Мезитилeн
МЕЗИТИЛEН (1,3,5-триметилбензол), мол. м. 120,186; бесцв. жидкость с ароматич. запахом; т.пл. — 44,72°С, т. кип. 164,72°С; d420 0,86518; пD20 1,49937; g 0,0288 Н/м; DH0исп 39,063 кДж/моль, DH0обр - 63,62 кДж/моль, DH0сгор - 936,24 кДж/моль; S°298 386,11 ДжДмоль.К); С° 200,78 Дж/(моль.К); tкрит 368,9 °С, pкрит 3,29 МПа; р-римость в воде 0,002%, легко растворим в этаноле, диэтиловом эфире, ацетоне, бензоле, хлороформе. В УФ спектре максимум при 265,0 нм.

Мезитилен легко алкилируется, хлорируется, сульфируется, нитруется. При окислении последовательно превращ. в мезити-ловую (ф-ла I), увитиновую (II) и тримезиновую (III) к-ты:

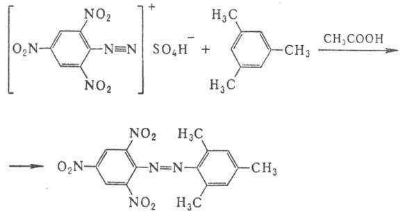
Эфиры последней используют в качестве сшивающих агентов. При нитровании мезитилена образуется нитро-мезитилен, восстановлением к-рого получают мезидин. Взаимод. мезитилена с диазопроизводным пикрамида приводит к 2,4,6-тринитро-бензолазомезитилену (темно-красные кристаллы, т.пл. 189°С):


В пром-сти мезитилен получают изомеризацией псевдокумола на алюмоплатиновом или алюмосиликатном катализаторе при 450-500 °С; выделяют ректификацией. Он м. б. выделен из фракции сырого бензола коксохим. произ-ва, из продуктов каталитич. риформинга или пиролиза нефтепродуктов (суль-фированием с послед. гидролизом образовавшихся сульфо-кислот), а также синтезирован конденсацией ацетона в при-сут. H2SO4 и Н3РО4.
Мезитилен-высокооктановый компонент бензинов. Его используют в произ-ве промежут. продуктов для красителей (напр., мезидина), тримезиновой к-ты.
Т. всп. 46 °С, т. воспл. 563 °С, КПВ 0,37-11,6%. ПДК 120 мг/м3 (США).
Исп. литература для статьи «МЕЗИТИЛEН»: СулимовА.Д., Производство ароматических углеводородов нефтяного сырья, М., 1975, с. 216-22; Earhart H. W., Polymethylbenzenes 1969, Park Ridge (N.J.)-L., 1969. В. Я. Данюшевский.