Летучесть

ЛЕТУЧЕСТЬ (фугитивностъ), термодинамич. величина, служащая для записи зависимости химического потенциала индивидуального в-ва или компонента смеси от параметров состояния (давления р, т-ры Т, состава). Для индивидуального (чистого) реального газа летучесть f(T, р)определяется соотношением:

m(T, р) = m0(T) + RT lnf( T,р), (1)

где m(T, р) - хим. потенциал в-ва, m0(T) - его стандартный хим. потенциал, равный хим. потенциалу в нек-ром гипотетич. состоянии, в к-ром при данной т-ре и давлении, равном 1 (p = 1 атм), газ обладал бы св-вами идеального газа; R - газовая постоянная. Для i-го компонента газовой смеси.

mi(T,p,N1,...,Nk_1) = mi0(T) + RT lnfi(T,p,N1,...,Nk_1), (2)

где k - число компонентов, N1,..., Nk_1 - молярные доли 1-го,..., (k-1)-го компонентов, fi - летучесть i-го компонента. Если рассматривают два состояния системы с одинаковой т-рой, летучести компонента в этих состояниях fi' и fi: связаны с его хим. потенциалами mi' и mi'' соотношением:

ln (fi:/fi') = (mi''-mi')/RT. (3)

При предельном разрежении газа (p:0) летучесть компонента совпадает с его парциальным давлением pi = pNi. где Ni - молярная доля, т.е. lim (fi/pi) = 1. Летучесть индивидуального (чистого) в-ва при р:0 равна давлению. Летучесть идеального газа совпадает с давлением. Величину gi=fi/pi наз. коэффициентом летучести (для индивидуального газа g = f/p). По форме (1) и (2) аналогичны выражениям для хим. потенциала чистого идеального газа и компонента смеси идеальных газов соотв.:

mид(T,p) = m0(T) + RT ln p, (4)

mi ид(T, p, Ni) = mi0(T) + RT ln pi, (5)

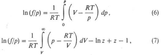
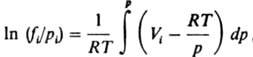
причем стандартные хим. потенциалы m0(T) и mi0(T) в выражениях (1) и (4), (2) и (5) совпадают. Поэтому ур-ния, являющиеся следствием зависимостей (4) и (5) для идеального газа, можно применить к реальному газу, заменив в них давление р (парциальное давление pi) на летучесть. В частности, в случае газофазной р-ции 580_600-5.jpg где ni - стехиометрич. коэффициенты реагирующих в-в Аi, константа хим. равновесия для идеальных газов 580_600-6.jpg , а для реальных газов 580_600-7.jpg летучесть в-ва, являющегося компонентом конденсир. фазы (жидкой или твердой), совпадает с летучестью этого в-ва в равновесной паровой фазе и также подчиняется соотношениям (1)-(3). Условие равенства хим. потенциалов компонента в сосуществующих фазах эквивалентно условию равенства его летучести в этих фазах, что обычно используют при расчетах фазовых равновесий. Зависимости f(T, p)и g(Т, р)определяются природой в-ва. Величина RT lng представляет собой вклад в значение хим. потенциала в-ва, обусловленный межмол. взаимодействиями. Характер зависимости g(р)при Т = const для данного газа неодинаков в разл. температурных интервалах, определяемых критич. т-рой Ткр. При Т акр g монотонно возрастает с ростом р (g > 1, f > p), не отличаясь, однако, сильно от 1; при этом чем выше т-ра, тем значения g(р)ближе к 1. В этой области т-р отклонения поведения газа от идеального определяются в осн. межмол. отталкиванием. При т-рах около Ткр g с ростом р сначала уменьшается (g < 1, f < p), затем начинает возрастать; с понижением т-ры значения g(р)уменьшаются. Для обычных мол. газов (напр., атм. воздуха) при р [ 1 атм (100 кПа) и не слишком низких т-рах отличие летучести от давления незначительно. Исключение составляют ассоциированные газы, напр. пары к-т НСООН, СН3СООН, С2Н5СООН. Летучесть определяют экспериментально по данным о зависимости объема V системы от р при постоянной Т или рассчитывают с помощью термич. ур-ния состояния. Для расчета летучести чистого в-ва применяют обычно одно из след. соотношений:
580_600-8.jpg
где z = pV/RT. При небольших давлениях ln (f/p)~ B2p/RT, где В2 - второй вириальный коэффициент; для грубых оценок используют соотношение f = р2ид, где рид = RT/V. Летучесть жидкости определяют по давлению ее насыщ. пара рнас при заданной т-ре. Для любого р
580_600-9.jpg
где f(T. p) - летучесть жидкости, Vж - ее молярный объем, g (Т, pнaс) - коэф. летучести в-ва в паровой фазе. Аналогом выражения (6) в случае смеси газов является соотношение:
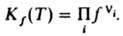
580_600-10.jpg
где Vi - парциальный молярный объем i-го компонента смеси. При невысоких давлениях для в-в, не сильно отличающихся по св-вам, приближенно выполняется правило Льюиса: коэф. летучести компонента газовой смеси совпадает с коэф. летучести чистого газа при давлении, равном общему давлению смеси:

gi(T, p, N1,..., Nk_1) ~ gi(T, p, Ni = 1).

Понятие летучесть введено Г. Льюисом в 1901.

Литература
Карапетьянц М. Х., Химическая термодинамика, 3 изд., М., 1975; Рид Р. К., Праусниц Дж. М., Шервуд Т., Свойства газов и жидкосгей. пер. с англ., 3 изд;, Л., 1982. Н. А. Смирнова.