Холодильные процессы
ХОЛОДИЛЬНЫЕ ПРОЦЕССЫ, обеспечивают непрерывное искусств, охлаждение разл. в-в (тел) путем отвода от них теплоты. Естеств. охлаждение с помощью холодной воды или воздуха позволяет охладить в-во до т-ры охлаждающей среды и не требует подвода энергии. Охлаждение до более низких т-р происходит в искусств. холодных средах, на создание к-рых расходуется мех., тепловая или хим. энергия. Охлаждение до т-р выше 120 К принято наз. умеренным, ниже - глубоким или криогенным.
Искусственные холодные среды. Для их получения необходим перенос теплоты с низкого на более высокий температурный уровень, к-рым, как правило, является т-ра окружающей среды. Этот перенос осуществляется с использованием т. наз. обратимых круговых термодинамич. циклов, к-рые в пром-сти обычно реализуются в холодильных установках. В последних холодная среда создается с помощью рабочих тел, наз. холодильными агентами или просто хладагентами (вода, NH3, пропан-пропиленовые смеси, хладоны, сжиженные газы - воздух, N2, Н2, Не и др.).
В лаб. практике холодные среды получают, приготовляя т. наз. охлаждающие смеси- системы из двух или неск. твердых (либо твердых и жидких) в-в, при смешении к-рых вследствие поглощения теплоты при плавлении или растворении происходит понижение т-ры. Наиб. употребительны смеси из льда и NaCl (достигаемая т-ра от -20 до - 21,2 °С), льда и СаС12 х 6Н2О (-40 °С), твердого СО2 и этанола (-77 °С) и др. Для достижения криогенных т-р в лабораториях применяют сжиженные газы, напр. N2 (см. также Теплообмен).
Термодинамические основы получения холода. Согласно второму началу термодинамики, указанный выше перенос теплоты самопроизвольно не происходит, требуя затрат работы. В термодинамич. процессах подвод или отвод теплоты q описывается через изменение энтропии dS системы: dq = TdS, где Т - т-ра. Отсюда следует, что при подводе к телу теплоты его энтропия возрастает, а при отводе теплоты -уменьшается. В непрерывных холодильных процессах хладагент должен принять теплоту от охлаждаемого тела на ниж. температурном уровне, отдать теплоту на верх. уровне к.-л. теплоприемнику и вернуться в исходное состояние. Поэтому в установившемся процессе суммарная энтропия хладагента не изменяется (dS=0).
Перечисленные и иные процессы искусств. охлаждения в большинстве случаев осуществляются: 1) путем теплообмена между охлаждаемыми в-вами и хладагентами - испаряющимися низкокипящими жидкостями, т-ра к-рых за счет уменьшения энтальпии i понижается до т-ры кипения при давлении испарения; 2) изоэнтальпийным (i = const) расширением газов, предварительно сжатых в компрессорах, или жидкостей при их прохождении через сужение (вентиль, кран, пористая перегородка), т. е. их дросселированием (процесс протекает адиабатически без совершения внеш. работы) с использованием эффекта Джоуля - Томсона, или дроссельного эффекта,- отрицат. либо положит. изменения т-ры тела при отсутствии подвода к телу или отвода от него теплоты; 3) адиабатическим (изоэнтропийным, S = const) расширением газов с совершением внеш. работы в т. наз. детандерах - машинах, устроенных подобно поршневому компрессору или турбокомпрессору (см. Компрессорные машины); 4) сочетанием обоих методов расширения. Эти и другие методы получения холода рассмотрены ниже.
Принцип работы холодильных установок. Его удобно иллюстрировать с помощью идеального (воображаемого) холодильного процесса (цикла) в координатах р - V (рис. 1; р, V- давление в системе и ее объем). При сжатии в компрессоре (процесс ВbА)рабочего тела его т-ра Т повышается; при этом в окружающую среду с т-рой Т0 передается удельная (на единицу кол-ва хладагента) теплота q0 (площадь AbBdcA)и энтропия рабочего тела понижается; в конце сжатия Т = Т0. При послед. расширении (процесс АаВ)хладагента его т-ра понижается. Затем к нему от охлаждаемой среды переносится теплота qx(площадь AaBdcA)и энтропия рабочего тела возрастает.
Повторяя указанные процессы, получают непрерывный круговой холодильный цикл с постоянной холодопроиз-водительностью qx (кол-во теплоты, отнимаемой от охлаждаемого тела). Расходуемая в цикле мех. работа lц (площадь АаВbА), параметры q0 и qx по закону сохранения энергии связаны между собой выражением: q0 = qx + lц. Энергетич. показатели цикла характеризуются т. наз. холодильным коэффициентом
Во всех идеальных циклах lц минимальна, а e максимален.
Рис. 1. Идеальный холодильный цикл.
Идеальные холодильные циклы и установки
Термодинамич. совершенство реального (необратимого) цикла оценивается сравнением его параметров с параметрами идеального (обратимого) цикла. Отношение холодильного коэф. реального цикла
к холодильному коэф. соответствующего идеального цикла
наз. термодинамическим коэффициентом цикла
Известны схемы и параметры ряда идеальных циклов: охлаждения, термостатирования, конденсации, сжижения и др.
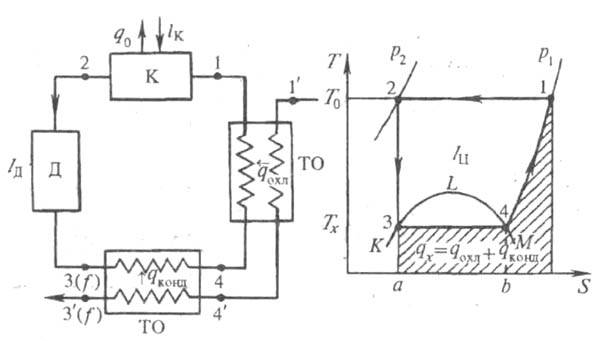
Идеальный цикл охлаждения. Схема установки, работающей по этому циклу, и его изображение в координатах Т -S показаны на рис. 2 (здесь и далее точками 1, 2, 3,..., п обозначены стационарные характерные состояния рабочего тела, а изменения его параметров, отвечающие происходящим в установке процессам, изображены линиями 1-2 и т.д.). Хладагент изотермически сжимается в компрессоре K1 от давления р1 до давления р2(процесс 1-2), при этом теплота сжатия q0 отдается в окружающую среду. Затем происходит адиабатич. расширение рабочего тела в детандере (процесс 2-3, S = const), где за счет совершения работы lд хладагентом его т-ра понижается до Тx=Т3. В теплообменнике ТО рабочее тело нагревается (процесс 3-4) до т-ры Т4 путем подвода к нему теплоты qxот охлаждаемого тела (процесс 4'-3') и адиабатически сжимается (процесс 4-1) в компрессоре К2 до начальных параметров (точка 1). Процесс в ТО характеризуется отсутствием гидравлич. потерь, а также равенством т-р охлаждаемого и рабочего тел во всех сечениях аппарата. Т-ра охлаждаемого тела уменьшается, а затрачиваемая работа lц = lK1 + lK2 - lд = q0 - qx, где lK1 и lK2 - работы изотермич. и адиабатич. сжатия хладагента в компрессорах.
Рис. 2. Идеальный цикл охлаждения.
В тепловых расчетах холодильных циклов удобно использовать связь между изменением энтальпии di хладагента и изменениями его теплоты и рабочих параметров, выражаемую ур-нием: di = dq + Vdp. Отсюда для наиб. распространенного на практике изобарного охлаждения имеем: qx = i4 - i3 и lц = T0(S1 - S2) - (i4 - i3), гдe i3 и i4 - энтальпии рабочего тела. На рис. 2 работе lц эквивалентна площадь 12341, кол-ву отведенной теплоты q0 - площадь 12ab1, кол-ву подведенной к хладагенту или отведенной от охлаждаемого тела теплоты qx - площадь аb43а (здесь и далее заштрихована). В общем случае обратимый процесс 3-4 м. б. не только изобарным, тогда
где С - теплоемкость хладагента.
Рис. 3. Идеальный цикл термостатирования.
Этот цикл принимается в качестве идеального для воздушных холодильных, а также криогенных газовых и рефрижераторных установок (см. ниже).
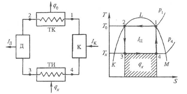
Идеальный цикл термостатирования (рис. 3). Установка отличается от описанной выше тем, что вместо ТО имеется второй детандер, в к-ром рабочее тело изотермически расширяется при т-ре Тх с совершением работы lД2 и подводом теплоты qx от термостатируемого объекта. Холодопроизводительность установки:
Кол-во теплоты, отводимой в окружающую среду:
Работа цикла:
Этот цикл, часто наз. также обратным циклом Карно, принимается как идеальный для большинства холодильных и криогенных установок (включая газовые), а также установок кристаллизации. Холодильный коэф. цикла
не зависит от св-в хладагента и определяется только т-рами окружающей среды (T0) и термостатирования (Тх), т. е.
В идеальных условиях для получения холода на разл. температурных уровнях примерный миним. расход энергии составляет: для достижения qx = 1 Вт на уровне 1 К - ок. 300 Вт, на уровне 200 К - всего 0,5 Вт. Реальные затраты энергии значительно выше, особенно в области низких т-р.
В случае протекания всех процессов в области влажного пара при равновесии жидкость - пар (рис. 4; здесь и далее под кривой KLM)изотермы T0, Тхи изобары p1, p4 совпадают. Схема холодильной установки упрощается: она включает только компрессор и детандер для изоэнтропийного сжатия (процесс 4-1) и расширения (процесс 2-3), а также теплообменник (конденсатор) ТК и теплообменник (испаритель) ТИ, обеспечивающие обратимые процессы передачи теплоты.
Рис. 4. Идеальный цикл термостатирования в области влажного пара.
Рис. 5. Идеальный цикл сжижения газов.
Приведенные выше ф-лы для данного случая также справедливы. По такой принципиальной схеме работает большинство установок умеренного холода.
Идеальный цикл сжижения газов (рис. 5). Рабочее тело изотермически сжимается в компрессоре К от давления p1 до давления р2, расширяется в детандере Д до состояния чистой жидкости [точка 3(f)] и направляется в теплообменник ТО. В нем жидкий хладагент в результате кипения (процесс 3-4) превращается в пар (точка 4), к-рый затем нагревается до начальной т-ры Т0 (точка 1). Одновременно сжижаемое в-во подвергается обратным изменениям: охлаждается (процесс 1'-4') от Т0до т-ры Тx, при к-рой конденсируется (процесс 4'-3') до получения чистой жидкости [точка 3'(f)]. Поскольку все процессы данного цикла обратимы, работа его равна:
Общее кол-во теплоты, отведенной от сжимаемого газа в изобарном процессе 1-4-3(f), составляет: qx = qoxл + qконд = i1 - if, а холодильный коэф.
где if - энтальпия чистой жидкости.
Показатели этого цикла используются как базовые в установках сжижения газов.
Реальные холодильные циклы и установки
Холодильные циклы и установки, применяемые на практике, значительно отличаются от идеальных. Это обусловлено прежде всего тепловыми и гидравлич. потерями, а также несовершенством происходящих в установках процессов (не-дорекуперация теплоты, утечка и перетечка хладагента и др.); в ряде случаев - несовершенством собственно холодильных циклов.
Достигаемые в установках т-ра, холодопроизводительность и затраты мех. работы существенно зависят от вида и св-в хладагентов. Последние должны обладать способностью поглощать при испарении большое кол-во теплоты, иметь малые уд. объемы пара, невысокие критич. т-ры, вязкости и плотности, высокие коэф. теплоотдачи и теплопередачи, раств. в воде, быть безвредными, пожаробезопасными, доступными и недорогими. Полностью удовлетворить все эти требования не может ни один из применяемых в настоящее время хладагентов. Поэтому при их выборе учитывают назначение холодильных установок, условия их работы и конструктивные особенности.
Установки для получения умеренного холода, наз. также холодильными машинами, подразделяются на воздушные и паровые, а последние - на компрессионные, абсорбционные, адсорбционные и пароэжекторные. Наиб. распространены парокомпрессионные, абсорбционные и пароэжекторные машины.
Парокомпрессионные машины (рис. 6) вырабатывают холод, используя кипение жидкостей при низких т-рах с послед. сжатием образовавшихся паров и их конденсацией. Пары хладагента сжимаются в компрессоре К до давления конденсации рконд и сжижаются в конденсаторе ТК, отдавая теплоту конденсации охлаждающей воде или в окружающий воздух. Жидкий хладагент с помощью устройства Др дросселируется до давления кипения ркип, при этом его т-ра снижается до т-ры кипения Ткип. За счет отвода в испарителе теплоты от охлаждаемого объекта жидкость кипит, а образующиеся пары засасываются компрессором и сжимаются. На практике из-за опасности разрушения компрессора при сжатии парожидкостной смеси (процесс 1-2) жидкость полностью испаряют (процесс 1-1') и сжимают только парообразный хладагент (процесс 1'-2'), к-рый в результате оказывается несколько перегрет (точка 2'). В конденсаторе теплоту перегрева отводят охлаждающей водой (процесс 2'-2): кроме того, для снижения расхода энергии на единицу отнятой от охлаждаемого тела теплоты конденсат немного переохлаждают (процесс 3-3').
Рис. 6. Схема парокомпрессионной машины и ее холодильный цикл.
Давления ркип и рконд однозначно связаны с Ткип и т-рой конденсации Тконд св-вами хладагента, а Тконд определяется т-рой окружающей среды; поэтому наинизшая т-ра в машине зависит от отношения рконд/ркип , т. е. только от возможностей компрессора. Если это отношение велико, сжатие производится в многоступенчатом компрессоре. В рассматриваемых машинах достигают охлаждения до Тх= 165 К, qх от 30-80 до 5 кВт,
= 0,5-7,
= 0,3-0,5.
В абсорбционных машинах (рис. 7) пары хладагента поглощаются жидким абсорбентом, из к-рого они затем десорбируются и сжижаются. В качестве хладагента обычно применяют NH3, а в качестве абсорбента - воду. Пары NH3 сжижаются в конденсаторе ТК, теплота конденсации qконн отводится охлаждающей водой или воздухом. В испаритель ТИ дросселируется жидкий NH3, при этом его т-ра снижается до Тх. За счет отвода теплоты qx от охлаждаемой среды NH3 кипит, а его пары поступают в абсорбер Аб, где поглощаются разб. р-ром аммиачной воды, непрерывно подаваемой через вентиль Вн; теплота абсорбции qаб отводится Н2О. Обогащенный р-р аммиачной воды подается насосом Н в подогреватель (кипятильник) Пд, где пары NH3 отгоняются. Коэф.
= qx/(qпд + qн), где qпд - теплота, подводимая в кипятильнике, qн - теплота, эквивалентная мех. работе насоса.
Рис. 7. Схема абсорбционной машины.
Теоретически при одинаковых т-рах кипения и конденсации хладагента для абсорбц. и паровых компрессионных машин холодильные коэф. равны, однако при низких т-рах Тхкомпрессионные машины более эффективны. Достоинство абсорбц. машин - возможность использования в них низкопотенциальных источников теплоты; недостатки - громоздкость и большой расход воды. В машинах этого типа т-ра охлаждения достигает 208 К, qx = 290 - 7300 кВт,
= 0,5-0,8.
Пароэжекторные машины (рис. 8) работают с затратой теплоты; сжатие хладагента осуществляется паровым эжектором, а конденсация - перемешиванием с водой. Рабочий водяной пар под давлением 0,8-1,0 МПа подводится из парогенератора к соплу эжектора Эж, где расширяется, создавая разряжение в испарителе ТИ, смешивается с отсасываемым из него паром и поступает в диффузор под давлением конденсации. В конденсаторе ТК водяной пар сжижается, конденсат частично подается в испаритель для восполнения потерь, а его осн. масса возвращается в парогенератор. При испарении в ТИ вода охлаждается, по замкнутому контуру поступает к холодильной камере ХК, подогревается и возвращается в испаритель. Для этих машин Тх достигает 283 К. Коэф.
(qпаp теплота, затрачиваемая на получение пара высокого давления), значительно ниже, чем для парокомпрессионных, а в нек-рых случаях и абсорбц. машин.
Рис. 8. Схема пароэжекторной машины.
Установки для получения холода на криогенном уровне
(КУ). Эти установки, наз. также просто криогенными, по назначению бывают рефрижераторные (вырабатывают низкотемпературный холод), ожижительные, газоразделительные и комбинированные. По способу получения холода различают след. циклы КУ: с дросселированием (i = const), расширением в детандере (S = const), дросселированием и расширением в детандере, криогенных газовых машин, с выхлопом газа из постоянного объема и др.
В циклах КУ особенно важен способ отвода теплоты от охлаждаемого тела, к-рое при охлаждении "приобретает" все т-ры от Т0 до Тх. Идеальным для данного случая является процесс 4'-3' (рис. 2) или процесс 1'-4' (рис. 5), т. е. непрерывный отвод теплоты на каждом температурном уровне в интервале Т0 - Тх. В реальных циклах осуществить такой отвод теплоты невозможно. Нек-рого приближения к этому способу можно достигнуть применением ряда ступеней охлаждения на неск. промежуточных уровнях. Для охлаждения при Тх= 150 - 250 К обычно достаточно использовать цикл с одной ступенью, для сжижения воздуха, О2 или N2 (Тх = 70 - 90 К) - с двумя ступенями, водорода (Тх = 20 К) -с двумя-тремя ступенями, гелия (Тх = 4-5 К) - не менее чем с тремя ступенями. Температурные уровни Тт (т= 1, 2, 3,...) каждой из п ступеней охлаждения в интервале Т0 - Тхможно оценить по ф-ле:
Применение того или иного цикла, а также аппаратурное оформление КУ зависят от большого числа факторов (главный из них - необходимая холодопроизводительность, стоимость единицы холода и надежность работы установок). Поэтому в общем случае расчет и оптимизация криогенных установок представляют собой сложную задачу.
Установки с дроссельными циклами отличаются исключит. простотой и надежностью в работе, вследствие чего широко распространены в произ-ве холода и сжиженных газов. Однако из-за низкой экономичности эти установки пригодны лишь для получения холода в небольших кол-вах.
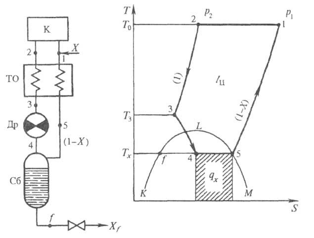
В установке с однократным, или простым, дросселированием (цикл Линде - Хемпсона; рис. 9) газ изотермически сжимается в компрессоре К (процесс 1-2), изобарно охлаждается в теплообменнике ТО до т-ры Т3, расширяется (при i = const) в дроссельном вентиле Др от давления сжатия р2 до давления всасывания pl (процесс 3-4); при этом газ частично конденсируется. Жидкость в кол-ве X [доля сжиженного газа по отношению к кол-ву дросселируемого; кол-во последнего принимают за единицу, на рис. обозначают (1)] в состоянии f выводится из сборника Сб, а пар в кол-ве (1-Х)возвращается через ТО в компрессор. В точке 1 к нему добавляется газ в кол-ве X, и цикл повторяется. Холодопроизводительность qx = Tх(S5 - S4) = i1 - i2 = i5 - i4 = X(i1 - if). Доля выводимого сжиженного газа Xf = (i1 - i2)/(i1— if);
где R - газ. постоянная.
Рис. 9. Схема криогенной установки с однократным дросселированием.
В идеальном дроссельном воздушном цикле очень малы доля получаемой жидкости (~ 5,5%) и холодильный коэф. (-7%); коэф.
5%. В реальном цикле из-за тепловых потерь в окружающую среду, недорекуперации теплоты в ТО, а также неизотермичности сжатия значения
и
м. б. существенно ниже (в 2-3 раза и более).
Кроме низкой эффективности, простой дроссельный цикл оказывается принципиально непригодным при i1 < i2. Известны методы повышения эффективности такого цикла. Главный из них - предварит. охлаждение сжатого газа от внеш. источника. Так, в воздушном дроссельном цикле с промежуточным охлаждением до 228 К (Т0 = 300 К) доля получаемой жидкости увеличивается до ~ 16,5%, а
- до 15%.
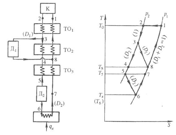
Параметры криогенного цикла можно значительно улучшить применением двойного дросселирования и циркуляции части потока (рис. 10; D1 и D2 - потоки циркуляционный и направляемый на сжижение). В первом приближении холодопроизводительность такого цикла пропорциональна разности конечного (рк)и начального (рн) давлений хладагента: qх ~ (pк - pн), а мех. работа lк ~ ln(рк/рн). Поэтому холодильный коэф. при увеличении рн существенно возрастает (при рк = 20 МПа и повышении рн с 0,1 до 10 МПа коэф.
увеличивается по сравнению с
в 3,2 раза). При одинаковых давлениях р1 и р3доля сжиженного газа X по сравнению с долей газа при простом дросселировании уменьшается примерно на 15%, однако снижается на 40% мех. работа компрессора и на столько же процентов возрастает
Рис. 10. Схема криогенной установки с двойным дросселированием.
Совершенствование циклов с дросселированием достигается применением в качестве рабочей среды смеси хладагентов (рис. 11) с разл. т-рами конденсации в интервале Т0 - Тх. Такая смесь сжимается в компрессоре К, при этом на уровне Т0 (р = р2) конденсируется часть потока - компонент с самой высокой т-рой конденсации. В сборнике Сб1 происходит разделение фаз: пар направляется в теплообменник ТО1, а жидкость в кол-ве D1 дросселируется через вентиль Дp1 в обратный поток. После охлаждения в ТО2 часть прямого потока снова конденсируется и т.д. Процесс продолжается до достижения наинизшей т-ры Тх -т-ры конденсации прследнего компонента смеси при давлении р1. Криогенные установки и методы расчета состава смесей хладагентов достаточно сложны, но получаемый в результате эффект весьма значителен.
Рис. 11. Схема криогенной установки, работающей на смеси хладагентов.
Рис. 12. Схема криогенной рефрижераторной установки с двумя детандерами.
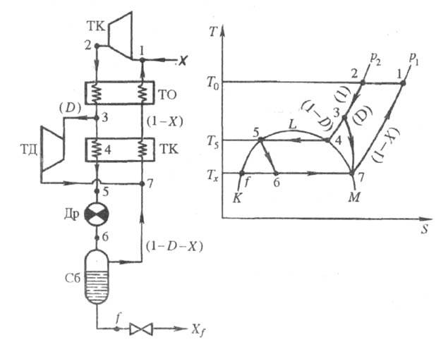
Установки с детандерными циклами. К этой группе обычно относят т. наз. рефрижераторные установки (хладагент циркулирует только внутри системы), в к-рых используются один или несколько (напр., два; рис. 12) детандеров на разных температурных уровнях, в т. ч. на самом нижнем. После изотермич. сжатия в компрессоре газ охлаждается в теплообменнике ТО1, из к-рого часть газа в кол-ве Dl отводится в детандер Д1, расширяется в нем и поступает в теплообменник ТО2 в качестве обратного потока. Оставшаяся часть газа в кол-ве D2 после охлаждения в теплообменниках ТО2 и ТО3 расширяется в детандере Д2; при этом в установке достигается наинизшая т-ра (Тх). При понижении т-ры охлаждаемого объекта от Т7 до Т6 рабочий газ подогревается от Т6 до Т7 и как обратный поток подается в теплообменник ТО3. Холодопроизводительность qx = D1hl + D2h2 + (i1 - i2), где h -разность энтальпий газа на входе в детандер и выходе из него. Термодинамич. эффективность реальных детандерных циклов зависит от Тх, однако достаточно высока ( hт = 0,2 - 0,4).
Установки с дросселированием и расширением в детандерах широко распространены для сжижения газов и получения холода на любых температурных уровнях (вплоть до неск. К). Число детандеров, к-рые могут работать параллельно или последовательно, изменяется от 1 до 4. Благодаря отводу теплоты на неск. температурных уровнях термодинамич. эффективность этих установок достаточно высока и достигает в цикле без потерь 75%. Циклы с одним детандером и дросселем используются для произ-ва О2, N2 и Ar (см. Воздуха разделение).
В зависимости от давления в системе различают циклы высокого (20 МПа), среднего (4-6 МПа) и низкого (0,6 МПа) давлений. В цикле высокого давления (цикл Гейланда) детандер работает на самом верх. температурном уровне (рис. 13). Кол-ва газа, направляемые в детандер и дроссель, примерно равны. Такая установка обладает наилучшими (по сравнению с установками среднего и низкого давлений) термодинамич. показателями (доля сжиженного газа X = 20%, коэф.
= 18%), однако не может обеспечить большой холодопро-изводительности, т. к. использует поршневые компрессоры и детандеры.
В цикле низкого давления детандер работает на самом низком температурном уровне (рис. 14). Кол-во газа, направляемого в детандер, составляет ок. 96%, в дроссель - лишь 4%. Энергетич. показатели подобных установок значительно хуже, чем для установок высокого давления (Х=6%,
12,5%). Однако в качестве детандеров и компрессоров применяют только турбомашины, что обеспечивает возможность переработки больших кол-в материальных потоков (до 300 тыс. м3/ч воздуха). Впервые цикл низкого давления осуществил П. Л. Капица, к-рый сконструировал высокоэффективный турбодетандер, способный работать на уровне - 100 К.
Рис. 13. Схема криогенной установки, работающей по циклу высокого давления.
Криогенные газовые машины нашли применение благодаря высокой компактности и эффективности. Наиб. распространены машины, работающие по идеальному холодильному циклу Стирлинга, а также по циклу Гиффорда - Мак-Магона. В холодильном цикле Стирлинга (рис. 15) два поршня движутся в цилиндре прерывисто со сдвигом по фазе. Между поршнями размещен регенератор Р, к-рый делит рабочую полость на теплую и холодную части. Газ изотермически сжимается (процесс 1-2), параллельным движением поршней изохорно перемещается через регенератор (процесс 2-3) и охлаждается до т-ры Тх. Затем за счет движения правого поршня газ расширяется, его т-ра снижается и or охлаждаемого тела к нему подводится теплота (процесс 3-4). Поршни параллельно сдвигаются влево, холодный газ изохорно перемещается через регенератор, охлаждая его, и процесс повторяется.
Одноступенчатые машины используют для получения холода на уровне 150-70 К и до 40 К при небольшой холодопроизводительности;
0,1,
= 20 - 42%. Более низких т-р достигают, применяя двухступенчатые машины
трехступенчатые машины обеспечивают Тх = 8,5 К.
Рис. 14. Схема криогенной установки, работающей по циклу низкого давления.
Рис. 15. Схема криогенной газовой машины, работающей по циклу Стирлинга.
В машинах, работающих по циклу Гиффорда - Мак-Магона, холод вырабатывается с помощью залпового выхлопа газа. Одноступенчатые машины используют для получения небольших кол-в холода на уровне до 35 К, а двухступенчатые - до 7 К. Коэф.
для этих машин меньше, чем для машин, работающих по циклу Стирлинга.
Из-за сложности аппаратурного оформления холодильные процессы трудно моделируются. Поэтому их исследования и испытания холодильного оборудования выполняют, как правило, не на лабораторных, а на стендовых (полупромышленных) и пром. образцах, реальных хладагентах и в условиях, максимально приближенных к эксплуатационным.
Установки на основе нетрадиционных методов получения холода
Наряду с рассмотренными выше существует также ряд иных перспективных, но еще недостаточно часто используемых методов, лежащих в основе функционирования холодильных установок.
Метод откачки паров криогенных жидкостей приводит к их существ. переохлаждению (напр., для жидкого О2 с т. кип. ~ 90,2 К до 54,361 К - т-ры тройной точки), а также позволяет получать разл. смеси льда и жидкости из одного и того же в-ва, напр. Н2. Метод десорбционного охлаждения заключается в изотермич. адсорбции активным углем рабочего газа (Не, Ne) с отводом теплоты процесса в жидкий Н2 (N2) и послед. адиабатич. десорбции газа, при к-рой т-ры хладагента и адсорбента снижаются: при Т0 = 14 К (т-ра начала десорбции) достигается охлаждение до Тх = 4 К (т-ра конца десорбции).
Метод, основанный на эффекте Пельтье, состоит в пропускании электрич. тока через контакт двух разнородных проводников; при изменении направления тока выделение теплоты сменяется ее поглощением, возможный перепад т-р
= 140 К, а коэф.
установки зависит от
Понижение т-ры также происходит: при взаимном растворении в-в (3Не в сверхтекучем 4Не); при тангенциальном вводе сжатого газа (воздуха) с большой скоростью в т. наз. вихревую трубу, в к-рой в результате сложного вихревого движения газ расслаивается на горячий и холодный потоки (эффект Ранка); в волновых криогенераторах, где в условиях установившегося движения газа осуществляется его волновое расширение с генерацией акустич. автоколебаний и отводом энергии в виде теплоты в спец. устройствах - резонаторах; при воздействии сильного магн. поля на помещенное в термостат парамагн. в-во с послед. адиабатным его размагничиванием (магнитокалорический эффект) и т. д.
Области применения холодильных процессов.
Холодильные процессы используют практически во всех областях науки, техники, произ-ва и в быту. Один из наиб. крупных потребителей холода - химико-лесной комплекс, для мн. произ-в к-рого и выполняемых науч. исследований диапазон низких т-р чрезвычайно широк: от т-ры окружающей среды до т-ры, близкой к абс. нулю. К числу химико-технол. процессов, проводимых с применением холода, относятся: абсорбция, адсорбция, кристаллизация из р-ров и расплавов, конденсация паров низкокипящих жидкостей, сжижение индивид. газов и разделяемых газовых смесей, сублимация-десублимация, жидкофазные (напр., галогенов с олефинами) и твердофазные (напр., полимеризация формальдегида) хим. р-ции и др. (см. также, напр., Вымораживание, Газов осушка, Газов разделение, Газов увлажнение, Газы природные горючие, Градирни, Криохимия, Сублимация, Сушка). Холодильные процессы наиб. распространены в произ-вах NH3, жидкого С12, О2, N2 и др. газов, хим. волокон, СК, синтетич. красителей, РТИ, высокооктановых бензинов, смазочных масел и парафина, при сжижении и осушке прир. газа, извлечении и осушке мономеров (напр., бутадиена) и их полимеризации (напр., изобугилена) и т. д.
Лит.: Щербин В. А., Гринберг Я. И., Холодильные станция и установки, М., 1979; Курылев Е. С., Герасимовы. А., Холодильные установки, 3 изд., Л., 1980; Орехов И. И., Обрезков В. Д., Холод в процессах химической технологии, Л., 1980; Беляков В. П., Криогенная техника и технология, М., 1982; Третьяков Ю.Д., Олейников Н.Н., Можаев А. П., Основы криохимической технологии, М., 1987; Архаров A. M., Марфенина И. В., Микулин Е. И., Криогенные системы. Основы теории и расчета, 2 изд., М., 1988.
Б. А. Иванов.