Диэлектрики

ДИЭЛЕКТРИКИ (англ. dielectric, от греч. dia - через, сквозь и англ. electric - электрический), в-ва, обладающие электрич. сопротивлением в пределах 1010 — 1020 Ом.м в постоянном электрич. поле при нормальной т-ре. Согласно зонной теории, твердые диэлектрики при 0 К имеют целиком заполненную и совершенно пустую следующую (выше по энергии) разрешенные зоны, а ширина запрещенной зоны, в отличие от полупроводников, достаточно широка (DE3 / 3 эВ) (см. Твердое тело). Если диэлектрик поместить между пластинами заряженного конденсатора, емкость конденсатора С по сравнению с его емкостью в вакууме С0 увеличится в e раз. Безразмерная величина e наз. диэлектрич. проницаемостью, она всегда больше 1 и зависит от хим. состава и строения диэлектриков. Увеличение емкости конденсатора в e раз происходит из-за того, что электрич. поле приводит к поляризации диэлектриков, т.е. возникновению электрич. дипольного момента единицы объема в-ва, к-рый направлен вдоль поля и равен векторной сумме диполъных моментов содержащихся в этом объеме частиц (атомов, ионов, молекул). Различают деформационную и ориентационную (тепловую) поляризации. Деформационная поляризация диэлектриков появляется вследствие квазиупругого смещения под действием поля электронных оболочек относительно атомных ядер (электронная поляризация), смещения разноименно заряженных ионов в противоположных направлениях (в ионных кристаллах) или смещения атомов разного типа в молекуле (атомная поляризация). Обычно атомная поляризация составляет 5-15% от электронной. Деформац. поляризация характерна как для неполярных диэлектриков, молекулы к-рых не имеют постоянных дипольных моментов, так и для полярных диэлектриков; в неполярных диэлектриках это осн. вид поляризации. Она слабо зависит от т-ры и устанавливается очень быстро (за 10-14—10-12 с). В не слишком сильных полях деформац. поляризация Рд пропорциональна напряженности поля Е. Для изотропных в-в
101_120-7.jpg
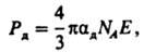
где aд - деформац. поляризуемость частиц диэлектрика, не зависящая от т-ры и имеющая размерность объема (см. Поляризуемость), NA - постоянная Авогадро.
Ориентационная (тепловая) поляризация диэлектриков происходит в полярных диэлектриках из-за ориентации постоянных диполъных моментов молекул или их звеньев вдоль поля. Этот вид поляризации имеет релаксац. характер, т. к. диполи ориентируются в процессе теплового движения за определенное время релаксации t. Значение t зависит от т-ры и мол. структуры в-ва (подробнее см. ниже). Суммарная поляризация 1 моля в-ва РM для неполярных в-в (газов и р-ров в неполярных р-рителях) связана с диэлектрич. проницаемостью e ур-нием Клаузиуса-Моссотти:
101_120-8.jpg
где М - мол. масса в-ва, d - егo плотность. Для полярных диэлектриков справедливо ур-ние Ланжевена - Дебая:
101_120-9.jpg
где k - постоянная Больцмана, Т - т-ра, m - диполъный момент молекулы. Эти ур-ния используют для определения диполъных моментов по зависимости e от 1/Т: по углу наклона находят 4pNAm2/9k, по отрезку, отсекаемому на оси ординат, - дeформац. поляризацию PD = 4/3pNAaDE. В переменном поле каждая из трех составляющих поляризации диэлектриков - электронная, атомная и ориентационная - проявляется в разных областях частотного спектра (рис.).
101_120-10.jpg
B диапазоне частот видимого света существенна только электронная поляризуемость aэ; при этом, как установлено Дж. Максвеллом, e = n2, где n - показатель преломления света. Ур-ние (2) преобразуется в ур-ние Лоренца-Лоренца для молярной рефракции R:
101_120-11.jpg
Комбинируя измерения e в радиодиапазоне и n в видимой области спектра, можно, используя ур-ния (1)-(3), найти значения всех трех составляющих поляризации диэлектрика. Рефракция, являясь величиной аддитивной, практически не зависит от т-ры, давления и агрегатного состояния в-ва и используется для хим. анализа газов, жидкостей и их смесей, изучения строения сложных орг. и неорг. молекул (см. Рефрактометрия). Нек-рые кристаллич. диэлектрики обладают самопроизвольной (спонтанной) поляризацией в отсутствие электрич. поля, что связано с достаточно низкой симметрией кристаллов (см. Пироэлектрики). Особая группа пироэлектриков - сегнетоэлектрики, у к-рых величина спонтанной поляризации резко меняется с т-рой и при определенной т-ре исчезает (фазовый переход 2-го рода, см. Кюри точка).
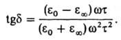
Диэлектрические потери. В переменном электрич. поле ориентация по полю полярных молекул (или полярных звеньев макромолекул) отстает по фазе от вектора напряженности приложенного поля на угол d. В зависимости от соотношения между t и циклич. частотой поля w диэлектрич. проницаемость меняется от e: (при wt >> 1) до e0 (при wt << 1). При wt ~ 1 значение e заметно зависит от частоты и т-ры и наблюдается значит. поглощение энергии поля, к-рая превращается в тепло. Диэлектрич. проницаемость в этом случае характеризуется комплексной величиной e = e' — ie: (i - мнимая единица). Действительная часть e' соответствует диэлектрич. проницаемости диэлектрика, мнимая часть e: - коэф. диэлектрич. потерь. Отношение e:/e' = tgd наз. тангенсом угла диэлектрич. потерь; оно численно равно отношению двух составляющих тока, проходящего через заполненный данным диэлектриком конденсатор, - активной и реактивной, или емкостной. Измерение tgd в зависимости от w и т-ры используется для изучения вращат. движений полярных частиц в среде (метод диэлектрич. релаксации). При этом используют ф-лу Дебая:
101_120-12.jpg
При частоте 101_120-13.jpg или при т-ре, соответствующей времени релаксации 101_120-14.jpg, кривая зависимости tgdw (при Т= const) или от T (при w = const) проходит через максимум. Значения tgd зависят от хим. строения диэлектрика мол. структуры (для полимеров - и надмолекулярной структуры), а также от ряда внеш. факторов, напр., давления. Зависимость tgd от T позволяет фиксировать релаксационные и фазовые переходы в в-вах, в частности в полимерах.
Электрическая прочность. При увеличении напряженности поля происходит пробой диэлектрика, т. е. диэлектрик разрушается, теряет свои св-ва и превращается в проводник. Миним. напряженность поля Eпр, при к-рой наблюдается пробой диэлектрика, наз. электрич. прочностью в-ва. Различают тепловой пробой - из-за разогрева образца проходящим током или из-за диэлектрич. потерь - и внутренний (или истинный) электрич. пробой - в результате лавинной ионизации, вызванной электрич. полем внутри диэлектрика Значение Епр при тепловом пробое зависит от условий теплообмена образца с окружающей средой, т. е. от разности т-р, теплопроводности и уд. теплоемкости, от размеров и формы образца, длительности действия электрич. напряжения. Значение Епр при внутр. пробое определяется гл. обр. строением диэлектрика, наличием трещин, примесей и др., если они вызывают перераспределение напряженности поля внутри диэлектрика. Длит. воздействие внеш. электрич. поля снижает Епр. Изучение зависимости Епр от Е, Т и др. факторов служит для прогнозирования надежности электрич. изоляции. В таблице сопоставлены диэлектрич. св-ва нек-рых электроизоляц. материалов.
Свойства электроизоляционных материалов
Применение. Диэлектрики применяют в приборостроении, электротехнике, радиотехнике, опто-, микроэлектронной и лазерной технике. В зависимости от назначения различают электроизоляционные (пассивные) и управляемые (активные) диэлектрики. В качестве электроизоляц. материалов используют прир. диэлектрики -вакуумное пространство, чистую воду, воздух, др. газы; нефтяные масла (трансформаторное, конденсаторное), др. продукты переработки нефти; лаки на основе льняного и тунгового масел; древесину, изделия на основе целлюлозы (бумагу, картон, ткани), натуральный шелк, каучук, парафины, церезин, минералы (алмаз, кварц, слюда, сера, асбест, мрамор и др.), а также искусств. диэлектрики - полимеры, стекла, ситаллы, сапфир, керамику и др. В зависимости от применения и условий эксплуатации диэлектрик должен обладать совокупностью необходимых мех. св-в: твердостью, гибкостью, эластичностью, большим сопротивлением на разрыв. Электроизоляц. материалы могут подвергаться воздействию высоких или, наоборот, низких т-р, света, влаги, окислителей, жидких нефтепродуктов и т. п. В каждом из этих случаев подбирают диэлектрики, обладающие соответствующим строением и физ.-хим. св-вами. В качестве управляемых диэлектриков используют сегнетоэлектрики (титанат бария, ниобат лития, сегнетокерамика и др.). В микроэлектронных устройствах на полупроводниках, в частности больших и сверхбольших интегральных схемах на кремнии и арсениде галлия, используются в качестве как пассивных, так и активных элементов тонкие (0,002-2,0 мкм) аморфные диэлектрич. пленки SiO2, Si3N4, бор- и фосфорсиликатных стекол. Перспективными являются диэлектрич. пленки оксида алюминия, нитридов бора и галлия.
Литература
Фрёлих Г., Теория диэлектриков, пер. с англ., М., I960; Хиппель А. Р., Диэлектрики и волны, пер. с англ., М., 1960; Пасынков В. В., Материалы электронной техники, М., 1980; Майофис И. М., Химия диэлектриков, М., 1981; Барфут Дж., Тейлор Дж., Полярные диэлектрики и их применения, пер. с англ., М., 1981; Богородицкий Н. П., Пасынков В. В., Тареев Б. М., Электротехнические материалы, 7 изд., Л., 1985.
В. И. Белый.

Ещё по теме
Электреты — свойства и применение
Полупроводники — свойства, применение, классификация
Поляризуемость частиц — свойства и применение
Электрохимическая поляризация — основные аспекты
Поляризация в электрохимии
Электрохимия полупроводников
Электрохимические преобразователи информации — принципы и применение
Электрокинетические явления — механизмы и применение
Пироэлектрики — свойства и применение
Электрическая составляющая расклинивающего давления
Двойной электрический слой и электрокинетические явления
Электропроводность электролитов — механизмы и факторы влияния
Дипольный момент и электрические свойства молекул
Фарадеевский эффект — принципы и применение
Электростатическое взаимодействие твёрдых тел и его влияние на адгезию
Пьезоэлектрики — свойства и применение