Фосгенирование
ФОСГЕНИРОВАНИЕ, взаимодействие орг. и неорг. соединений с фосгеном. Осуществляется как в газовой, так и в жидкой фазе.
Фосгенирование первичных аминов приводит к изоцианатам, вторичных - к N,N-дизамещенным карбамоилхлоридам (последние м. б. выделены с хорошим выходом), третичных - также к карбамоилхлоридам через промежуточное образование нестабильных катионных комплексов, к-рые при нагр. элиминируют алкилхлорид. При избытке амина во всех случаях образуются замещенные производные мочевины:

Фосгенирование спиртов и фенолов протекает аналогично р-ции с вторичными аминами с образованием хлорформиатов, к-рые при избытке спирта превращаются в соответствующие алкил-карбонаты; р-ция протекает при повышенных т-рах в присут. азотистых оснований:

Фосген присоединяется по кратной связи углерод-азот иминов, имидокарбонатов, нитрилов, напр.:

При фосгенировании амидов карбоновых к-т образуются нитрилы, N-мо-нозамещенных амидов - имидогалогениды, N-замещенных формамидов - изонитрилы:

Фосгенирование карбоновых к-т позволяет получать с хорошим выходом хлорангидриды:

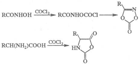
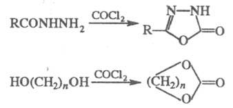
С бифункциональными соед. фосген образует циклич. продукты. Так, гидроксамовые к-ты превращаются в хлорфор-милпроизводные, к-рые далее циклизуются;
-аминокислоты дают оксазолидин-2,5-дионы (последние используются в пеп-тидном синтезе); гидразиды - 1,3,4-оксадиазолоны; диолы -циклич. карбонаты:


С ароматич. соед. фосген реагирует в условиях р-ции Фриделя-Крафтса с образованием бензофенонов, напр.:
C6H6 + COCl2
C6H5COC6H5
Лит.: Общая органическая химия, пер. с англ., т. 4, M., 1983, с. 550-56.
E. Ш. Каган.