Гиббереллины

ГИББЕРЕЛЛИНЫ, группа прир. регуляторов роста растений (фитогормонов). Стимулируют деление клеток, рост стебля, ускоряют цветение, задерживают старение листьев и плодов благодаря активированию синтеза нуклеиновых к-т и белков.

По хим. природе гиббереллины-тетрациклич. моно-, ди- и трикарбоновые к-ты, содержащие 20 или 19 атомов С; С19-гиббереллины обычно имеют лактонную группировку. Известно ок. 70 гиббереллинов; они обозначаются GA1, GA2 (или ГА15 ГА2) и т.д.

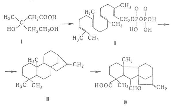
Биосинтез гиббереллинов происходит при участии АТФ и ряда ферментов из мевалоновой к-ты (ф-ла I) через промежуточное образование ряда в-в, в т.ч. геранил-геранилпирофосфата (II), каурена (III) и ГА12-альдегида (IV), из к-рого получаются другие гиббереллины:
1107-12.jpg

Гиббереллины синтезируются не только высшими растениями, но и мн. бактериями, грибами и водорослями. Нек-рые регуляторы роста растений (напр., хлорхолинхлорид), а также гербициды группы тиокарбаматов и хлорацетанилидов ингибируют биосинтез гиббереллинов. В тканях растений обычно содержится от 0,01 до 1,4 мг гиббереллинов на 1 кг сырой массы; особенно много гиббереллинов в незрелых семенах. Часть гиббереллинов находится в виде эфиров глюкозы.

Важнейший из гиббереллинов-гибберелловая к-та, или ГА3 (V); кристаллы, т. пл. 233-235 °С; хорошо раств. в этилацетате, бутаноле, ацетоне, циклогексане, хуже-в воде (0,5%); соли щелочных металлов и аммония хорошо раств. в воде. ГА3 получают в пром-сти культивированием гриба Gibberella fujikuroi (Fusarium moniliforme). Применяют как стимулятор роста бессемянных сортов винограда (30-50 г/га), вишни, цитрусовых, картофеля, ячменя.

Литература

Муромцев Г. С., Коренева В. М., Герасимова Н. М., в кн.: Рост растений и природные регуляторы, М., 1977, с. 193-216; Полевой В. В, Фитогормоны, Л., 1982, с. 144-61, 224-26; Муромцев Г. С., Агнистикова В. Н., Гиббереллины, М., 1984; Gibberellins and plant growth, ed. by H.N. Krishnamoorthy, New Delhi, [1975]; GraebeJ.F., Ropers H.J., в кн.: Phytohonnones and related compounds, v. 1, Amst, 1978, p. 107-204. Г. С. Швиндлерман.

Синонимы/примеры:* Гибберелловая кислота; Гиббереллин А3
*подобраны ИИ, возможны неточности
Ещё по теме
Гиббереллины — роль в жизни растений
Гиббереллины — гормоны растений и их роль
Регуляторы роста растений — типы, применение и механизмы действия
Гибберелловая кислота и гиббереллин А3 — применение в сельском хозяйстве
Регуляторы роста растений — типы, применение и влияние на развитие растений
Стимуляторы роста растений — природные и синтетические соединения
Цитокинины — природные регуляторы роста растений
Хлорофиллы — строение, свойства и роль в фотосинтезе
Гексозаны — строение и роль в природе
Природные гликозиды — классификация и свойства
Ауксины — роль в росте и развитии растений
Ингибиторы роста растений — виды и применение
8-Оксихинолин — свойства и применение
Растительные полисахариды — целлюлоза и крахмал
Гормон роста — свойства и применение
Фитогормоны — типы и роль в жизни растений