Антрацен

АНТРАЦЕН (от греч. anthrax - уголь), мол. м. 178,24; бесцв. кристаллы с голубовато-фиолетовой флуоресценцией, сохраняющейся в р-ре и расплаве; т. пл. 216°С, т. кип. 342°С; возгоняется; d4251,283; С° 209Дж/(г*К);1036-18.jpg Н°обр -128кДж/моль,1036-19.jpgН°ПЛ28,86 кДж/моль,1036-20.jpgSо298 207,5 Дж/(моль*К); р-римость: в этаноле - 0,076% (16°С) и 0,83% (78 °С); эфире - 1,2% (25 °С); плохо раств. в ацетоне, CS2, хлороформе, СС14, раств. в горячих бензоле и толуоле, не раств. в воде.
1036-21.jpg

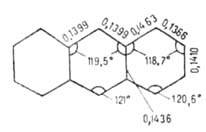
Молекула антрацена - плоская, длины связей (в нм) неравноценны (см. рис.). В УФ-спектре антрацена1036-22.jpg 310 нм (lg1036-23.jpg 3,3), 324 нм (lg1036-24.jpg3,6), 340 нм (lg1036-25.jpg3,7), 356 нм (lg1036-26.jpg4,0) и 375 нм (lg1036-27.jpg4,0).
1036-28.jpg

Антрацен - конденсированный ароматич. углеводород; эмпирич. энергия резонанса 3,62 эВ. наиб. реакционноспособны положения 9 и 10 (мезо-положения), присоединение по к-рым не связано с большой потерей энергии резонанса. В положения 9,10 антрацен легко присоединяет диенофилы, в частности малеиновый ангидрид с образованием аддукта ф-лы I, к-рый уже при слабом нагревании регенерирует исходный продукт; р-цию используют для очистки антрацена. Подобно диеновым углеводородам, антрацен присоединяет щелочные металлы, напр. с Na образует 9,10-динатрий-9,10-дигидроантрацен- синее легко окисляющееся в-во. При УФ-освещении р-ров антрацена происходит присоединение О2 с образованием эндопероксида И, разлагающегося при 120°С со взрывом. При фотодимеризации антрацена образуется труднорастворимый диантрацен, распадающийся в темноте на антрацен. Гидрируется антрацен сначала в 9,10-дигидроантрацен; на никелевом кат. происходит исчерпывающее гидрирование. Легко окисляется Н2СrО4, конц. HNO3 и др. в антрахинон. Галогенируется и нитруется с образованием продуктов 9,10-присоединения, к-рые легко превращ. в 9-замещенные (отщепляются молекулы галогеноводорода и элементов азотистой к-ты соотв.). 9,10-Дигалогенантрацены легко обменивают атомы галогенов на гидрокси- и сульфогруппы, образуют магнийорг. соединения и окисляются до антрахинона. 1- и 2-Галогенантрацены не синтезируются непосредственным галогенированием; их получают из соответствующих антрахинонов восстановлением Zn-пылью в NH3. Восстановление разнообразных производных антрахинона широко используется для синтеза замещенных антрацена.
1036-29.jpg

Антрацен легко сульфируется; введенная в одно кольцо сульфогруппа мало влияет на реакц. способность др. колец, поэтому антрацен обладает повыш. способностью к образованию дисульфокислот. При сульфировании антрацена конц. H2SO4 выход сульфокислот невелик из-за образования большого кол-ва 9,9'-биантрила и полимерных продуктов. При сульфировании антрацена в диоксане действием HSO3C1 образуется 9-антраценсульфокислота, легко подвергающаяся десульфированию. В результате в реакц. среде накапливаются 1-и 2-антраценсульфокислоты. При сульфировании антрацена 100%-ной H2SO4 в уксусной к-те образуется 1-антраценсульфокислота (выход 62%).

Антрацен содержится в антраценовом масле (см. Каменноугольная смола), откуда его и выделяют, очищают от примесей (гл. обр. от фенантрена и карбазола), промывают р-рителями и перекристаллизовывают из пиридиновых оснований. Антрацен применяют для получения гл. обр. антрахинона, монокристаллы антрацена - для сцинтилляционных счетчиков.

Для антрацена ниж. КПВ 5 г/м3, т. самовоспл. 946 °С. Пыль пожароопасна. При ее вдыхании наблюдается отек век, раздражение слизистых оболочек, жжение и зуд кожи; ПДК 0,1 мг/м3.

Литература

Клар Э., Полициклические углеводороды, пер. с англ., т. 1, М., 1971; Kirk-Othmer encyclopedia, v. 1, N. Y.-[a.o.J, 1947, p. 941-43; Ullmann's Encyklopadie, 4 Aufl., Bd 7, Weinheim, 1974, S. 577-78. Г.И. Пуца.

Синонимы/примеры:* Антрацен; Паранафталин; Тетрацен
*подобраны ИИ, возможны неточности