Мускусы
МУСКУСЫ (лат. muscus), пахучие продукты со своеобразным, т. наз. мускусным, запахом и способностью "облагораживать" и фиксировать запах парфюм. композиций. Ранее единств. источником мускусов были прир. продукты животного и растит. происхождения. Мускусы животного происхождения-выделения мускусных желез нек-рых парнокопытных, грызунов и др. животных; получаются гл. обр. из желез мускусной кабарги (Moschus moschiferus). Мускусный запах имеют выделения нек-рых др. животных, мясо мускусных быков и др. В состав животных мускусов, помимо душистых в-в, входят белки, жиры, холестерин и нек-рые др. продукты. К мускусам растит. происхождения относят эфирные масла из аптечного дягиля и гибиск абельмоша. Душистое начало животных мускусов-макроциклич. кетоны, растительных-макроцик-лич. лактоны, выделенные и исследованные только в 20 в. Синтезированы также многие др. в-ва с мускусным запахом, не найденные в природе.
Для большинства мускусов характерны усиление запаха при нагр. и аносмия-невосприятие отдельными людьми запаха этих в-в. Строгая зависимость между строением мускусов и их запахом отсутствует. Мускусы широко применяют в парфюмерии; их производят в пром-сти в значит. кол-вах.
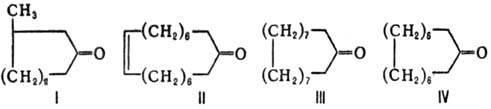
Макроциклические мускусы. По силе и тонкости запаха, устойчивости к О2 воздуха, а также по способности фиксировать запах парфюм. композиции эти мускусы превосходят все др. соед. с мускусным запахом. Соед. этого ряда содержат макроцикл из 14-19 метиленовых групп, однако в раде случаев эти группы м. б. заменены гетероатомами (О, S) или группами атомов (напр., иминогруппой). Очень тонким мускусным запахом обладают кетоны с 15-17 атомами С, в т.ч. мускон (3-метилциклопентадеканон; ф-ла I), получаемый из желез самца мускусной кабарги отгонкой с водяным паром, цибетон (9-циклогептадеценон; II), содержащийся в цибете-секрете желез циветовой кошки, дигидроцибетон (цикло-гептадеканон; III), получаемый гидрированием цибетона, и экзальтон (циклопентадеканон; IV), содержащийся в секрете желез нек-рых грызунов.

Важная группа макроциклических мускусов-лактоны, запах к-рых напоминает запах макроциклич. кетонов с тем же числом атомов С, но еще устойчивее и имеет оттенок амбры. Из лактонов наиб. важны амбреттолид (16-гексадец-7-ено-лид; V), содержащийся в эфирном масле семян Hibiscus abelmoschus, и тибетолид (15-пентадеканолид, экзальтолид; VI), входящий в состав эфирного масла из корней аптечного дягиля (Angelica Archangelica L.). Пром. способы синтеза тибетолида основаны на циклизации 15-гидроксипентадека-новой к-ты, к-рая получается электролитич. конденсацией моноэтилового эфира адипиновой к-ты с 11-ацетоксиундека-новой к-той (из 11-бромундекановой к-ты), или многостадийным синтезом из циклододеканона. Запах макроциклич. оксалактонов с 15 и 16 атомами С похож, но все же несколько слабее запаха макроциклич. лактонов с тем же числом атомов С. Наиб. важны оксалактон 2-11 (12-окса-тетрадеканолид, тибетолид 2-11; VII), получающийся конденсацией 11-бромундекановой к-ты с этиленгликолем и послед, циклизацией образующейся 14-гидрокси-12-оксатет-радекановой к-ты), и оксалактон 4-11 (12-оксагексадекано-лид; VIII), получающийся конденсацией 11-бромундекановой к-ты с 1,4-бутандиолом и послед. циклизацией образующейся 16-гидрокси-12-оксагексадекановой к-ты.
Сильным мускусным запахом обладают нек-рые циклич. диэфиры a,w-гликолей и дикарбоновых к-т, в т.ч. этилен-брассилат (мускус Т; IX) и мусконат (X), получающиеся конденсацией этиленгликоля с брассиловой и декан-1,10-дикарбоновой к-тами соответственно.

Мускусы ароматического ряда. Из этих мускусов наиб. важны т. наз. нитромускусы-производные бензола, содержащие одну или неск. нитрогрупп. Они значительно уступают макро-циклическим мускусам по парфюм. качествам. Кроме того, из-за токсичности нек-рых нитромускусов, в особенности мускуса амбрового, не рекомендуется вводить их в парфюм. композиции в кол-ве, превышающем 0,1%; однако их достоинство-относит. простота синтеза и дешевизна. Наиб. практич. значение среди нитромускусов имеют: мускус амбровый (4-трет-бутил-3-метокси-2,6-динитротолуол, мускус-амбретт; XI), получающийся алкилированием метилового эфира м-крезола изобутиленом и послед. нитрованием образующегося 4-трет-бутил-3-метокситолуола смесью HNO3 и уксусного ангидрида: мускус-кетон (4-трет-бутил-2,6-диме-тил-3,5-динитроацетофенон; XII), получающийся последо-ват. бутилированием, ацетилированием и нитрованием м-ксилола; мускус-ксилол (5-трет-бутил-1,3-диметил-2,4,6-тринитробензол; XIII), получающийся бутилированием м-ксилола и нитрованием образующегося 5-трет-бутил-1,3-диметилбензола.
СВОЙСТВА МУСКУСОВ

1) [a]D17-13,010. 2) Т.всп. 144°С, т. самовоспл. 240 °С, КПВ 0,05-0,52% (по объему), температурные пределы взрываемости 136-177 0С. 3) Т.всп. 162 °С, т. самовоспл. 365 °С, КПВ 0,24-1,51% (по объему), температурные пределы взрываемости 156-198 0С. 4) Т.всп. 165 0С, т. самовоспл. 397 °С, КПВ 88,75 г/м3 (ниж.). 5) Т.всп. 164°С, КПВ 69,25 г/м3 (них.). б) Порог запаха 2,15.10-9 г/л. 7) Т.всп. 139°С, т. самовоспл. 331 °С, температурные пределы взрываемости 139-178 °С

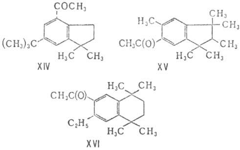
Вторая важная группа мускусов ароматич. радя-п р о и з в о д н ы е и н д а н а. Наиб. важны: целестолид (4-ацетил-6-трет-бутил-1,1-диметилиндан, зсперон; XIV), получающийся конденсацией трет-бутилбензола с изопреном в присут. H2SO4 и ацетилированием образующегося 6-трет-бутил-1,1-димети-линдана; фантолид (6-ацетил-1,1,2,3,3,5-гексаметилиндан; XV), получающийся конденсацией n-цимола с диметилэтил-карбинолом в присут. H2SO4 и ацетилированием образующегося 1,1,2,3,3,5-гексаметилиндана.
Третья группа мускусов ароматич. радя-п р о и з в о д н ы е т е т р а-л и н а, среди к-рых многие имеют практич. значение; напр., версалид (7-ацетил-1,1,4,4-тетраметил-6-этил-1,2,3,4-тетра-гидронафталин; XVI), получающийся конденсацией 2,5-ди-метил-2,5-дихлоргексана с этилбензолом и ацетилированием продукта конденсации.
Прочие мускусы. Мускусным запахом обладают нек-рые тер-п е н и л ц и к л о г е к с а н о л ы и т е р п е н и л ц и к л о г е к с а н о н ы, в т.ч. кедрол-смесь (70:30) 4- и 6-терпенил-2-метилциклогексанолов (терпеновый остаток гл. обр. изокамфил и изобор-нил), получающийся конденсацией камфена с о-крезолом с послед. гидрированием продукта конденсации, и мустерон, получающийся окислением кедрола и представляющий собой смесь 4- и 6-терпенил-2-метилциклогексанонов. Известны также с т е р о и д н ы е мускусы, однако практич. значения они не имеют. Физ. св-ва нек-рых мускусов представлены в таблице.

Исп. литература для статьи «МУСКУСЫ»: Шулов Л.М., Хейфиц Л.Л., Душистые вещества с мускусным запахом, М., 1964; Братус И. Н., Химия душистых веществ, М., 1979; Fragrance chemistry, cd. by E. Theimer, N.Y.-[a.o.], 1982. Л.А. Хейфиц.