О— Общие ф-лы линейных полиэфиров сложных [ (O)CRC(O)-OR'O—]n и [-RC(0)-O-]n, где R и R двухвалентные орградикалы
Полиэфиры сложные-высоковязкие жидкости либо твердые аморфные или кристаллич. в-ва; мол. м. 500-500000 (алифатические полиэфиры сложные обычно
50000); плотн. 0,9-1,5 г/см3. Полиэфиры сложные чаще всего не раств. в воде, раств. в орг. р-рителях, причем кристаллические раств. хуже аморфных. С введением в макромолекулы кардовых групп р-римость полиэфиров сложных улучшается. Алифатические полиэфиры сложные обычно хорошо раств. в хлорир. углеводородах, бензоле, диоксане, ацетоне, этилацетате, мн. ароматические-в крезолах, хлороформе, тетрахлорэтане, нитробензоле. Т-ры размягчения алифатических и ароматических полиэфиров сложных лежат в областях соотв. от -50 до 100 °С и 200-400 °С. В полимераналогичных рядах полиэфиры с четным числом атомов С в звене более высокоплавки, чем полиэфиры с нечетным числом. Ароматические полиэфиры сложные начинают разлагаться выше 300°С. Полиэфиры сложные-диэлектрики (e2,0-4,5 при 10-108 Гц, рu выше 1015 Ом·см при комнатной т-ре).
Полиэфиры сложные вступают во все характерные для сложных эфиров р-ции (напр., гидролиз, алкоголиз, ацидолиз), приводящие к обмену и(или) деструкции макромолекул. Полиэфиры сложные более устойчивы к воздействию водных р-ров минер. к-т, чем щелочей; м. б. отверждены взаимод. с эпоксидными соед., ненасыщенные полиэфиры сложные отверждают сополимеризацией с виниль-ными мономерами (чаще со стиролом).
Методы синтеза полиэфиров сложных. 1) Полиэтерификация (поликонденсация,приводящая к образованию в макромолекулах слож-ноэфирных связей): а) равновесная (полиэфиры сложные получают взаимод. гидроксикарбоновых, дикарбоновых к-т или их циклич. ангидридов с гликолями, а также сложных эфиров дикарбоновых к-т или самих к-т соотв. с диолами или их ацилпроизводными), в пром-сти процесс проводят в расплаве в присут. катализатора, на заключит. стадии-пониж. давление и т-ра 250-300 °С; б) неравновесная (взаимод. дигалогенангидри-дов и др. активных производных дикарбоновых к-т с диолами), р-цию проводят при 150-250 °С (высокотемпературная поликонденсация в р-ре) или при 20-100 °С в присут. третичных аминов, щелочей или карбонатов щелочных металлов (акцепторно-каталитич. поликонденсация в р-ре, межфазная, эмульсионная). 2) Неравновесная поликонденсация солей дикарбоновых к-т с алкиленгалогенидами.
3) Миграционнаяполимеризация кетенов с диолами:
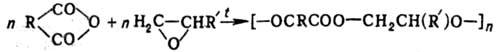
4) Полимеризация и сополимеризация циклич. соед., напр.




Из полиэфиров сложных наиб. применение находят полиэтилентерефта-лат, полибутилентерефталат, алкидные смолы, поликарбонаты, полиарилаты, полиалкиленгликолъмалеинаты и поли-алкиленгликолъфумараты, олигоэфиракрилаты (см. Олиго-меры акриловые). Из полиэфиров сложных получают пленки, волокна, лакокрасочные материалы, орг. стекла, композиц. материалы. Низкомолекулярные полиэфиры сложные используют в произ-ве полиэфир-уретанов (см. Полиуретаны)и как пластификаторы. Для получения высокопрочных изделий используют термотропные жидкокристаллические полиэфиры сложные.
Лит.. Бениг Г В , Ненасыщенные полиэфиры. Строение и свойства, пер с англ., М., 1968; Жидкокристаллический порядок в полимерах, пер. с англ., М., 1981; Энтелис С. Г , Евреинов В В , Кузаев А И., Реакционноспособные олигомеры, М., 1985 См также лит при ст Поликонденсация В А Васнев