Ванилин

ВАНИЛИН (4-гидрокси-З-метоксибензальдегид), мол. м. 152,15; бесцв. кристаллы с запахом ванили; т. пл. 81-83°С, т. кип. 284-285°С (в токе СО2), 170°С/15 мм рт. ст.; сублимируется без разложения; d420 1,056; давление пара 1,58*10-2 Па (20°С); раств. в этаноле, эфире, СНС13, CS2, пропиленгликоле, глицерине (5%), H2SO4 (2,5%), р-римость в воде 1%. Ванилин довольно устойчив к окислению, не вступает в р-цию Канниццаро и др. р-ции, характерные для ароматич. альдегидов. Со смесью СН3СООН и H2SO4 дает зелено-синюю окраску, с H2SO4 в спиртовом р-ре - зеленую, при нагр. переходящую в фиолетовую. Ванилин содержится в эфирных маслах мн. растений; особенно богаты им плоды ванили (до 3%).

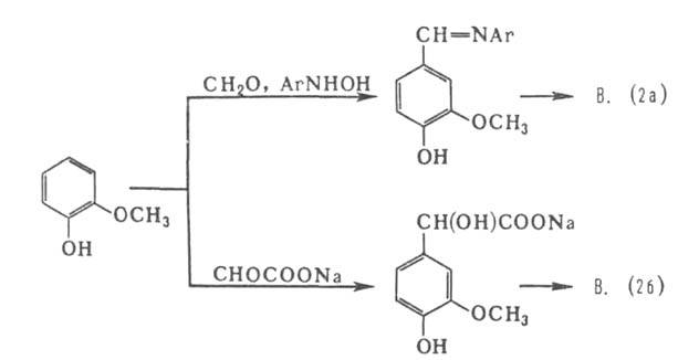
Пром. способы получения: 1) окисление лигнинсодержащего сырья (напр., лигносульфонатов - отхода в произ-ве древесной целлюлозы сульфитной варкой) в щелочной среде в присут. оксидов Со, Си, Мп или др. катализаторов; из смеси продуктов р-ции Ванилин экстрагируют бутанолом или бензолом и очищают обработкой NaHSO3, перегонкой и перекристаллизацией; 2) из гваякола: а) конденсацией с формальдегидом и арильным производным гидроксиламина и послед. разложением шиффова основания, напр. гидролизом [СН2О образуется в ходе р-ции из уротропина, ArNHOH - из 4-нитрозо-N,N-диметиланилина (т. наз. нитрозный метод) или из 3-нитробензолсульфокислоты (метод Зандмейера)]; б) конденсацией с глиоксиловой к-той в щелочной среде и послед. окислит. разложением промежут. соединения в присут. катализатора (т. наз. глиоксиловый метод):
1068-63.jpg
1069-1.jpg

Ванилин широко применяют как ароматизатор в пищ. промети, душистое в-во в парфюмерии (пороговая концентрация 1,24*10-10 г/л), для придания блеска покрытиям в гальванотехнике и для синтеза нек-рых лек. ср-в, напр. фтивазида. Т. всп. 162°С, т. самовоспл. 366°С; ниж. КПВ 71 мг/м3. ПДК 1,2 мг/м3; ЛД50 2 г/кг (крысы, перорально). Л. А. Хейфиц.

Синонимы/примеры:* Ванилловый альдегид; 4-Гидрокси-3-метоксибензальдегид; Прото-ванилловый альдегид
*подобраны ИИ, возможны неточности