Пирен
ПИРЕН (ф-ла I), мол. м. 202,26; бесцв. кристаллы; т. пл. 1500C (с возг.), т. кип. 3990C;
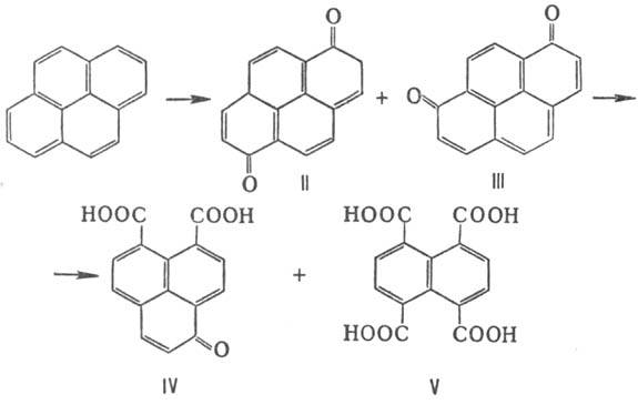
1,277. Раств. в этаноле, диэтиловом эфире, бензоле, CHCl3, CS2, не раств, в воде. В р-ре флуоресцирует голубым цветом; с пикриновой к-той в спиртовом р-ре образует пикрат темно-красного цвета (т. пл. 2220C), с тетранитрометаном-соед. темно-фиолетового цвета, с тринитробензолом - желтого (т. пл. 2450C). При хлорировании, бромировании, нитровании пирен легко образует моно-, ди-, три- и тетразамещенные продукты, содержащие заместители в положениях 1, 1,6, 1,8, 1,3,6 и 1,3,6,8. При окислении хромовой смесью пирен превращ. в пиренхиноны (ф-лы II и III; т. пл. соотв. 309 и 2700C); дальнейшее окисление приводит к производным феналена (IV) и нафталина (V):


Над сернисто-молибденовым катализатором пирен гидри-руется в 4,5-дигидро- и 4,5,9,10-тетр.агидропирены, над никелевым-в 1,2,3,6,7,10-гексагидропирен; действием Na в р-ре NH3 или эфира восстанавливается в дигидропроизводное, представляющее собой смесь соед. VI и VII:

В эфирном р-ре пирен присоединяет Li с образованием производного, р-ция к-рого с CO2 дает 1,8-дигидропирен-карбоновую к-ту.
Пирен выделяют из кам.-уг. смолы. Применяют в произ-ве нафталин-1,4,5,8-тетракарбоновой к-ты, монокристаллы -для изготовления сцинтилляц. счетчиков.
Пирен раздражает кожу, дыхат пути и глаза; ПДК 0,1 мг/м3.
Лит.: Клар Э., Полициклические углеводороды, пер. с англ., т. 2, M., 1971, с. 136. Г. И. Пуца.