Гербициды
ГЕРБИЦИДЫ (от лат. herba-трава и caedo-убиваю), в-ва, уничтожающие нежелательные растения (гербициды, применяемые для уничтожения деревьев и кустарников, наз. также арборицидами, в-ва, служащие для борьбы с водорослями,- альгицидами).
Главная область применения гербицидов-уничтожение сорняков в посевах с.-х. культур ("хим. прополка"), особенно кукурузы, сои, хлопчатника, пшеницы, риса и сахарной свеклы. Товарные формы гербицидов-р-ры, концентраты эмульсий, смачивающиеся порошки (реже гранулы), содержащие, помимо действующего в-ва, разбавители и вспомогат. добавки (см. Пестицидные препараты); от состава этих препаратов и их физ.-хим. св-в существенно зависит эффективность гербицидов. Для расширения спектра действия и повышения активности гербицидов часто используют их смеси, выпускаемые пром-стью или приготовляемые на месте применения.
Классификация. Механизм действия. Различают гербициды избирательного и сплошного действия; первые уничтожают лишь нек-рые растения, вторые-всякую растительность. Это деление в известной мере условно, т. к. многие гербициды с повышением их дозы (или концентрации в препарате) свою избирательность утрачивают. Различают также гербициды контактного действия, поражающие растение в местах контакта с ним, и системные, способные передвигаться по сосудистой системе растения от места поглощения к месту действия. По условиям применения гербициды делят на почвенные, или довсходовые (их вносят в почву или наносят на нее до посева Либо до появления всходов), и листовые, или послевсходовые. Почвенные гербициды поглощаются семенами, корнями, проростками, листовые - надземными частями растений в разл. периоды вегетации.
Гербицидная активность в-в обусловлена их способностью проникать в те или иные части растения, перемещаться в нем, влиять на процессы жизнедеятельности растения, а также подвергаться метаболизму под действием ферментов или других в-в, содержащихся в растении и почве, с образованием менее (или более) токсичных продуктов. Для почвенных гербицидов важны их адсорбция и десорбция, перемещение в почве и вымывание из нее, разложение под действием влаги, света и почвенной микрофлоры, способность длительно сохраняться в почве (т. наз. персистентность).
Избирательность гербицидов в наиб. мере обусловлена биохим. факторами, в частности неодинаковой способностью разл. растений разлагать гербициды или связывать его с образованием нетоксичных в-в. Однако иногда она м. б. обусловлена физ. или морфологич. причинами, напр. тем, что на листья злаков, к-рые имеют меньшую пов-сть и хуже смачиваются, чем листья двудольных растений, попадает при обработке (напр., опрыскивании) меньше гербицидов. Эффект, к-рый достигается в результате применения гербицидов, зависит также от видового состава обрабатываемых растений и условий окружающей среды (т-ра, влажность, состав почвы и др.).
В соответствии с природой и механизмом действия выделяют след. основные группы гербицидов.
1. Ингибиторы фотосинтеза. Эти гербициды проникают в хлоропласты растений; нек-рые из них (напр., соли дипиридилия) препятствуют захвату электронов ферредоксином и нарушают процесс восстановления кофермента никотинамидадениндинуклеотидфосфата (НАДФ) в т. наз. фотосистеме I, другие (из групп арилмочевин, сим-триазинов, 1,2,4-триазинонов, урацилов, гидроксибензонитрилов, пиридазинонов) препятствуют переносу электронов к пластохинону в т. наз. фотосистеме II.
2. Гербициды, влияющие на дыхание растений, в частности разобщающие цепь окислит. фосфорилирования и подавляющие образование АТФ (напр., соединения из групп динитрофенолов и галогенфенолов).
3. Ингибиторы клеточного деления (митоза), напр. N-арилкарбаматы и динитроанилины; вносят их, как правило, в почву, где гербициды подавляют прорастание семян и рост корней.
4. Гербициды, регулирующие рост растений, или "синтетич. ауксины", аналогичные по св-вам 3-индолилуксусной к-те (ге-тероауксину)-прир. гормону роста (при его избытке непомерно ускоряется рост растения, что приводит к истощению и гибели); ауксиноподобными св-вами обладают соед. из групп арилоксиалканкарбоновых и арилкарбоновых к-т, производные пиколиновой к-ты.
Активность гербицидов может быть связана также с подавлением таких процессов, как синтез нуклеиновых к-т, каротиноидов, белков, липидов, или с блокированием биосинтеза и транспорта прир. регуляторов, катализирующих эти процессы. Механизм действия многих гербицидов пока не выяснен.
Наиболее важные гербициды. Рассматриваемые ниже гербициды относятся к разным классам орг. соед. (при описании гербицидов, кроме условного международного названия, присваиваемого обычно пестицидным в-вам, в скобках указаны фирменные названия торговых препаратов на их основе; показатели ЛД50 приведены для крыс при введении перорально).
К е т о н ы. К этой группе гербицидов относятся метоксифенон (каяфенон, ф-ла I) и Na-соль замещенного 1,3-циклогексендиона-аллоксидим-натрий (кусагард, II; ЛД50 2200 мг/кг). Соединения I используют для обработки риса, II-для обработки сахарной свеклы, сои и др. (норма расхода 0,75-1,1 кг/га). Еще более активным, чем II, является довсходовый гербицид сетоксидим (IIa).

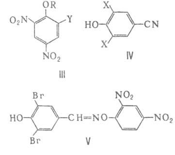
Нитро- и галогенфенолы. Несмотря на высокую токсичность этих соед., в кач-ве гербицидов применяют ряд производных общей ф-лы III: 4,6-динитро-о-крезол (ДНОК, R = Н, Y = СН3 ; ЛД50 40-85 мг/кг), используемый для послевсходовой обработки многолетних злаковых трав (1,2-4,8 кг/га); диносеб (R = Н, Y = втор-C4H9), динотерб (R = Н, Y = трет-С4Н9), диносеб- и динотерб-ацетаты (R = = СОСН3). Все эти соед.-типичные контактные гербициды; к их действию устойчивы лишь те растения, к-рые имеют плотную восковую кутикулу и плохо смачиваются. К контактным гербицидам относятся и галогенфенолы: пентахлорфенол, его Na-соль и наиб. важный из этой группы-иоксинил (IV, Х = 1; ЛД50 150 мг/кг), используемый (в т. ч. в виде октаноата) против сорняков, устойчивых к 2,4-дихлорфеноксиуксусной к-те (см. ниже). Для обработки зерновых культур применяют также бромоксинил (IV, X = Вr) и менее токсичный бромфеноксим (фанерой, V; ЛД50 1217 мг/кг).
Нитродифениловые эфиры. Из гербицидов этой группы наиб. широко применяют соед. общей ф-лы VI: нитро-фен (нитрохлор, R = С1, R' = H; ЛД50 3630 мг/кг), бифенокс (модаун, R = Cl, R' = СООСН3), хлометок-синил (R = Cl, R' = ОСН3; ЛД50
10000 мг/кг) и ацифлуорфен (блазер, R = CF3, R' = СООСН3). Нитродифениловые эфиры менее токсичны для людей и животных, чем нитро- и галогенфенолы; используют их для до- и послевсходовой обработки риса, сои, овощных культур и др. Действие этих гербицидов основано гл. обр. на подавлении фотосинтеза и лучше всего проявляется при хорошем солнечном освещении.

Динитроанилины. Большое экономич. значение приобрели ингибиторы митоза-гербициды из группы 2,6-динитроанилинов общей ф-лы VII; главный из них-трифлуралин (трефлан, нитран, X = CF3, R = R' = н-С3Н7, Y = Н; ЛД50 3300 мг/кг), применяемый в больших масштабах для обработки хлопчатника, сои, подсолнечника, капусты, томатов и др. (1-2,5 кг/га). Гербицидной активностью обладают также аналоги трифлуралина-нитралин (X = CH3SO2), оризалин (X = NH2SO2), изопропалин (X = изо-С3Н7). Из др. динитроанилинов важен пендиметалин (стомп, проул, VII, X = = Y = CH3, R = 1-этилпропил, R' = H; ЛД50 1050 мг/кг), используемый в посевах хлопчатника (1-2 кг/га).
Галогеналифатические и аралифатические кислоты. Среди галогеналифатич. к-т наибольшее значение имеют доступные трихлоруксусная и 2,2-дихлопропионовая к-ты. Применяют их в виде Na-солей, гл. обр. для уничтожения однодольных сорняков. Cl3CCOONa (TXAH; ЛД50 3320 мг/кг) поглощается корнями растений, CH3CCl2COONa (далапон)-как корнями, так и листьями.
Оба препарата часто используют для осенней подготовки почвы (4-50 кг/га, ТХАН-до 100 кг/га). Нек-рое применение находит также CHF2CF2COONa.
Из арилалифатич. к-т и их производных важны: хлорфен-проп-метил (бидизин) 4-СlС6Н4СН2СН(Сl)СООСН3-гербицид для борьбы с овсюгом; 2,3,6-Сl3С6Н2СН2СООН (фенак); беназолин (VIII; ЛД50 3000 мг/кг)-гербицид ауксиноподобного действия, применяемый обычно в смеси с 2,4-дихлорфеноксиуксусной к-той.
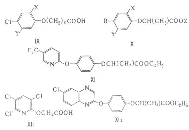
Арилоксиалканкарбоновые кислоты. В эту весьма важную группу входит ряд системных гербицидов ауксиноподобного действия ф-л IX-XII; применяют их как до, так и после появления всходов в форме солей или эфиров (первые лучше поглощаются корнями, вторые-надземными частями растений). Главные гербициды среди соед. общей ф-лы IX: 2,4-дихлорфеноксиуксусная к-та, или 2,4-Д (X = Cl, Y = = Н, и = 1), и 2М-4Х (Х = СН3, Y = H, и=1), в больших масштабах используемые для уничтожения двудольных сорняков в посевах зерновых культур (0,2-2 кг/га). Для этих же целей служат аналоги 2,4-Д и 2М-4Х с п = 3 (соотв. 2,4-ДМ и 2М-4ХМ). Эффективный гербицид 2,4,5-Т (X = = Y = Cl, n = 1) в СССР и ряде др. стран не разрешен, т. к. при его синтезе возможно образование примеси ядовитого тетрахлордибензо-и-диоксина. Соед. ф-лы IX, где п-четное число, гербицидной активностью не обладают.
Гербициды из группы а-феноксипропионовых к-т: 2,4-ДП (ф-ла X, R = х = Cl, Y = Z = Н) и 2М-4ХП (X, R = Cl, X = CH3, Y = = Z = Н), а также весьма избирательные дихлофоп-метил (иллоксан, X, R = 2,4-С12С6Н3О, X = Y = Н, Z = СН3) и флуазифоп-бутил (XI), уничтожающие овсюг и др. злаковые сорняки в посевах злаковых культур (0,12-1 кг/га). Против злаковых сорняков в посевах широколиственных культур эффективен до- и послевсходовый гербицид хинофоп-этил (XI а) при норме расхода 0,05-0,5 кг/га. Действие соед. X, XI, XI а связано с блокированием транспорта ауксинов. Высокоактивен также гетероциклич. арборицид трихлопир (гарлон, XII; ЛД50 713 мг/кг), уничтожающий лиственные деревья в культуре хвойных (1-2 кг/га).

Ароматические и гетероциклические кислоты. Среди ароматич. к-т чаще всего активны соед. общей ф-лы XIII, содержащие в ядре атомы галогена; из них наиб. известен послевсходовый гербицид дикамба (банвел Д, X = = ОСН3, Y = C1; ЛД50
1200 мг/кг), применяемый, как и полидим (трисбен, X = Y = Cl), для борьбы с многолетними сорняками. Используются также производные 2,6-дихлорбензойной к-ты-нитрил 2,6-Cl2C6H3CN (дихлобенил) и тиоамид 2,6-Cl2C6H3CSNH2 (хлортиамид, префикс). Для обработки томатов и сои применяют амибен (XIII, X = С1, Y = NH2), для обработки овощных культур-хлортал-диметил (дактал, XIV).
Высокой гербицидной активностью обладают производные пиколиновой к-ты лонтрел (XV) и пиклорам (тордон, XVa; ЛД50
1500 мг/кг). Лонтрел при послевсходовом применении (50-150 г/га) уничтожает сорняки в посевах пшеницы, ячменя и кукурузы, малоизбирательный пиклорам служит для борьбы с глубокоукореняющимися сорняками и древесной растительностью.
Производные аминокислот. Производные аланина ф-лы XV I - флампропизопропил (суффикс BW, X = F, R = изо-С3Н7; ЛД50 3000 мг/кг) и бензоилпропэтил (суффикс; X = Cl, R = С2Н5) применяют как послевсходовые гербициды для борьбы с овсюгом в посевах злаков; активность этих соед., более высокая у ( — )-изомеров, обусловлена гидролизом до своб. к-т, избирательность-различием в скоростях гидролиза в сорняках и культурных растениях.
Амиды карбоновых кислот. наиб. распространенные гербициды этой группы-анилиды (XVII) и замещенные амиды монохлоруксусной к-ты (XVIII). Среди XVII особенно важен пропанид (R = С2Н5; ЛД50 1300 мг/кг), применяемый для обработки риса (3-9 кг/га), среди XVIII-пропахлор (рамрод, R = C6H5, R'= н-С3Н7; ЛД50 1300 мг/кг), используемый в посевах овощных культур и кукурузы, и аллидохлор (рандокс, R = R' = СН2СН=СН2). По механизму действия амиды обычно отличаются от гербицидных к-т: соед. XVII-контактные послевсходовые гербициды, ингибирующие фотосинтез, соед. XVIII и XIX-довсходовые гербициды, ингибирующие, по-видимому, биосинтез гиббереллинов. Гербицидной активностью обладает также ряд 2,6-диалкиланили-дов общей ф-лы XIX, особенно алахлор (лассо, R = CH3, ЛД50 1040 мг/кг), бутахлор (мачете, R = н-С4Н9) и актион (антор, R = СН2СООС2Н5). Довсходовыми гербицидами служат дифенамид (C6H5)2CHCON(CH3)2, напропамид (девринол, дэпра, XX) и пропизамид (XXI).
Карбаматы и тиокарбаматы. Известно несколько гербицидов из числа N-алкилкарбаматов, однако чаще гербицидную активность проявляют N-арилкарбаматы, в т. ч. замещенные в положениях 3 и 4 фенильного ядра. Среди этих соед. общей ф-лы XXII, помимо применяемых в ограниченных масштабах ИФК (X = Y = Н, R = изо-С3Н7) и хлор-ИФК (Х = С1, Y = H, R = изо-С3Н7), эффективных гл. обр. против однодольных сорняков, известен барбан (карбин, Х = С1, Y = H, R = CH2C=CCH2Cl)-пocлeвcxoдoвый гербицид для борьбы с овсюгом в посевах зерновых (0,4-0,6 кг/га). бис-Карбамат фенмедифам (бетанал, XXIII; ЛД50 750 мг/кг) часто применяют для послевсходовой обработки свеклы (1-1,5 кг/га); в посевах этой культуры иногда используют также проксимфам С6Н5NНСООМ=С(СН3)2 и асулам 4-NH2C6H4SO2NHCOOCH3. При послевсходовом применении N-арилкарбаматы действуют как ингибиторы фотосинтеза, при довсходовом-как ингибиторы митоза.
Широкое и разнообразное применение нашли почвенные гербициды из группы тиокарбаматов общей ф-лы XXIV, особенно ЭПТК (эптам, R = R' = C3H7, X = С2Н5; ЛД5д 1660 мг/кг) и бутилат (сутан, R = R'= изо-С4Н9, X = С2Н5; ЛД50 >4000 мг/кг); при обработке кукурузы их обычно используют в виде препаратов эрадикан и сутан-плюс, содержащих добавку антидота (см. Антидоты для растений). В посевах риса применяют молинат (ялан, R = R' = (СН2)6, X = = С2Н5), сои-вернолат (вернам, R = R' = X = С3Н7), сахарной свеклы-циклоат (ронит, R = X = C2H5, R'= = циклогексил), для борьбы со злаковыми сорняками в посевах зерновых и др. культур-триаллат (R = R'= = изо-С3Н7, X = СН2ССl=СС12 ; ЛД50
1470 мг/кг; норма расхода 0,8-1,6 кг/га).
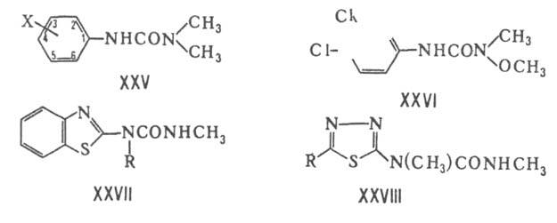
Производные мочевины. Среди соед. этой весьма важной группы гербицидов активность чаще всего проявляют трехзамещенные производные ф-л XXV-XXVIII. Особенно многочисленны соед. XXV; их избирательность и спектр действия существенно зависят от характера заместителей в фенильном ядре (см. табл.).
ГЕРБИЦИДЫ-ПРОИЗВОДНЫЕ МОЧЕВИНЫ ФОРМУЛЫ XXV
* ЛД50 1515 мг/кг; ** ЛД50 3400 мг/кг.
Трехзамещенное производное мочевины линурон (XXVI)-один из важнейших гербицидов для обработки сои, кукурузы, картофеля (1-3 кг/га). Гербицидной активностью обладают также мн. аналоги XXV, содержащие вместо одной СН3-группы др. алкильный радикал или вместо фенила - др. карбо- или гетероциклич. остаток (напр., циклооктил, 5-трет-бутил-2-изоксазолил). Так, метабензтиа-зурон (трибунил, XXVII, R = CH3)-T. для до- или послевсходовой обработки зерновых; тиадиазолилмочевины общей ф-лы XXVIII (R = трет-С4Н9, CF3, C2H5SO2 и др.)-высокоактивные гербициды сплошного действия.
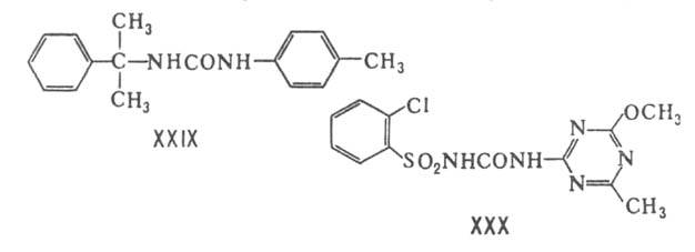
Четырехзамещенные производные мочевины проявляют активность лишь в том случае, когда один из заместителей легко отщепляется. Среди двузамещенных мочевин известен ряд гербицидов: дихлоральмочевина [CC13CH(OH)NH]2CO-старейший легкодоступный гербицид, используемый в посевах свеклы; более эффективный для этой культуры бензтиазурон (мерпелан, XXVII, R = Н); димурон (XXIX), применяемый в посевах риса. Хлорсульфурон (глин, XXX), содержащий триазиновую группировку,- новый и пока самый высокоактивный из всех известных гербицидов. Его доза при обработке зерновых культур в полевых условиях составляет всего 5-60 г/га (обычно 10-20 г/га), т.е. он примерно в 100 раз более активен, чем 2,4-Д. Хлорсульфурон ингибирует деление и рост клеток чувствительных к нему растений и не влияет на фотосинтез и дыхание растений. При замене атома С1 в ф-ле XXX на СООСН3-группу получен гербицид метсульфуронметил, активный даже в дозе 4-8 г/га; при замене триазинового цикла на пиримидиновый также получаются высокоактивные гербициды.
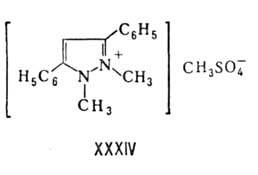
Пятичленные гетероциклические соединения. Среди большого числа этих соед. (1,3-оксазолидиндионов, замещенных пиразолов, имидазолов, бензотиадиазолов и др.), обладающих гербицидной активностью, число в-в, применяемых на практике, сравнительно невелико. Так, оксадиазон (ронстар XXXI; ЛД50 > 8000 мг/кг) используют для обработки сои, риса (0,75-1 кг/га) и др.; метазол (XXXII)-для довсходовой обработки хлопчатника и картофеля; этофумезат (нортрон, XXXIII; ЛД50 > 6000 мг/кг)-в посевах свеклы. Дифензокват-метилсульфат (авендж, XXXIV)-пocлeвcxoдoвый гербицид для борьбы с овсюгом в посевах зерновых (0,8-1,5 кг/га), проявляющий также фунгицид-ное действие.
Шестичленные гетероциклические соединения. Среди этих соед. с одним гетероатомом (помимо упоминавшихся выше трихлопира XII, лонтрела XV и пиклорама XVa) широко известны соли 2,2'-и 4,4'-дипиридилия- быстродействующие контактные гербициды. Дикват-дибромид (реглон, XXXV; ЛД50 282 мг/кг) эффективен гл. обр. против двудольных растений и нередко применяется также, как десикант; паракват-дихлорид (грамоксон, XXXVI; ЛД50 150 мг/кг)-гербицид сплошного действия; в почве он быстро разлагается, не мешая развитию культур, высеваемых после обработки. Поэтому паракват (а отчасти и дикват) пригоден для т. наз. беспахотного земледелия в районах, где почва подвержена ветровой эрозии. В СССР паракват не разрешен из-за его токсичности.
Важнейшие гербициды среди шестичленных гетероциклов с двумя гетероатомами-производные пиридазинов и пиримидинов. Из пиридазинов наиб. известен хлоридазон (феназон, пирамин, XXXVII; ЛД50 > 2000 мг/кг), используемый для довсходовой обработки свеклы. Этот гербицид-ингибитор фотосинтеза; в растениях свеклы он дезактивируется, образуя N-гликозиды. Близкий к нему по структуре норфлуразон (зориал, XXXVIII) находит применение в хлопководстве. Кредазин (XXXIX)-гербицид для обработки томатов и земляники, пиридат (ХL)-послевсходовый контактный гербицид для обработки зерновых.
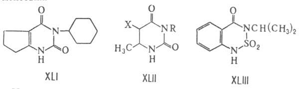
Из мн. производных пиримидина, обладающих гербицидной активностью, практич. применение нашли лишь соед. из группы пиримидиндионов (урацилов), в частности ленацил (гексилур, XLI; ЛД50 > 11 000 мг/кг)-довсходовый гербицид для обработки свеклы (0,8-1,6 кг/га), а также соед. общей ф-лы XLII: бромацил (X = Br, R = втор-С4Н9)и тербацил (X = Cl, R = трет-С4Н9), используемые как гербициды сплошного действия.
Из шестичленных гетероциклич. соед. с тремя гетероатомами (помимо триазинов, рассматриваемых ниже) важен бентазон (базагран, XLIII; ЛД50 1100 мг/кг), применяемый в виде водорастворимой Na-coли для послевсходовой обработки зерновых (1-2 кг/га).
Триазины. сим-1,3,5-Триазины-крупнейшая группа гербицидов по масштабам мирового произ-ва. Гербицидкой активностью обладают соед., содержащие алкиламиногруппы в положениях 4 и 6 и галоген, метилтио- или метокси-группы-в положении 2. Из соед. общей ф-лы XLIV, в к-рых X = Hal, наиб. важны атразин (R = С2Н5, R' = = изо-С3Н7) и симазин (R = R' = C2H5; ЛД50 1390 мг/кг), используемые для довсходовой обработки кукурузы (1,5-4 кг/га) и др. культур, а также цианазин [бладекс, R = = С2Н5, К' = С(СН3)2СN]-до- и послевсходовый гербицид для кукурузы, бобовых и зерновых культур.
2-Метилтиопроизводные сим-триазинов (XLIV, X = = SCH3) выгодно отличаются от других гербицидов этой группы более широким спектром действия, большей избирательностью и не слишком большой персистентностью в почве. наиб. распространение получил прометрин (R = R' = изо-С3Н7; ЛД50 > 3000 мг/кг), применяемый в культурах хлопчатника, подсолнечника, картофеля, моркови и др. (1,5-2,5 кг/га). В посадках капусты часто применяют десметрин (семерон, R = CH3, R' = изо-С3Н7), а также его аналог - 2-метилтио-4-азидо-6-изопропиламино-1,3,5-триазин (азипротрин). Важное значение в хлопководстве приобрел дипропетрин (котофор, X = SC2H5; R = R' = изо-С3Н7). Нек-рое применение находят и 2-метокситриазины (X = ОСН3), избирательность к-рых меньше, чем у др. смм-триазинов.
Гербицидная активность производных смм-триазинов обусловлена гл. обр. ингибированием фотосинтеза; дезактивация этих гербицидов в почве и растениях связана обычно с гидролизом до неактивных 2-гидроксипроизводных (Х-ОН). Активностью обладают также и нек-рые тетрагидро-сим-триазины, в частности гексазинон (велпар, XLV)-P. сплошного действия, применяемый на незасеваемых площадях (2-13 кг/га) и в лесном хозяйстве. Известен ряд избирательных гербицидов и среди производных 1,2,4-триазина общей ф-лы XLVI, важнейшие из к-рых: метрибузин (зенкор, R = = трет-C4H9, R' = SCH3; ЛД50 > 1100 мг/кг), применяемый для довсходовой обработки картофеля (1-1,5 кг/га) и послевсходовой обработки томатов, сои, а также метамитрон (голтикс, R = С6Н5, R' = СН3)-до- и послевсходовый гербицид для свеклы (3-5 кг/га).
Органические соединения фосфора и мышьяка. Среди фосфорорг. соед. наиболее важным является глифосат (HO)2P(O)CH2NHCH2COOH (раундап; ЛД50 4320 мг/кг)-системный гербицид сплошного действия, быстро разлагающийся в почве и применяемый в виде изопропиламмониевой соли для борьбы с глубокоукореняющимися и многолетними сорняками (1-1,5 кг/га) в период вегетации; используются также бутамифос (кремарт, XLVII), R = 5-СН3, R'= С2Н5, R" = втор-С4Н9) и амипрофос-метил (токунол, XLVII, R = 4-CH3, R' = CH3, R" = изо-С3Н7); кренайт (XLVIII) - арборицид, эффективный в дозе 2,5-5 кг/га; бенсулид (изо-C3H7O)2P(S)SCH2CH2SO2C6H5 (префар), применяемый для обработки овощных и бахчевых культур; пиперофос (ХLIХ)-гербицид для до- и послевсходовой обработки риса.

Наряду с глифосатом применение нашел контактный гербицид сплошного действия-глуфосинат аммония (L)-норма расхода 0,15-1,2 кг/га.
К мышъякорг. гербицидам относятся, напр., метиларсонаты натрия и аммония, Na-солъ какодиловой к-ты. В СССР и Зап. Европе эти гербициды не применяют из-за их высокой токсичности.
Уничтожение растений с помощью хим. средств известно с 19 в., когда при прокладке дорог и расчистке пром. площадок в кач-ве гербицидов сплошного действия использовали в больших дозах дешевые неорг. соли, серную к-ту, отходы нефтяной, коксохим. и горнорудной пром-сти. В нач. 20 в. у нек-рых в-в (напр., медного купороса, серной к-ты и особенно 4,6-динитро-о-крезола) была отмечена избирательность действия. Широкое и быстрое распространение гербициды получили после открытия в 1942-45 свойств 2,4-дихлорфенок-сиуксусной к-ты, не утратившей своего значения.
Использование гербицидов в с. х.-ве, особенно в промышленно развитых странах, оказало огромное влияние на агротехнику возделывания многих культур в условиях нехватки рабочей силы.
Мировое произ-во гербицидов постоянно расширяется, напр. в США в 1980 оно превысило 300 тыс. т (в расчете на действующее в-во). Мировой ассортимент гербицидов насчитывает св. 200 действующих в-в (без учета их смесей), ок. 100 в-в разрешено к применению в СССР на 1982-85.
Продажа и применение гербицидов во всех странах допускаются лишь с разрешения компетентных государств. органов на основании данных, подтверждающих эффективность гербицида, его безопасность для людей, животных и объектов окружающей среды. При этом регламентируются правила транспортировки, хранения и применения гербицида. Допустимые остатки гербицидов в продуктах питания и фураже строго нормируются и контролируются органами Госсанинспекции. Неправильное применение гербицидов может загрязнить почву и водоемы, вызвать гибель растений и животных, нарушить биол. связи в биогеоценозах.
Литература
Мельников Н. Н., Баскаков Ю. А., Химия гербицидов и регуляторов роста растений, М., 1962; Мельников Н. Н., Химия и технология пестицидов, М., 1974; его же, "Успехи химии", 1976, т. 45, в. 8, с. 1473-504; Баскаков Ю. А., "Ж. Весе. хим. о-ва им. Д. И. Менделеева", 1978, т. 23, № 2, с. 149-59: 1984, т. 29, № 1, с. 22-39; Chemie der Pflan/enschut7- und Schadlingsbekampfungv mittel. Hrsg. von R. Wegler, Bd 2, B.-[u.a.], 1970, S. 172-393; Bd 5, 1977, S. 3-752; Bd 8, 1932, S. 1-445; Herbicides: chemistry, degradation and mode of action, ed. by P.C. Kearney, D.D. Kaufman, 2 ed., v. 1-2, N.Y., 1975-76; Pflanzenschutz und Schadlingsbekampfung. Hrsg. von K.H. Biichel, Stuttg., 1977; Fedtke C. Biochemistry and physiology of herbicide action, В., 1981 Н. Н. Мельников, Г. С. Швиндлерман.