Ароматические соединения

АРОМАТИЧЕСКИЕ СОЕДИНЕНИЯ, характеризуются наличием ароматич. системы связей (см. Ароматичность). В более узком смысле к ароматическим соединениям относят только бензоидные соед., т.е. бензол, би-, три- и полициклич. соед., построенные из конденсированных или неконденсированных бензольных ядер, и их производные (ароматич. углеводороды наз. аренами).

В конденсир. ароматических соединениях два соседних "срощенных" цикла имеют два общих атома. При этом возможны три типа сочленения циклов: линеарное, или линейное, как в антрацене (ф-ла I) и тетрацене (II); ангулярное, или угловое, напр. в фенантрене, хризене (III), пицене (IV); пери-сочленение, отличающееся наличием атомов С, общих для трех циклов, как в пирене (V) и коронене (VI). В случае пери-сочленения общее число1038-7.jpgэлектронов не отвечает правилу Хюккеля (4л + 2) и, следовательно, соответствующие соед. не должны относиться к ароматическим. Однако в них можно выделить отдельные составляющие их моноциклич. ароматические соединения (обычно с шестью1038-8.jpgэлектронами) или рассматривать1038-9.jpg электронные оболочки по периметру полициклич. системы; если они включают 10, 14, 18 и т.д.1038-10.jpgэлектронов, то в соответствии с правилом Хюккеля их относят к ароматическим. Таким же образом можно рассматривать конденсир. ароматические соединения, включающие не только шестичленные циклы, напр. инден (VII), флуорен (VIII), аценафтилен (IX):
Антрацен, тетрацен, хризен, пицен, пирен, коронен, инден, флуорен, аценафтилен

1038-11.jpg

Кроме первых членов ряда, напр. бензола, нафталина, антрацена, к ароматическим соединениям относятся также их замещенные (гомологи, галогензамешенные, нитросоединения, амины, фенолы, карбонильные соед. и др.). Одним из важных типов ароматических соединений являются жирноароматич. соединения - гомологи ароматических соединений и их производные с заместителями в алкильных группах, напр. бензилхлорид С6Н5СН2С1, фенилуксусная к-та С6Н5СН2СООН.

По номенклатуре ИЮПАК и в соответствии с традицией моноциклич. ароматические соединения рассматривают как производные бензола: С6Н5С2Н5-этилбензол, С6Н5С1 - хлорбензол, С6Н5СООН - бензойная к-та, С6Н52С1 - бензолсульфохлорид и т.д.; для нек-рых сохранены тривиальные назв.: толуол, ксилол, мезитилен, кумол, цимол, стирол, анилин, фенол, крезол. Назв. неконденсированных полициклических ароматических соединений строятся по заместительному или соединительному типу, напр. С6Н5СН2С6Н5 - дифенилметан, С6Н5С6Н5 - бифенил, C6H5C6H4C6H5 - тepенил. Многие конденсир. ароматические соединения имеют тривиальные назв., напр. нафталин, антрацен, фенантрен; назв. более сложных систем основаны на этих тривиальных назв. с до.бавлением соответствующей приставки и индекса (в квадратных скобках), указывающего место конденсации, напр.:
Бензо[a]антрацен

Ароматические соединения-жидкости или твердые в-ва, отличающиеся от своих алифатич. и алициклич. аналогов более высокими показателями преломления и поглощением в близкой УФ- или видимой области спектра. Для них характерно наличие т. наз. магнитного кольцевого тока и поглощение в слабопольной ("ароматической") части спектра ЯМР (область 6,5-8,0 м. д. для 1Н и 110-170 м.д. для 13С).
1038-13.jpg

Для ароматических соединений характерны р-ции замещения. Наиб. изучено и важно электроф. замещение, прежде всего галогенирование, нитрование, сулъфирование, алкилирование и ацилирование по Фриделю-Крафтсу. Эти р-ции облегчаются и направляются преим. в орто- и пара-положения при наличии в ароматических соединениях заместителей - ориентантов I рода (Alk, Аг, OR, NR2, SR, F, Cl, Br, I) и затрудняются и направляются преим. в мета-положение ориентантами II рода (COR, COOR, CN, NO2, SO2R, SO3H). Электроф. замещение осуществляется по механизму "присоединения - отщепления", обычно включающему образование катионного1038-14.jpgкомплекса (ф-ла X, где X - заместитель в ароматическом соединении, ориентант I или II рода; Е - входящая группа), наз. также интермедиатом Уэланда.

Для ароматических соединений характерно также нуклеоф. замещение при действии N-, О-, S-, С-нуклеофилов, напр. NR2, RO-, RS-, (RCO)2CH-, а также анионов галогенов (наиб. важны р-ции с F ~ ). При этом замещаемой группой могут служить атомы галогенов, нитро-, амино-, гидрокси-, алкокси-, алкилтио- и сульфогруппы, реже - атомы водорода. Такие р-ции часто реализуются в жестких условиях, напр. щелочное плавление солей сульфокислот проводят при т-pax порядка 300-400°С (в расплаве щелочи при атм. давлении или в водном р-ре щелочи при повыш. давлении): ArSO3Na + 2NaOH -> ArONa + Na2SO3 + H2O. Р-ции облегчаются в присут. соединений Си и особенно при наличии в орто- или пара-положении к уходящей группе ориентантов II рода.
1038-15.jpg

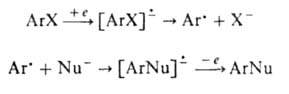
Нуклеоф. замещение может протекать по разл. механизмам. наиб. известный - "присоединение - отщепление", включающий образование анионного1038-16.jpgкомплекса (XI), наз. комплексом Майзенхаймера. Может осуществляться также радикально-нуклеоф. замещение с промежут. образованием ароматич. анионрадикалов, генерируемых из арилгалогенидов фотохимически или электрохимически:
1038-17.jpg
(е- электрон).

Известны также механизмы "отщепления - присоединения". Напр., при действии металлич. Li или алкиллития, напр. BuLi, на о-дигалогенбензолы или при фотолизе о-диазобензойных к-т образуются нестабильные и весьма реакционноспособные дегидроароматич. соед. (арины). Конечный продукт нуклеоф. замещения ArNu образуется в таких случаях в результате присоединения нуклеофила по тройной связи. В случае несимметричных соед. образуются смеси двух продуктов:
1038-18.jpg

Поляризация тройной связи обеспечивает селективное присоединение нуклеофила к литийаринам, к-рые образуются, напр., при отщеплении сульфинатов Li или производных H2SO3 от 2,6-дилитийсульфонилбензолов:
1038-19.jpg

Меньшее значение имеет гомолитич. замещение ароматических соединений, напр. арилирование диазосоединениями и гидроксилирование действием реагента Фентона (Н2О2 + CuSO4 + H2SO4). Ароматические соединения могут подвергаться также прямому металлированию. Особенно важны литирование по механизму протофильного замещения и меркурирование, являющееся р-цией электроф. замещения. Ароматические соединения могут обменивать галоген на металл (при действии металлов или металлоорг. соед.). С переходными металлами они образуют металлоарены (ареновые1038-20.jpgкомплексы), напр. дибензолхром.

Р-ции ароматических соединений по замещающим группам в целом подобны р-циям соответствующих алифатич. соед., однако имеются и существ. особенности. Так, ароматич. амины образуют с HNO2 устойчивые диазосоединения, способные к азосочетанию и превращающиеся при действии нуклеофилов в разнообразные замещенные ароматические соединения, напр. по р-ции Зандмейера. Двойные соли, образуемые галогенидами арилдиазония и галогенидами разл. металлов, при действии порошка Си, Zn или Bi разлагаются с образованием ароматич. металлоорг. соединений (р-ция Несмеянова).

Из р-ций присоединения ароматических соединений наиб. важно каталитич. гидрирование - общий метод синтеза соед. ряда циклогексана. Ароматические соединения присоединяют щелочные металлы; образующиеся продукты, напр. нафтилид натрия1038-21.jpg, представляют собой ионные пары катиона металла и анион-радикала ароматических соединений. При действии донора протонов (обычно воды) они превращ. в дигидроароматич. соединения. Последние прапаративно получают действием на ароматические соединения Li или Na в жидком NH3 в присут. алканола (р-ция Берна). Менее характерно для ароматических соединений циклоприсоединение. Так, термин. [2+ 4]-циклоприсоединение возможно лишь для активир. ароматических соединений, напр. 1,2,4,5-тетраметилбензола (дурола) и нафталина, с использованием активных диенофилов; в случае обычных диено-филов требуется УФ-облучение. Последнее приводит к ди-меризации или изомеризации ароматических соединений, напр.:
1038-22.jpg

Жирноароматич. соед. обычно окисляются по атому С алкильной группы, соседнему с ароматич. кольцом, с сохранением бензольных колец. Таким способом получают ароматич. к-ты (напр., терефталевую из n-ксилола), альдегиды (n-нитробензальдегид из n-нитротолуола), кетоны (ацетофенон из этилбензола), спирты (трифенилкарбинол из трифенилметана). Большое практич. значение имеет превращ. алкилароматич. соед. в гидропероксиды, термич. разложение к-рых приводит к фенолам и алифатич. карбонильным соед., напр. синтез фенола и ацетона из гидропе-роксида кумола (р-ция Сергеева). Конденсир. ароматич. системы менее устойчивы к окислению, что используется, напр., в синтезе фталевой к-ты из нафталина.

Ароматич. углеводороды получают в пром-сти из продуктов коксования каменного угля и ароматизацией нефтяных углеводородов, а далее превращ. в разнообразные замещенные. В связи с уменьшением запасов нефти перспективной становится ароматизация алифатич. и алици-клич. углеводородов, получаемых при гидрировании каменного угля и на основе синтез-газа. Лаб. способы получения ароматических соединений основаны на превращ. ароматич. углеводородов или др. доступных ароматических соединений; в нек-рых случаях используют дегидрирование производных циклогексана, циклотримеризацию ацетиленов и ароматизацию аддуктов, образующихся по р-ции Дильса-Альдера. Ароматические соединения-важные промежут. и целевые продукты пром. орг. синтеза.

Лит.. Несмеянов А. Н„ Несмеянов Н. А., Начала органической химии, кн. 2, М., 1970, с. 9-268; Эфрос Л. С, Горелик М. В., Химия и технология промежуточных продуктов. Л., 1980; Хиней X., в кн.. Общая органическая химия, пер. с англ.. т. 1. М., 1981, с. 314-455. Л. И. Беленький.

Ещё по теме
Ароматические соединения — свойства и применение
Ароматические углеводороды — свойства и применение
Основы классификации и номенклатуры органических соединений
Номенклатура органических соединений — правила и примеры названий
Производные углеводородов — классы и свойства
Спирты — свойства, получение и применение
Изоциклические соединения — особенности и классификация
Номенклатура органических соединений — классификация и названия
Органические основания в органическом синтезе
Номенклатура органических соединений — правила и примеры названий
Органические сульфиды — структура, свойства и применение
Номенклатура ароматических соединений
Фенолы — свойства, реакции и применение
Циклические соединения — номенклатура и особенности
Химическая номенклатура — принципы и примеры названий