Теплоемкость
ТЕПЛОЕМКОСТЬ, кол-во теплоты, затрачиваемое для изменения т-ры на 1 °С. Согласно более строгому определению, теплоемкость-термодинамич. величина, определяемая выражением:

где DQ- кол-во теплоты, сообщенное системе и вызвавшее изменение ее т-ры на DТ. Отношение конечных разностей DQ/DТ наз. средней теплоемкостью, отношение бесконечно малых величин dQ/dT-истинной теплоемкостью. Поскольку dQ не является полным дифференциалом ф-ции состояния, то и теплоемкость зависит от пути перехода между двумя состояниями системы. Различают теплоемкость системы в целом (Дж/К), удельную теплоемкость [Дж/(г·К)], молярную теплоемкость [Дж/(моль·К)]. Во всех ниже приведенных ф-лах использованы молярные величины теплоемкости.
Из второго начала термодинамики следует, что теплоемкость пропорциональна производной от энтропии системы S по т-ре Т при постоянстве внеш. силы или термодинамич. координаты (обозначается индексом z):

Наиб. важными видами теплоемкости являются теплоемкость CV при постоянном объеме V и теплоемкость Ср при постоянном давлении р:
СV = (9U/9T)V = T(9S/9T)V, Ср = (9Н/9Т)р = Т(9S/9Т)р,
где U-внутр. энергия, H-энтальпия системы. Значения Ср и СV связаны соотношением:

где a = V-1(9V/9Т)р-коэф. термич. расширения, x = = — V-1(9V/9р)T-коэф. изотермич. сжимаемости. Поскольку по условиям устойчивости фаз Ср, CV > 0 и (9V/9р)T < 0, то согласно (3) Ср > CV. Это естественно, т. к. при изобарич. нагревании часть тепла, помимо увеличения внутр. энергии системы, идет на работу расширения. Для идеальных газов (9U/9V)T = 0 и учет ур-ния состояния pV= RT приводит к соотношению: Сp - CV = R (R-газовая постоянная). Из определений (1) и (2) следует, что для изотермич. процесса С = ,, для адиабатич. процесса С = 0.
Теплоемкость газов. Вычисление теплоемкости сводится к вычислению средней энергии теплового движения отдельных молекул, к-рое складывается из поступат. и вращат. движений молекулы как целого и из колебаний атомов внутри молекулы. Молярная теплоемкость одноатомного газа равна 3R/2 (по R/2 на каждую степень поступат. движения молекулы). теплоемкость многоатомного газа в общем случае м. б. представлена суммой вкладов от отдельных видов движения-поступательного, вращательного, колебательного.
Поступательная теплоемкость рассчитывается так же, как для одноатомного газа. Вращательная и в особенности колебательная теплоемкость должны, как правило, вычисляться на основе квантовой статистики. Согласно классич. статистике, вклады в молярную теплоемкость в расчете на одну степень свободы равны: для вращат. движения R/2, для колебат. движения R. Для большинства молекул при низких и средних т-рах колебат. степени свободы вырождены и не дают вклада в теплоемкость. Напр., теплоемкость двухатомного газа при обычных т-рах равна 5R/2. Лишь при достаточно высоких т-рах возбуждаются колебания определенной частоты.
Теплоемкость твердых тел. При низких т-рах теплоемкость одноатомных кристаллов пропорциональна кубу абс. т-ры (закон Дебая): СV ! Т3. При высоких т-рах СV стремится к предельному значению 3R, определяемому классич. теорией и не зависящему от природы атомов (правило Дюлонга и Пти). Значение 3R может, однако, не достигаться, если ранее происходит плавление в-ва или его разложение. Методами квантовой статистики доказывается равенство нулю теплоемкости любого тела при абс. нуле т-ры (CV : 0 при Т : 0). Если бы это было не так, энтропия системы, согласно (2), должна была бы обращаться в — , при T : 0, что противоречит третьему началу термодинамики (см. Тепловая теорема). Предельное значение СV = 3R достигается уже при обычных т-рах у металлов. Для нек-рых простых соед. с числом атомов в молекуле n предельное значение CV = 3nR [NaCl, MnS (n = = 2), РbСl2(n = 3) и др.].
Для кристаллич. твердых тел существует характеристич. т-ра qD, названная т-рой Дебая, разделяющая "классич. область" т-р Т
qD, в к-рой теплоемкость описывается законом Дюлонга и Пти, и "квантовую область" T
qD. Т-ра Дебая связана с предельной частотой колебаний атомов в кристал-лич. решетке и зависит от упругих постоянных в-ва (см. табл.).
У металлов вклад в значение СV дают электроны проводимости (электронная теплоемкость). Эта часть теплоемкости может быть вычислена на основе квантовой статистики Ферми, к-рой подчиняются электроны. Электронная теплоемкость пропорциональна т-ре в первой степени, однако ее вклад пренебрежимо мал при т-рах, когда велика "решеточная" теплоемкость (пропорциональная T3). Антиферромагнетики и ферримагнетики, обладающие упорядоченным расположением спиновых магн. моментов атомов, имеют дополнит. магн. составляющую теплоемкости, к-рая испытывает резкий подъем при т-ре фазового перехода в-ва в парамагнитное состояние (см. Кюри точка).
Методы определения теплоемкости индивидуальных веществ. Осн. эксперим. методом является калориметрия. Теоретич. расчет теплоемкости в-в осуществляется методами статистической термодинамики, но он возможен только для сравнительно простых молекул в состоянии идеального газа и для кристаллов, причем в обоих случаях для расчета требуются эксперим. данные о строении в-ва.
Эмпирич. методы определения теплоемкости в-в в состоянии идеального газа основаны на представлении об аддитивности вкладов отдельных групп атомов или хим. связей. Опубликованы обширные таблицы групповых атомных вкладов в значение Ср. Для жидкостей, помимо аддитивно-групповых, применяют методы, основанные на соответственных состояний законе, а также на использовании термодинамич. циклов, позволяющих перейти к теплоемкости жидкости от теплоемкости идеального газа через температурную производную энтальпии испарения.
Для р-ра вычисление теплоемкости как аддитивной ф-ции теплоемкости компонентов в общем случае некорректно, т.к. избыточная теплоемкость р-ра, как правило, значительна. Для ее оценки требуется привлечение молекулярно-статистич. теории р-ров (см. Растворы неэлектролитов). Экспериментально избыточная теплоемкость может быть определена по температурной зависимости энтальпии смешения, после чего возможен расчет Ср р-ра.
Теплоемкость гетерог. систем представляет наиб. сложный случай для термодинамич. анализа. На диаграмме состояния перемещение вдоль кривой равновесия фаз сопровождается изменением и р, и Т. Если в процессе нагрева происходит смещение точки фазового равновесия, то это дает дополнит. вклад в теплоемкость, поэтому теплоемкость гетерог. системы не равна сумме теплоемкостей составляющих ее фаз, но превосходит ее. На фазовой диаграмме при переходе от гомог. состояния к области существования гетерог. системы теплоемкость испытывает скачок (см. Фазовые переходы).
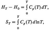
Практическое значение исследований теплоемкости важно для расчетов энергетич. балансов процессов в хим. реакторах и др. аппаратах хим. произ-ва, а также для выбора оптим. теплоносителей. Эксперим. измерение теплоемкости для разных интервалов т-р-от предельно низких до высоких-является осн. методом определения термодинамич. св-в в-в. Для расчета энтальпий и энтропии в-ва (в интервалах от 0 до Т) используют интегралы от теплоемкости.:

к к-рым добавляютсясоответствующие эффекты фазовых переходов. Знание теплоемкости реагентов в нек-ром интервале т-р позволяет осуществить расчет теплового эффекта р-ции (см. Кирхгофа уравнение), а знание теплоемкости р-ров-рассчитать их термодинамич. св-ва при любой т-ре в пределах исследованного интервала.
Особо следует подчеркнуть роль теплоемкости в структурных исследованиях индивидуальных в-в в конденсир. состоянии и р-ров. Величины, являющиеся второй производной потенциалов Гиббса или Гельмгольца по параметрам состояния (а теплоемкость относится к таковым), весьма чувствительны к структурным изменениям системы. В твердых телах и сплавах при фазовых переходах 2-го рода типа порядок - беспорядок наблюдаются l-образные скачки теплоемкости. В жидкостях такие скачки имеют место вблизи критич. точек равновесия жидкость-газ и жидкость-жидкость (см. Критические явления). В жидкости, напр., при нагр. часть энергии может идти не на возбуждение новых степеней свободы молекул, а на изменение потенц. энергии взаимодействующих молекул. Этот вклад наз. "конфигурационной" теплоемкостью; она связана с характером мол. упорядочения в жидкостях и р-рах. В биохимии политермич. измерения теплоемкости дают информацию о структурных переходах в белках.
Лит.: Рид Р., Праусниц Дж., Шервуд Т., Свойства газов и жидкостей, пер. с англ., 3 изд., Л., 1982; Шульц М. М., Филиппов В. К., "Ж. Весе. хим. об-ва им. Д.И. Менделеева", 1982, т. 27, с. 485-94; Панов М.Ю., Белоусов В. П., в сб.: Химия и термодинамика растворов, в. 5, Л., 1982, с. 56-87; Термодинамические свойства индивидуальных веществ, под ред. В. П. Глушко, 3 изд., т. 1-4, М., 1978-82; Experimental thermodynamics, ed. by J. P. McCullough, D. W. Scott, v. 1, N. Y. - L., 1968. M. Ю. Панов.