Душистые вещества
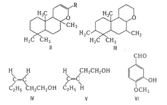
ДУШИСТЫЕ ВЕЩЕСТВА, органические соед. с характерным запахом, применяемые в произ-ве парфюм. и косметич. изделий, мыла, синтетич. моющих ср-в, пищевых и др. продуктов; в бытовой химии иногда наз. одорантами. Широко распространены в природе: содержатся в эфирных маслах, душистых смолах и др. сложных смесях орг. в-в, выделяемых из продуктов растит. и животного происхождения. Со времени зарождения искусства парфюмерии и вплоть до 19 в. прир. продукты служили единств. источником душистых веществ. В 19 в. в результате изучения хим. состава эфирных масел и др. ароматич. в-в удалось установить строение ряда душистых веществ и нек-рые из них синтезировать (первыми синтетич. аналогами прир. душистых веществ были, напр., ванилин, b-фенилэтиловый спирт). В послед. годы были разработаны и освоены методы синтеза не только почти всех душистых веществ, добывавшихся ранее из прир. сырья (напр., ментола с запахом перечной мяты, цитраля с запахом лимона, мн. в-в с запахами амбры, мускуса), но и душистых веществ, не найденных в природе, - фолиона с запахом листьев фиалки, жасминальдегида с запахом жасмина, гидроксицитронеллаля с запахом листьев липы и ландыша и др. Создание синтетич. душистых веществ позволяет удовлетворять возрастающие потребности в этих продуктах, расширять их ассортимент, сохранять растения и животных (известно, напр., что для получения 1 кг розового масла необходимо переработать до 3 т лепестков розы, а для выработки 1 кг мускуса уничтожить ок. 30 тыс. самцов кабарги). Современное пром. произ-во душистых веществ базируется гл. обр. на хим. и лесохим. сырье; нек-рые душистые вещества получают из эфирных масел. Мировой выпуск душистых веществ ок. 100 тыс. т/год (св. 500 наименований), в СССР ок. 6 тыс. т/год (более 150 наименований). Целесообразность применения того или иного душистого вещества определяется не только запахом, но и др. его св-вами - хим. устойчивостью, летучестью, р-римостью, токсичностью; чрезвычайно важное значение имеет наличие технологически удобных и экономичных методов получения душистых веществ. Душистые вещества используют в составе "парфюм. композиций", получаемых смешиванием в определ. пропорциях разл. душистых веществ и ароматных продуктов, а также в составе отдушек для ароматизации косметич. и моющих ср-в и др. товаров бытовой химии. Сложные композиции содержат обычно неск. десятков пахучих в-в (напр., композиция для духов "Красная Москва" - ок. 80 душистых веществ и более 20 прир. смесей). Самая обширная группа душистых веществ - сложные эфиры; многие душистые вещества относятся к альдегидам, кетонам, спиртам и нек-рым др. группам орг. соединений. Эфиры низших жирных к-т и насыщ. жирных спиртов обладают фруктовым запахом (т. наз. фруктовые эссенции, напр., изоамилацетат), эфиры алифатич. к-т и терпеновых или ароматич. спиртов - цветочным (напр., бензилацетат, линалилацетат, терпинилацетат), эфиры бензойной, салициловой и др. ароматич. к-т - гл. обр. сладким бальзамическим (их часто применяют и как фиксаторы запаха - адсорбенты душистых веществ). К ценным душистым веществам среди насыщ. алифатич. альдегидов относятся, напр., деканаль, метилнонилацетальдегид, среди терпеновых - цитраль, гидроксицитронеллаль, среди ароматических - ванилин, гелиотропин, среди жирно-ароматических - фенилацетальдегид, коричный альдегид, цикламенальдегид. Из кетонов наиб. значение имеют алициклические, содержащие кетогруппу в цикле (ветинон, жасмон)или в боковой цепи (иононы), и жирноароматические (напр., п-метоксиацетофенон, мускус-кетон), из спиртов - гл. обр. одноатомные терпеновые (гераниол, линалоол, терпинеол, цитронеллол и др.) и ароматические (бензиловый спирт, коричный спирт). Обширный эксперим. материал о связи между запахом соед. и строением их молекулы (тип, число и положение функц. групп, величина, разветвленность, пространств. структура, наличие кратных связей и др.) пока недостаточен для того, чтобы на основании этих данных можно было предсказать запах в-ва. Тем не менее для отд. групп соед. выявлены нек-рые частные закономерности. Так, накопление в одной молекуле неск. одинаковых функц. групп (а в случае соед. алифатич. ряда - и разных) приводит обычно к ослаблению запаха или даже к полному его исчезновению (напр., при переходе от одноатомных спиртов к многоатомным). Запах альдегидов изостроения обычно более сильный и приятный, чем у их изомеров нормального строения. На примере макроциклич. кетонов ф-лы I показано, что их запах зависит от числа атомов С в цикле: кетоны С10-С12 имеют камфорный запах, С13 - кедровый, C14-C18 - мускусный (последний сохраняется, если при одинаковой величине цикла одна или две СН2-группы замещаются на атом О, N или S), а при дальнейшем увеличении числа атомов С запах постепенно исчезает. Лишены запаха и алифатич. соед., содержащие более 17-18 атомов С. Сходство структур соед. не всегда обусловливает сходство их запахов. Так, соед. II (R = Н) обладает запахом амбры, соед. III - сильным фруктовым, а аналог II, в к-ром R = СН3, вообще лишен запаха.
Различаются по запаху цис- и транс-изомеры анетола и 3-гексен-1-ола (цис-изомер IV обладает запахом свежей зелени, транс-изомер V - запахом хризантемы); в отличие от ванилина, изованилин VI почти не имеет запаха.
С другой стороны, в-ва, различающиеся по хим. строению, могут иметь сходный запах. Напр., "розоподобный" запах характерен для розатона СбН5СН(ССl3)ОСОСН3, З-метил-1-фенил-З-пентанола С6Н5СН2СН2С(СН3)(С2Н5)ОН, гераниола и его цис-изомера - нерола, розеноксида VII. На запах влияет степень разбавления душистых веществ. Так, нек-рые душистые вещества имеют в чистом виде неприятный запах (напр., цибет, индол). Смешивание разл. душистых веществ в определ. соотношениях может приводить как к появлению нового запаха, так и к его уничтожению.
Чувствительность человека к восприятию запахов характеризуется т. наз. пороговой концентрацией (миним. концентрацией пахучего в-ва, вызывающей обонятельное ощущение); для мн. душистых веществ она лежит в пределах 10-8-10-11г/л в воздухе. Обонятельные пороги человека обычно значительно ниже порогов вкусовой чувствительности. У нек-рых людей наблюдается полная или частичная потеря чувствительности к определенному в-ву или группе душистых веществ. Наиб. часто встречаются нарушения восприятия запаха нек-рых мускусов, изомасляного альдегида, реже - гераниола, ментола, триметиламина и др. За последнее столетие предложено ок. 30 теорий, в к-рых сделана попытка объяснить природу запаха, его зависимость от свойств душистых веществ. В "стереохимической" теории (Дж. Эймур, 1952) предполагалось существование 7 первичных запахов, к-рым соответствует 7 типов рецепторов; взаимод. последних с молекулами душистых веществ определяется в основном геом. факторами. При этом молекулы душистых веществ рассматривались в виде жестких стереохим. моделей, а обонятельные рецепторы - в виде лунок разл. формы. "Волновая" теория (Р. Райт, 1954) постулировала, что запах определяется спектром колебательных частот молекул в диапазоне 500-50 см-1 (l 20-200 мкм). Согласно теории "функциональных групп" (М. Бетc, 1957), запах в-ва зависит от общего "профиля" молекулы и от природы функциональных групп. Однако ни одна из этих (и многих других) теорий не позволяет успешно предсказать запах душистых веществ на основании строения их молекул. Согласно современным представлениям, восприятие душистых веществ и узнавание запаха на клеточном уровне не отличается принципиально от процессов восприятия других хим. сигналов - нейромедиаторов, гормонов, факторов роста и т. п. - и использует общие с ними молекулярные механизмы. Душистые вещества воспринимаются с помощью специализированных обонятельных рецепторных клеток, находящихся у человека на участках слизистой оболочки площадью ок. 5 см2 в глубине полости носа. Первичный процесс обоняния начинается взаимод. молекул душистых веществ с рецепторными макромолекулами, расположенными на мембране обонятельных клеток. Обонятельные молекулярные рецепторы в чистом виде пока не выделены и строение их неизвестно, но имеется много косвенных данных, указывающих на их белковую природу. Образование комплекса молекулы душистого вещества с таким белком-рецептором приводит к активации определенных ферментативных р-ций в обонятельной клетке, что вызывает изменение концентрации одного или неск. в-в, играющих роль внутриклеточных посредников. Один из таких посредников в обонятельной клетке позвоночных - циклич. 3',5'-аденозинмонофосфат. Внутриклеточный посредник, взаимодействуя с ионными каналами клеточной мембраны, открывает их, что приводит к деполяризации клетки. Весь этот процесс завершается возникновением нервного импульса (или изменением частоты импульсной активности) в обонятельной клетке. Каждая клетка проявляет высокую чувствительность к одним в-вам и менее чувствительна к другим, отличаясь при этом от остальных клеток по характеру своей избирательности.
Литература
Райт Р. X., Наука о запахах, пер. с англ., М., 1966; Войткевич С. А., "Ж. Всес. хим. об-ва им. Д. И. Менделеева", 1969. т. 14. №2, с. 196-204; Шулов Л. М., "Природа". 1969, № 3, с. 38-46; Братус И. Н.. Химия душистых веществ, М.. 1979; Merkel D.. Riechstoffe, В.. 1972 (WtB. Wissenschaftliche Taschenbiicher, Reihe Chemie, Bd. 90); Fragrance chemistry, The Science of the sense of smell, ed. by E. T. Theimer, N. Y., 1982. Л. А. Хейфиц.
Ещё по теме
Душистые вещества — строение и применение
Эфирные масла — свойства и применение
Ароматические соединения — свойства и применение
Эфирные масла — свойства, получение и применение
Токсическое действие эфирных масел
Ароматические углеводороды — свойства и применение
Спирты душистых эфирных масел — свойства и применение
Источники органических веществ — от растений до нефти
Летучие компоненты в выбросах парфюмерно-косметической промышленности
Природные смолы — виды и применение
Природные сложные эфиры — свойства и применение
Растительные масла — состав, свойства и применение
Органические сульфаты — свойства и применение