Амбра
АМБРА (от араб. анбар), воскообразное в-во, образующееся в пищеварит. тракте кашалотов. Свежая амбра имеет черный цвет и резкий фекальный запах. Под действием солнечных лучей, кислорода и морской воды она твердеет, приобретая серый цвет и тонкий приятный запах, благодаря к-рому высоко ценится в парфюмерии. Как благовоние и лекарство амбра известна с древних времен.
Амбра не раств. в воде, раств. в большинстве орг. р-рителей (в эфире - частично; нерастворимая часть составляет 10-16%); в парфюмерии используется в виде спиртовых настоек.
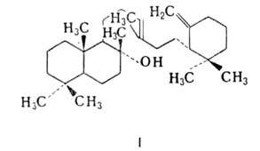
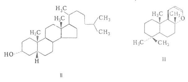
Осн. компоненты амбры-нелетучие политерпеновые соед., придающие ей св-ва фиксатора запаха,-амбреин ф-лы I (25-45%), эпикопростанол II (30-40%) и др. Запах амбры обусловливают летучие соединения (менее 0,3%) - амброксид III, циклич. кетоны, альдегиды, спирты и др.; все они образуются в результате окисления амбреина на воздухе (фотосенсибилизаторы процесса - содержащиеся в амбре порфирины).

Амбру извлекают из кишечника кашалотов или собирают с пов-сти морей, где они обитают. В промети из доступных растит. бициклич. лабдановых дитерпеноидов вырабатывают полноценные заменители амбры; в частности, из склареола (14-лабден-8,13-диола) получают амброксид.
Литература
Lederer E., "Industrie de la parfumerie", 1953, v. 8, p. 189-97; Jegou E. [a.o.], "Nouveau journal de chimie", 1977, v. 1, № 6, p. 529-31; Mookherjee B. D., Patel R. R., VII International congress on essential oils, 1979, p. 479-82. П. Ф. Влад.
Дополнения к описанию амбры: