Компрессорные машины

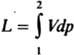
КОМПРЕССОРНЫЕ МАШИНЫ, применяют гл. обр. для перемещения и сжатия газов, а также их сжижения, охлаждения и др. Перемещение газа осуществляется под действием разности давлений на двух участках потока в замкнутых каналах (трубопроводах, газоходах и т.д.) или без них. В последнем случае перемещение газов наз. вентиляцией. Необходимая разность давлений определяется требуемой скоростью газового потока и допускаемым гидравлич. сопротивлением системы, возникающим при движении газа по трубопроводу. Перепад давлений, обеспечивающий перемещение газов, достигается с помощью их сжатия, или компримирования. Конечное давление при сжатии зависит от условий теплообмена газа с окружающей средой. Согласно теории, газ может сжиматься изотермически или адиабатически. При изотермич. сжатии вся расходуемая энергия превращ. в теплоту, к-рая полностью отводится в окружающую среду. При адиабатич. сжатии теплообмен с ней отсутствует и вся выделяющаяся теплота затрачивается на возрастание внутр. энергии газа и повышение его т-ры. Действит. процесс сжатия - политропический и рассматривается как совокупность последоват. изменений равновесных состояний газа. При этом изменяется его т-ра и часть теплоты отводится в окружающую среду. Реальный процесс компримирования приближенно описывается ур-нием политропы: pVn=const, где р, V-соотв. давление газа и его уд. объем, n-параметр (показатель политропы), определяемый св-вами, кол-вом газа и его теплообменом с окружающей средой, а также работой сил трения. Показатель n обычно переменен, поэтому такой процесс принято заменять условным, к-рый эквивалентен действительному с n=const. Работа L, затрачиваемая на повышение давления газа массой 1 кг в компрессорной машине любого типа, равна сумме работ сжатия (L) и перемещения газа: L=L+Lвыт+Lвх, где Lвыт и Lвх - работы, совершаемые соотв. после сжатия при вытеснении газа из рабочих полостей машины и при входе газа в них. В общем случае
441_460-1.jpg , 441_460-2.jpg
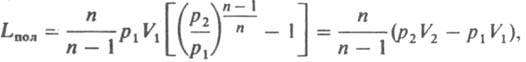
а при политропич. сжатии идеального газа где V1 и V2 - уд. объем газа соотв. до и после машины, p1 -начальное давление, или давление всасывания, р2 - конечное давление, или давление нагнетания. Т-ра газа в конце политропич. сжатия Т2=Tl(p2/pl)(n-l)/n. Теоретически наиб. выгодно изотермич. сжатие, поскольку при этом затраты энергии компрессорной машины на уменьшение уд. объема и перемещение газа минимальны. Однако полное изотермич. сжатие практически неосуществимо и для приближения к нему сжимаемый газ в ряде случаев охлаждают, понижая т-ру стенок рабочих полостей машины. В зависимости от величины повышения давления (отношение р21, устар. - степень сжатия) компрессорные машины подразделяют на вентиляторы, газодувки и компрессоры.
Вентиляторы (p2/p1<1,1) применяют в системах пром. вентиляции (см. Охрана труда), тягодутьевых (см. Градирни), пневмотранспортных (см. Пневмо- и гидротранспорт) и др. установках. В соответствии с величиной р2 различают машины низкого (до 1 кПа), среднего (1-3 кПа) и высокого (до 15 кПа) давления. Вентиляторы м. б. одно- и многоступенчатые, одно- и двустороннего всасывания, горизонтальные и вертикальные (по положению оси рабочего органа - колеса в виде барабана либо пропеллера с про-филир. лопатками). По направлению потока газа в колесе вентиляторы бывают радиальные, осевые, диаметральные и диагональные (рис. 1). В радиальных, или центробежных, машинах газ
Вентиляторы
Рис. 1. Вентиляторы: а - радиальный: п осевой; в диаметральный; г диагональный; l - рабочее колесо; 2 - корпус.

через направляющий аппарат всасывается вдоль оси вращения колеса в каналы между его лопатками. При вращении колеса под действием центробежной силы газ перемещается по спиральному корпусу и удаляется по направлению радиуса в выпускное отверстие, создавая на выходе избыточное давление. В осевых вентиляторах газ проходит вдоль оси, не изменяя направления; в диаметральных машинах газ пересекает колесо по диаметру; в диагональных (прямоточных) вентиляторах газ с лопаток поступает по диагонали в кольцевой кожух, из к-рого выходит в осевом направлении. наиб. распространены радиальные и осевые вентиляторы. Последние проще в изготовлении, менее металлоемки, чем центробежные машины, однако развивают меньшее давление. Их целесообразно применять в коротких газопроводящих системах для подачи больших объемов газа при малом напоре. В разветвленных сетях (напр., пром. вентиляции) обычно используют центробежные машины. Осн. показатели (давление, производительность, мощность, кпд) работы вентиляторов, как и других компрессорных машин, находят путем расчета вентиляционных либо иных систем и по спец. графикам. Нормальная эксплуатация вентиляторов определяется условиями их работы. Напр., при значит. колебаниях расхода и давления воздуха затруднительно обеспечить устойчивое функционирование вентиляц. сети с помощью одной машины, поэтому соединяют параллельно либо последовательно неск. вентиляторов. В случае необходимости существенно увеличить при постоянном давлении производительность машин применяют их параллельное соединение, для значит. повышения давления при той же производительности - последовательное.
Газодувки, или нагнетатели (1,1<р21< 3,5), создают давление от 0,015 до 0,115 МПа и используются для пневмотранспорта, при рециркуляции горячих газов в сушилках и топочных газов в печах, для предварит, сжатия воздуха или его смеси с топливом (т. наз. наддув) перед подачей в двигатели внутр. сгорания и др. К газодувкам относятся также вакуум-насосы (см. Насосы) и эксгаустеры. Последние характеризуются большой производительностью и применяются для отсасывания газов, напр. пыльного воздуха, из производств. помещений; газ всасывается при пониж. давлении, сжимается до давления, равного атмосферному либо превышающего его, и выбрасывается в атмосферу.
Компрессоры (p2/p1>3,5) применяют для перемещения по трубопроводам сжимаемых при охлаждении газов, перемешивания и распыливания жидкостей, увеличения степени превращ. исходных в-в и т. п. Эти машины подразделяют на вакуумные (начальное давление ниже атмосферного, т. е. p1<0,115 МПа), низкого (р2=0,115-1 МПа), среднего (1-10 МПа), высокого (10-100 МПа) и сверхвысокого (св. 100 МПа) давления. Компрессоры бывают одно- и многоступенчатые, одно- и многосекционные (секция-единичная ступень либо группа ступеней, после к-рой газ отводится в холодильник или направляется потребителю). Прочностная характеристика ступени либо секции, конструктивные особенности предохранительных и др. клапанов и применяемые материалы определяются рабочим давлением, размеры ступени (напр., диаметр рабочего органа - цилиндра, колеса и т.п.) - производительностью Q, или объемом газа, перемещаемого машиной в единицу времени. Компрессорная установка кроме собственно компрессора с приводом включает межступенчатую и концевую теплообменную аппаратуру, влагомаслоотделители, трубопроводы, а также контрольно-измерит. приборы, ср-ва защиты (вибрационной, акустической и т. д.) и автоматики. По принципу сжатия различают объемные и динамич. компрессоры. В первом случае компримирование происходит вследствие периодич. уменьшения объема, занимаемого газом, во втором - в результате непрерывного ускорения потока газа с преобразованием подводимой к нему внеш. энергии последовательно в кинегич. энергию потока и в потенциальную (давление). Объемные компрессоры по виду рабочего органа делятся на поршневые, мембранные и роторные (ротационные). В поршневых компрессорах (рис. 2) газ сжимается в замкнутом пространстве (цилиндре) поршнем, совершающим возвратно-поступат. движение с помощью кривошипно-шатунного механизма. Выпускают одно- и многоцилиндровые машины, причем в зависимости от расположения цилиндров различают горизонтальные, вертикальные и угловые компрессоры. Горизонтальные машины, в к-рых цилиндры размещены по одну сторону коленчатого вала, наз. односторонними, по обе стороны-оппозитными. Последние отличаются большей частотой вращения вала (что позволяет повышать производительность), меньшими массой и габаритными размерами, чем односторонйие машины. Вертикальные компрессоры по сравнению с горизонтальными занимают меньшую площадь, а фундамент, воспринимающий вертикальные нагрузки, имеет меньшую массу. Угловые компрессоры в зависимости от расположения цилиндров по отношению к оси вала м. б. V- и W-образные, а также прямоугольные; эти машины получили значит. распространение
Поршневые компрессоры
благодаря ряду преимуществ перед горизонтальными и вертикальными компрессорами: лучше уравновешены (поэтому требуется менее массивный фундамент), компактны и имеют меньшую массу. Поршневые компрессоры применяют для сжатия (р2=3-300 МПа) газов низкой плотности при Q=10-300 м3/мин; недостатки: загрязнение газов маслами, используемыми для смазки цилиндров, большие габаритные размеры, необходимость установки на массивных и дорогостоящих фундаментах, неравномерность подачи газа. В мембранных компрессорах, к-рые по типам (горизонтальные, угловые и т.п.) не отличаются от поршневых, газ компримируется в результате уменьшения объема камеры сжатия при колебаниях мембраны, вызываемых возвратно-поступат. движением гидропривода. При прогибе мембраны происходит всасывание и нагнетание газа, к-рый интенсивно охлаждается вследствие развитой пов-сти мембраны и иногда - посредством змеевика с холодной водой, что обеспечивает высокое отношение р21 в одной ступени. Так, в трехступенчатом компрессоре создается давление 100 МПа. При перемещении мембраны достигаются герметизация рабочей полости машины и возможность получать на выходе газ высокой чистоты. Поэтому такие компрессоры используют для сжатия обычно до 10-50 МПа, напр., кислорода, хлора и фтора при Q = 1-50 м3/мин. В роторных компрессорах уменьшение объема газа осуществляется одним или неск. вращающимися роторами. По конструкции рабочих полостей эти машины подразделяются на пластинчатые, жидкостнокольцевые, винтовые и др. Пластинчатые компрессоры (рис. 3) состоят из корпуса,
Пластинчатый компрессор
Рис. 3. Пластинчатый компрессор: 1 - корпус; 2 ротор; 3 - пластина; 4 камера сжатия; 5 - охлаждающая рубашка; 6. 7 - всасывающий и нагнетательный патрубки.

внутри к-рого на горизонтальном валу вращается эксцентрично расположенный ротор с продольными пазами и вставленными в них свободно скользящими пластинами. При вращении ротора пластины под воздействием центробежной силы выталкиваются из пазов и разделяют пространство между корпусом и ротором на ряд камер. Объем последних при вращении ротора непрерывно уменьшается по направлению от всасывающего патрубка к нагнетательному, через к-рый вытесняется газ, сжатый в камерах. В компрессорах с жидкостным кольцом внутри цилиндрич. корпуса вращается эксцентрично размещенный ротор, снабженный жестко закрепленными лопатками. Корпус машины примерно наполовину заполняется жидкостью, к-рая при движении ротора отбрасывается лопатками к стенкам корпуса, образуя на его внутр. пов-сти вращающееся кольцо. В результате между ним и лопатками образуются камеры разного объема, к-рый непрерывно уменьшается, вследствие чего газ, засасываемый через отверстие в крышке корпуса, сжимается и выталкивается в нагнетат. патрубок. Рабочей жидкостью, как правило, служит вода (такие машины наз. водокольцевыми), реже масло, ртуть, серная или др. к-ты. Несмотря на то что эти компрессоры имеют более низкий кпд, чем пластинчатые, они нашли широкое применение благодаря простоте устройства, малому износу, надежности действия и возможности компримирования запыленных газов. В винтовых компрессорах (рис. 4) рабочие камеры образуются корпусом и двумя винтообразными роторами, связанными между собой парой цилиндрич. шестерен и имеющими зубья разл. профиля. При вращении ведущего ротора его зубья входят в зацепление с зубьями на ведомом роторе и вытесняют находящийся в камерах сжатый газ, перемещая
Винтовой компрессор
Рис. 4. Винтовой компрессор: 1 - корпус; 2, 3 - ведущий и ведомый винтовые роторы; 4 - шестерни.

его в продольном направлении. Различают машины сухого сжатия (газ охлаждают с помощью водяных рубашек, расположенных в корпусе) и маслозаполненные (для охлаждения газа в рабочие полости винтов впрыскивают масло). Достоинства винтовых компрессоров: быстроходность, компактность, чистота подаваемого газа; недостатки:
Центробежный компрессор
Рис. 5. Центробежный компрессор: 1 - корпус (улитка): 2 - рабочее колесо: 3 - вал; 4 - устройство для торможении потока газа и повышения давления (диффузор); 5 - направляющий аппарат; 6, 7 - всасывающий и нагнетательный патрубки.

сложность изготовления винтообразных роторов, высокий уровень шума при работе. Типичные показатели роторных машин: Q = 1-100 м3/мин, р2=0,3-1 МПа. Динамич. компрессоры по принципу действия подразделяются на турбинные (турбокомпрессоры) и струйные. В турбокомпрессорах поток газа ускоряется в результате контакта его с лопатками вращающегося рабочего колеса. наиб. распространены радиальные и осевые машины.
Осевой компрессор
Рис. 6. Осевой компрессор: 1, 2 - статор и его лопатки; 3, 4 ротор и его лопатки; 5, 6 - Направляющий и спрямляющий аппараты; 7 - диффузор; 8, 9 - всасывающий и нагнетательный патрубки.

Радиальные турбокомпрессоры, в к-рых газ движется от центра колеса к периферии, наз. центробежными (рис. 5), в обратном направлении - центростремительными. Центробежные машины, в к-рых давление создается под действием центробежных сил, возникающих во вращающемся газовом потоке, м.б. с горизонтальным (развивают избыточное давление до 7 МПа) или с вертикальным (до 35 МПа) разъемом корпуса и имеют производительность до 600 м3/мин и выше. Для обеспечения производительности 1500 м3/мин и более наряду с центробежными применяют осевые компрессоры (рис. 6). Осн. частями такой машины служат ротор и корпус-статор, снабженные лопатками. При вращении ротора газ перемещается вдоль оси машины, причем кинетич. энергия потока превращ. в энергию давления одновременно на лопатках ротора и статора; кроме того, статорные лопатки образуют своеобразное направляющее устройство, по каналам к-рого сжатый газовый поток через спец. спрямляющий аппарат и выходной патрубок поступает в напорный трубопровод. Осевые компрессоры имеют более высокий кпд, меньшие массу и габаритные размеры, чем машины с радиальным потоком. Осн. достоинства турбокомпрессоров: большой срок службы и высокая надежность работы; сжатие газов без загрязнения смазочными материалами; непрерывность подачи газа; малая металлоемкость; достаточно высокий кпд; возможность использования легких фундаментов вследствие небольшой вибрации. Благодаря этим достоинствам, а также высокой производительности турбокомпрессоры находят в последнее время все большее применение в крупнотоннажных произ-вах, напр., аммиака, метанола, азотной к-ты. В струйных компрессорах (инжекторах) ускорение газа происходит в результате смешения потоков разных уд. энергий. При этом газ низкого давления сжимается до промежуточного за счет кинетич. энергии газа, подаваемого под высоким давлением. Вследствие компактности, простоты устройства и надежности эксплуатации струйные машины часто экономически целесообразно использовать, несмотря на невысокий кпд (обычно 0,2-0,25), напр., в качестве тепловых насосов в выпарных установках (см. Выпаривание). Тип компрессора выбирается в соответствии с производительностью и требуемым давлением (рис. 7). В хим. пром-сти часто комбинируют разл. машины, напр. последовательно устанавливают центробежные и поршневые компрессоры. Сравнение характеристик работы машин разных типов примерно одинаковой производительности показывает, что поршневые компрессоры значит. более экономичны, чем остальные машины, но уступают им по металлоемкости и надежности. Два наиб. важных типа компрессоров - поршневые и турбокомпрессоры-скорее не конкурируют, а дополняют друг друга, причем в каждом конкретном случае оптимально применение того или иного типа машин в зависимости от сочетания условий функционирования (показателя политропы, плотности, влажности, агрессивности и степени загрязнения газов, стоимости машин и др.). Однако турбокомпрессоры предпочтительнее использовать при Q=900 м3/мин и выше. Роторные компрессоры занимают промежут. положение между поршневыми и центробежными. При Q=60-90
Применение компрессоров
Рис. 7. Области применения компрессоров: 1-3 -поршневых (соотв. вертикальных, оппозитных и угловых W-образных); 4 - центробежных; 5 - осевых; 6, 7 - роторных (соотв. жидкостнокольцевых и пластинчатых).

м3/мин сжатый газ, не загрязненный маслом, получают с помощью роторных, в частности винтовых, машин. При Q = 12-60 м3/мин целесообразно применять поршневые компрессоры, потребляющие меньшую уд. мощность, чем роторные. Особую группу компрессорных машин составляют компрессоры холодильных установок (см. Холодильные процессы), или холодильные компрессоры. Последние предназначены для сжатия паров холодильных агентов (хладонов, аммиака, пропана, этана, этилена, метана и т.д.) до давления конденсации и для их циркуляции. Осн. типы этих компрессоров: поршневые, роторные (винтовые) и центробежные. Конструктивно они не отличаются от рассмотренных выше, однако их конфигурация, масса, габаритные размеры и прочностные характеристики определяются св-вами холодильных агентов.

Литература
Рахмилевич 3. 3., Мыслицкий Е. Н., Хачатурян С. А., Компрессорные установки в химической промышленности, М., 1977; Киселев Г.Ф., Компрессоры крупнотоннажных агрегатов производства аммиака. М., 1979; Холодильные компрессоры. Справочник, М., 1981; Рахмилевич 3. 3 . Радзин И.М., Фармазов С. А., Справочник механика химических и нефтехимических производств, М., 1985. 3. 3. Рахмилевич.