Фунгициды
ФУНГИЦИДЫ (от лат. fungi - грибы и caedo - убиваю), в-ва, уничтожающие вредоносные грибы. Главная область применения фунгицидов- защита с.-х. культур от болезней. Используют фунгициды в соответствующей форме (см. Пестицидные препараты)путем опрыскивания или опыления растений, обработки почвы либо как протравители семян; применяют также в технике как антисептические средства для защиты неметаллич. материалов от биоразрушения и в медицине как противогрибковые средства. Каждый фунгицид обладает определенным спектром действия против разных видов грибов (а иногда также бактерий) и не является универсальным.
Фунгициды, используемые в растениеводстве, подразделяют на защитные (или контактные) и системные. Первые применяют в целях профилактики, они действуют лишь на пов-сти растений или семян, убивая споры фитопатогенных грибов либо предотвращая их развитие. Системные фунгициды проникают внутрь растения, способны передвигаться по его сосудистой системе, что позволяет не только предотвращать болезни, но и искоренять инфекцию, глубоко проникшую в растительную ткань. Однако применение системных фунгицидов часто приводит к появлению резистентности (устойчивости), для преодоления к-рой чередуют препараты с разл. механизмом действия либо используют смеси препаратов.
Из неорг. фунгицидов издавна применяют серу и ее сое д. В тонкодисперсном виде, иногда с добавками ПАВ, серу используют для борьбы с мучнистой росой и др. грибами на многих с.-х. культурах. Применяют также полисульфиды кальция (т. наз. известково-серный отвар; ИСО) и бария, из к-рых сера вьделяется постепенно при окислении на воздухе. В качестве фунгицидов для фумигации теплиц и складских помещений используют SO2 (80-160 г/м3).
Фунгицидной активностью обладают соли металлов, гл. обр. Ag, Hg, Cu, Cd. Однако на практике применяют лишь соли меди. Легкорастворимые соли Cu2+ из-за токсичности для растений используют ограниченно; чаще используют малорастворимые соли и препараты, напр. бордоскую жидкость [готовят смешением CuSO4, Ca(OH)2 и воды непосредственно перед применением], гемиоксид меди Cu2O, ее хлороксид [3Cu(OH)2·CuCl2·xH2O, где x =0-3], 8-гидроксихинолят и нафтенат меди и др. Бордоскую жидкость и хлороксид меди используют для борьбы с болезнями овощных, плодовых и техн. культур; нафтенат меди - также для защиты неметаллич. материалов, гемиоксид - как основу необрастающих красок. Высокоактивны соли Hg, но из-за токсичности широкого применения они не нашли.
Фунгицидная и фунгистатич. активность (фунгистатики задерживают рост грибов, но не уничтожают их) обнаружена у фитоалексинов, образующихся в растениях в качестве защитной р-ции, в ответ на заражение их фитопатогенными грибами (см. Фитогормоны). Практич. применения фитоалек-сины не нашли.
Для защиты риса от пирикуляриоза используют нек-рые антибиотики: циклогексимид (несмотря на высокую токсичность), стрептомицин, гризеофулъвин, бластицидин S (доза 10-20 г/га), полиоксин Д и касугамицин.
Защитными св-вами обладают соли и разл. производные дитиокарбаминовых к-т, в частности тетраме-тилтиурамдисульфид (тирам, ТМТД) [(CH3)2NC(S)S]2, используемый в многочисленных смесях для протравливания семян, иногда и для обработки почвы или растений; он известен также как ускоритель вулканизации каучука. Долгое время применялись дитиокарбаматы ф-лы [(CH3)2NC(S)S]xM (M - металл, напр. Fe, Zn; х - степень окисления металла), но из-за канцерогенности их использование прекращено.
Из этилен-бис-дитиокарбаматов наиб. широко применяют цинеб [SC(S)NHCH2CH2NC(S)S]2-Zn2+ и манкоцеб - смешанную Zn, Мn-соль [подобная соль Mn (манеб) в России запрещена из-за канцерогенности]. На картофеле и др. культурах используют полимерный этилен-бис-дитиокарбамат Zn (по-ликарбацин) {[SC(S)NHCH2CH2NHC(S)S]4Zn3}x.
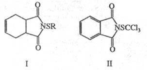
В качестве защитных фунгицидов применяют нек-рые производные тиофталимидаи его тетрагидроаналога. Наиб. важные из них - калган (ф-ла I; R = CCl3), каптафол (I; R = CCl2CHCl2) и фолпет (II). Эти фунгициды эффективны против парши яблонь и rpуш, серой гнили земляники, фитофтороза картофеля и др. Несмотря на весьма малую острую токсичность (5000-10000 мг/кг), их применение ограничено из-за тератогенно-сти и канцерогенности.

К этой же группе близки замещ. анилины - дихлофлу-анид (III; X = H) и толилфлуанид (III; X = CH3), особенно активные против серой гнили плодовых растений.

Защитным действием обладают многие хлорпроиз-водные ароматич. углеводородов. Известные фунгициды пентахлорнитробензол (квинтоцен, ПХНБ) и гексахлорбензол по экологич. соображениям в России не применяются. За рубежом используют 2,4,5,6-тетрахлоризофталодинитрил (хлорталонил), несмотря на высокие дозы (6-9 кг/га для рассадных растений и до 130 кг/га при внесении в почву), а также 2,6-дихлор-4-нитроанилин (ДХНА, дихлоран) для борьбы с грибами родов Botrytis, Sclepotinia, Monilia и др.
Высокую фунгицидную и бактерицидную активность проявляют производные фенолов, но из-за фитотоксичности они непригодны для защиты растений и используются гл. обр. как антисептики. В с. х-ве против мучнистой росы на овощных культурах и винограде применяют 2,5-диметокси-1,4-дихлор-бензол (хлоронеб) и динокап (IV), последний обладает ака-рицидным действием.
В качестве протравителя семян нек-рое время использовался тетрахлорбензохинон (хлоранил), но более эффективным фунгицидом для этой цели и для обработки растений оказался 2,3-ди-хлорнафтохинон (дихлон); для последнего характерны св-ва альгицида. Получаемый из дихлонадитианон (V) применяется для борьбы с болезнями плодовых деревьев.

Одна из первых групп системных фунгицидов широкого спектра действия, выпускаемых в больших масштабах,- замещенные бензимидазолы ф-лы VI.

Главные из них - беномил (VI; R = NHCOOCH3, R' = = CONHC4H9), тиабендазол (VI; R = A, R' = H), фуберида-зол (VI; R = Б, R' = H), а также карбендазим (VI; R = = NHCOOCH3, R' = H). Эти фунгициды используются для опрыскивания растений, протравливания семян, иногда и для внесения в почву, а тиабендазол - также для обработки картофеля и свеклы при хранении (6-27 кг/т). К бензимидазолам близки по характеру действия тиофанат (VII; R = C2H5) и тиофа-нат-метил (VII; R = CH3); последний в организме превращается в карбендазим.
Специфич. активностью против возбудителей мучнистой росы обладают пиримидины- фунгициды системного действия (корнями поглощаются лучше, чем листьями). Среди них -диметиримол [VIII; R = N(CH3)2, R'= H], этиримол (VIII; R = NHC2H5, R'= H) и бупиримат [VIII; R = NHC2H5, R' = SO2N(CHa)2].

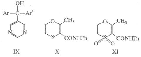
Не менее активны, но имеют более широкий спектр действия диарилпиримидилметанолы - триаримол (IX; Ar = = 2,4-Cl2C6H3, Ar' = Ph); фенаримол (IX; Ar = 2-ClC6H4, Аг' = 4-ClC6H4); нуаримол (IX; Ar = 2-ClC6H4, Ar' = 4-FC6H4). Очень высокой активностью против грибов из класса бази-диомицетов (к этому классу принадлежат возбудители ржавчины и головни зерновых), а также против почвенных грибов Rhizoctonia solani обладают замещенные оксатиины-карбоксин (X) и оксикарбоксин (XI), используемые в осн. как протравители семян (уничтожают инфекцию, проникшую внутрь).

Аналогичные св-ва проявляют др. соед., содержащие структурный фрагмент
("кротонанили-ды"), в частности фенфурам (XII; R = H), бенодил (ХП; R = CH3) и пиракарболид (XПI).

Фунгицидной активностью обладает ряд о-замещенных бензанилидов, напр. 2-метилбензанилид, 2-иодбензани-лид и салициланилид (используемый преим. как антисептик).
Против мучнисторосяных фибов рода Erysiphe весьма эффективны производные морфолина- тридеморф (XIV; R = C13H27) и додеморф (XIV; R = цикло-C12H23), применяемые для обработки ячменя и овса. Структурно близкий фунгицидам триморфамид (XV) обладает защитным действием со слабыми системными св-вами. Близок к ним по активности системный фунгицид трифорин (XVI), используемый гл. обр. на овощных и плодовых культурах (0,2-0,4 кг/га).

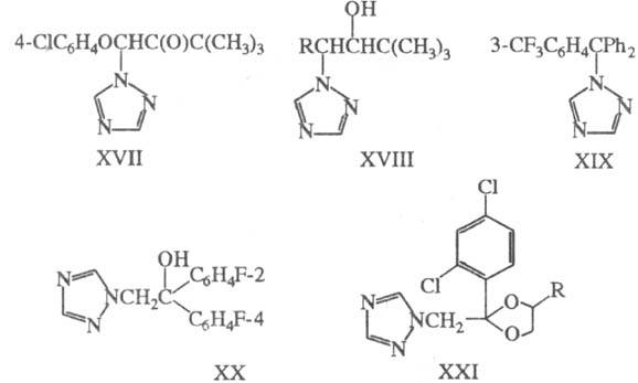
К системным фунгицидам относятся производные триазола. Наиб, распространение получил триадимефон (XVII) - фунгицид широкого спектра действия, используемый против ржавчины пшеницы, мучнистой росы огурцов, томатов, пшеницы, дыни, серой гнили винограда и др. (0,06-0,25 кг/га). Для протравливания семян против пыльной и твердой головни, ржавчины, септориоза и др. применяется триадименод (XVIII; R = 4-ClC6H4O) (200-300 г/г). Широким спектром фунги-цидной активности обладают: дихлобутразол (XVIII; R = 2,4-Cl2C6H3CH2); флутримазол (XIX); флутриафен (XX); этаконазол (XXI, R = C2H5); пропиконазол (XXI, R = C3H7). Против ржавчины пшеницы как профилактич. фунгицид используют также 4-бутил-1,2,4(4H)-триазол (бутразол).

Близки к триазолам по характеру действия производные имидазола; важнейшие из них - имазалил (ХХII) и про-хлораз (XXIII).

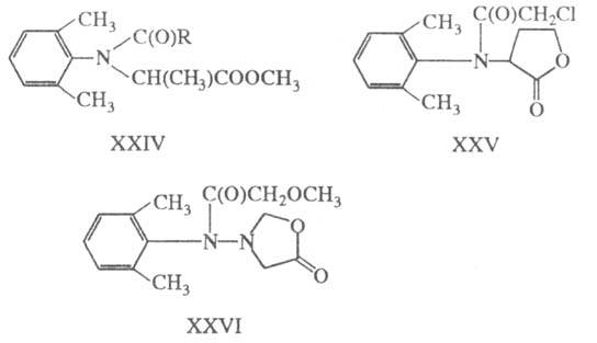
Против болезней, вызываемых низшими грибами класса оомицетов (фитофтороз, пероноспороз), применяют производные аланина общей ф-лы XXIV, в т.ч. металаксил (R = CH2OCH3), фуралаксил (R = 2-фypил) и беналаксил (R = CH2C6H5), к-рые используются для обработки картофеля, томатов, табака, хмеля, лука (0,12-0,3 кг/га). К производным аланина близки по характеру действия милфурам (XXV) и оксадиксил (XXVI), особенно активный против пероноспо-ровых грибов.

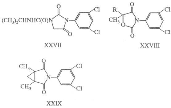
К группе системных фунгицидов относят производные 3,5-дихлоранилина, у к-рых радикал 3,5-Cl2C6H3 связан с атомом N, входящим в гетероцикл. В число таких фунгицидов входят ипродион (XXVII), винклозолин (XXVIII; R=CH2=CH), дихлозолин (XXVIII; R = CH3) и процимидон (XXIX). Эти фунгициды при норме расхода 0,5-1 кг/га особенно активны против грибов Monilia, Sclerotinia и Botrytis, поражающих очень мн. виды растений.

Фунгицидным действием обладают нек-рые амины, амидины, гуанидины. Для обработки при хранении картофеля и цитрусовых используют втор-бутиламин [CH3CH(NH2)CH2CH3], для борьбы с паршой яблони и груши - додецилгуанидинацетат (додин) C12H25NHC(= = NH)NH3+ CH3COO-; в качестве протравителя семян пшеницы и риса против головни, пирикуляриоза и корневых гнилей - гуазатин (XXX) (одновременно является антифидан-том), профилактич. действием обладает глиодин (XXXI).

Фунгициды широкого спектра действия - металло-органические соед. Для протравливания семян, несмотря на высокую токсичность, применяют ртутьорг. соед. ф-лы RHgX (R = алкил, арил, X = Cl, OCOCH3 и др.), напр. C2H5HgCl, C6H5HgOCOCH3, CH3HgNHC(= NH)NHCN (обычная доза 20-50 г/т).
Более безопасны для людей и окружающей среды оловоорг. сое д. ф-лы R3SnX (R = алкил, арил; Х = разл. группы). Триалкильные производные, напр. (C4H9)3SnF, (C4H9)3SnOCOCH3, бис-(трибутилолово)оксид [(C4H9)3SnOSn(C4H9)3], фитотоксичны и используются преим. как антисептики и компоненты необрастающих красок. Для защиты растений применяют гл. обр. производные три-фенилолова, особенно (C6H5)3SnOCOCH3 (0,4-0,6 кг/га), эффективный против фитофтороза картофеля и церкоспоро-за свеклы; обладает также св-вами антифиданта. Аналогичное использование находят (C4H9)3SnOH и (C6H5)3SnCl. Обнаружены соед. с фунгицидной активностью среди орг. производных As и Pb, но практич. применения они не нашли.
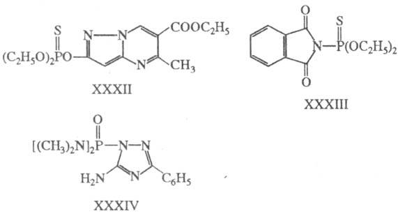
В качестве системных фунгицидов используют нек-рые эфиrы и амиды фосфорных и тиофосфорных к-т.Сре-ди них китацин П C6H5CH2SP(O)[OCH(CH3)2]2 (доза 0,5-1 кг/га), О-этил-8,8-дифенилдитиофосфат (эдифенфос, хино-сан) (C6H5S)2P(O)OC2H5 и О-бутил-8-этил-8-бензилдитио-фосфат (конен) (C2H5S)(C6H5CH2S)P(O)OC4H9 - фунгициды против пирикуляриоза риса; первый обладает также инсектицидным действием. Против мучнистой росы и ржавчины растений используют пиразофос (ф-ла ХХХII), диталимфос (ХХХIII) и вепсин (XXXIV).

Фунгицидным действием обладают фосфонаты, напр. афос (C2H5O)2P(O)CH(CCl3)OCOCH3 (в России запрещен) и инезин C6H5P(O)(OCH3)SCH2C6H5.
Против грибов семейства пероноспоровых эффективен трис-(этилфосфит)алюминий [C2H5OPH(O)O]3Al, способный легко передвигаться как вниз, так и вверх по растению; активность проявляет только внутри растения.
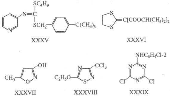
Помимо указанных выше, в с. х-ве применяют: бутиобат (XXXV), эффективный против мучнистой росы на овощных культурах; изопротиолан (XXXVI) - фунгицид для обработки риса, вносимый в поливную воду; гимексазол (XXXVII) - фунгицид для борьбы с корневыми гнилями, особенно на сахарной свекле; этридиазол (XXXVIII), активный против фитофторы; анила-зин (XXXIX), применяемый на мн. овощных культурах (0,7-1,4 кг/га), и др.

Механизм действия большинства фунгицидов известен лишь в общих чертах. Чаще всего фунгициды действуют на грибы непосредственно, вмешиваясь в биохим. р-ции, происходящие в грибных клетках, либо блокируя ферменты, управляющие этими р-циями. Нек-рые фунгициды влияют на неск. жизненно важных процессов и поэтому нелегко выделить, какая "мишень" оказывается наиб. уязвимой. С наиб. основанием можно считать, что фунгициды из групп триазолов, морфолинов, пиримиди-нов, имидазолов, пиперазинов ингибируют биосинтез эргосте-рина - одного из важнейших компонентов клеточных мембран. Фосфорорг. фунгициды подавляют синтез липидов, входящих в состав этих мембран, в частности фосфатидилхолина. Гидро-ксипиримидины (этиримол и др.) и производные аланина ингибируют, по-видимому, синтез нуклеиновых к-т, а антибиотики (циклогексимид, бластицидин, касугамицин) - синтез белка. Антибиотик полиоксин, действуя на соответствующие ферменты, подавляет процесс образования хитина у грибов (и насекомых). Фунгициды из группы оксатиинов нарушают процесс тканевого дыхания, производные бензимидазола и тиофанаты - нормальный ход клеточного деления.
Большинство фунгицидов активно как in vivo, так и in vitro. Существуют, однако, фунгициды непрямого действия, недействующие на грибы in vitro и проявляющие активность только тогда, когда попадут в растение; такие фунгициды либо при взаимод. с растением переходят в активную форму (напр., фенил-тиосемикарбазид превращается в фенилазотиоформамид, C6H5N = NCSNH2), либо усиливают защитные р-ции растения. К таким фунгицидам относят, напр., трис-(этилфосфит)алюминий.
Мировой рынок фунгицидов в 1992 достиг 4,9 млрд. долларов (20,5% от всей продажи пестицидов) при нек-рой тенденции к росту. При постоянных изменениях в мировом ассортименте фунгицидов ежегодно используется ок. 200 действующих в-в.
Об ограничениях, связанных с производством и применением фунгицидов, см. Пестициды.
Лит.: Голышин H.M., Фунгициды в сельском хозяйстве, M., 1982; Мельников H. H., Пестициды. Химия, технология и применение, M., 1987; Мильштейн И. M., "Ж. Всес. хим. об-ва им. Д. И. Менделеева", 1988, № 6, с. 687-97; Xаскин Б. А., там же, с. 698-707; Chemie der Pflanzenschutz und SchSdlmgsbekSmpfungsmittel, Hrsg. von R. Wegler, В., 1970-81; Thomson W. I., Agricultural chemicals. Book IV, Fresno, 1988; Chemistry of pesticides, ed. by K. H. Buchel, N. Y.- [a. o.], 1983. Г. С. Швиндлерман.