Теплообмен
ТЕПЛООБМЕН, самопроизвольный необратимый перенос теплоты (точнее, энергии в форме теплоты) между телами или участками внутри тела с разл. т-рой. В соответствии со вторым началом термодинамики теплота переносится в направлении меньшего значения т-ры. В общем случае перенос теплоты может вызываться также неоднородностью полей иных физ. величин, напр. градиентом концентраций (т. наз. диффузионный термоэффект). Теплообмен существен во мн. процессах нагревания, охлаждения, конденсации, кипения, выпаривания, кристаллизации, плавления и оказывает значит. влияние на массообменные (абсорбция, дистилляция, ректификация, сушка и др.) и хим. "процессы.
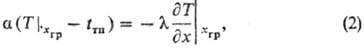
Движущиеся среды, участвующие в теплообмене и интенсифицирующие его, наз. теплоносителями (обычно капельные жидкости, газы и пары, реже-сыпучие материалы). Известны два осн. способа проведения тепловых процессов: путем теплоотдачи и теплопередачей. Теплоотдача-теплообмен между пов-стью раздела фаз (чаще твердой пов-стью) и теплоносителем. Теплопередача-теплообмен между двумя теплоносителями или иными средами через разделяющую их твердую стенку либо межфазную пов-сть.
Механизмы переноса теплоты. Различают три разных механизма распространения теплоты: теплопроводность, конвективный и лучистый перенос.
Теплопроводность-перенос энергии от более нагретых участков тела к менее нагретым в результате теплового движения и взаимод. микрочастиц (атомов, молекул, ионов и др.). В чистом виде теплопроводность может встречаться в твердых телах, не имеющих внутр. пор и в неподвижных слоях жидкостей, газов или паров. Кол-во переносимой теплопроводностью энергии, определяемое как плотн. теплового потока qт[Вт/(м2 · К) ], пропорционально градиенту т-ры (закон Фурье):
qт= -lgrad T,
где l-коэф. теплопроводности в-ва, характеризующий его способность проводить теплоту, Вт/(м·К); знак минус указывает направление переноса теплоты в сторону снижения т-ры.
Закон Фурье получен в рамках модели идеального газа, при этом для газов и паров l пропорционален длине своб. пробега молекул и средней скорости их теплового движения. Для жидкостей и твердых тел указанный закон является феноменологическим, а значения l находятся экспериментально. Наим. l имеют газы и пары [0,01-0,15 Вт/(м·К)], наиб, l-металлы (10-500); теплоизоляц. материалы и жидкости-0,03-3. С повышением т-ры теплопроводность жидкостей, за исключением воды, уменьшается, а для всех др. тел увеличивается.
Конвективный перенос теплоты-перенос физ. теплоты перемещающихся нагретых жидкостей, газов, паров или их смесей, а также дисперсных сыпучих материалов. В наиб. распространенном случае, когда существен лишь перенос внутр. энергии, а переносом мех. и потенциальных видов энергии можно пренебречь, плотность теплового потока за счет конвективного переноса составляет:
qт= wrCT,
где w- вектор скорости текучей среды; r, С, Т-плотность, теплоемкость и т-ра среды.
В большинстве случаев значения w, r, С и Т потоков теплоносителей таковы, что в направлении движения конвективный перенос преобладает над теплопроводностью. Однако при малых скоростях течения высокотеплопроводных жидкостей (расплавов металлов) может наблюдаться обратное соотношение. По мере приближения к твердой пов-сти, где скорость вязких жидкостей стремится к нулю, qт и qк также становятся сравнимы по величинам. При ламинарном режиме течения в направлении, поперечном движению, конвективный перенос отсутствует. Турбулентному режиму течения свойствен специфич. вид переноса теплоты, физически отвечающий конвективному, а по форме записи -теплопроводности:
qтб = -lтбgrad T,
где lтб-коэф. турбулентной теплопроводности потока, пропорциональный средним значениям длины своб. пробега и скорости пульсац. перемещения турбулентно-пульсирующих объемчиков среды. При развитой турбулентности обычно lтб
l и соотв. qтб
qт; исключение составляют зоны потока, прилегающие к твердой пов-сти, где турбулентность затухает и интенсивность турбулентного переноса уменьшается. В отличие от l величина lтб не является теплофиз. св-вом в-ва, а зависит от характера турбулентности.
Лучистый перенос теплоты (радиационный теплообмен, теплообмен излучением)-совокупные процессы излучения электромагн. волн пов-стями твердых или жидких тел, либо объемами газов и паров, распространения этого излучения в пространство между телами и его поглощения пов-стями или объемами др. тел. Практически для лучистого теплообмена наиб. важен инфракрасный диапазон спектра (длины волн 0,8-40 мкм).
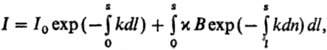
Интенсивность I монохроматич. лучистого потока в среде, способной излучать и частично поглощать электромагн. колебания, для единицы телесного (пространственного) угла имеет вид:

где I0-интенсивность лучистого потока, входящего в рассматриваемый объем по направлению l; В-собственное уд. излучение среды; k и x-уд. коэффициенты ослабления и собств. излучения в-ва, отнесенные к единице расстояния в направлении l; s- расстояние от места входа лучистого потока до рассматриваемой произвольной точки. Первое слагаемое для I учитывает поглощение входящего внеш. излучения I0, а второе-поглощение собств. излучения среды. Полное значение плотности лучистого потока, поступающего в данную точку пространства по всем направлениям и по всему диапазону частот, определяется интегрированием выражения для I по пространств. углу W в пределах 0-4 p и по частотам от 0 до , с учетом зависимостей коэффициентов k и к от частоты излучения w (здесь и далее, напр., для координаты х):

и т.д. Общий вектор лучистого потока qp определяется суммой его проекций на координатные оси.
В отличие от локальных законов переноса теплоты теплопроводностью и конвекцией закон лучистого переноса имеет интегральный характер. Кроме того, теплообмен излучением может происходить без наличия в-ва среды ( в вакууме).
Уравнение распространения энергии. Основа анализа процессов теплообмена -закон сохранения энергии, согласно к-рому скорость изменения кол-ва теплоты в произвольной точке в момент времени т равна разности между входящими в точку и выходящими из нее кол-вами Теплоты с добавлением возможного источника теплоты qV:

Внутр. тепловыделение м. б. обусловлено хим. р-цией, фазовыми переходами, прохождением электрич. тока, работой против сил вязкого трения в потоке; при наличии турбулентного переноса под знак дивергенции div добавляется qтб.
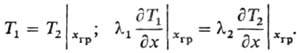
В соответствии с конкретной задачей ур-ние (1) дополняется условиями однозначности. Начальные условия обычно фигурируют как известное распределение искомого температурного поля в начальный момент времени т: T|т=0 = = Т(х, y, z). Условиями на к.-л. границе хrр рассматривавмого объема тела (чаще всего на внеш. границе или в центре) м. б. известные значения т-ры
или производной от нее а также условия конвективной теплоотдачи от (к) наружной пов-сти объема:

где a-коэф. теплоотдачи, определяющий интенсивность теплообмена между твердой пов-стью и текучей средой (теплоносителем) с т-рой tтп. Наконец, еще один вид условий реализуется на границе контакта двух сред, где должны быть одинаковы их т-ры и потоки теплоты:

Теплопроводность в твердых телах. Различают теплопроводность в стационарных и нестационарных условиях.
Стационарная теплопроводность. Во внутр. точках т-ра тела во времени не изменяется, но является ф-цией пространств. координат. В отсутствие конвективного и лучистого теплообмена внутри тела при l = const и 9Т=0 ур-ние (1) принимает вид:

где
-оператор Лапласа.
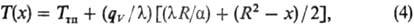
Решения ур-ния (3) наиб. просты для одномерных задач. Так, для симметричной задачи при равномерном тепловыделении в теле плоской формы распределение т-ры в поперечном направлении оказывается параболическим:

где R-полутолщина плоской стенки.
При qV = О распределение т-ры поперек плоской стенки описывается линейной зависимостью:

где tтп1, tтп2 и a1, a2 -т-ры сред и коэф. теплоотдачи по обе стороны стенки; l и d-коэф. теплопроводности и толщина стенки; l/a1 и 1/a2-т. наз. термич. сопротивления переносу теплоты со стороны одной и другой сред; d/l-термич. сопротивление стенки. Плотность теплового потока через стенку:

Знаменатели в ур-ниях (5) и (6) определяют общее термич. сопротивление теплообмену.
Для цилиндрич. и сферич. стенок распределение т-ры подчиняется соотв. логарифмич. и гиперболич. законам. Получены решения для тел иных форм, встречающихся в пром. практике. Найдены нек-рые решения для случаев l = var, напр. для плотности теплового потока поперек плоской стенки:

где ТF1 и TF2-т-ры пов-стей F стенки; среднее значение коэф. теплопроводности

Более сложные задачи стационарной теплопроводности, в т.ч. для неодномерных тел, м.б. решены численными методами.
Нестационарная теплопроводность связана с определением скоростей изменения температурных профилей внутри нагреваемых (охлаждаемых) тел. При постоянстве коэф. температуропроводности а = l/(Cr) (м2/с), определяющего теплоинерционные св-ва в-ва по отношению к скорости изменения в нем температурного поля, ур-ние для нахождения нестационарных профилей т-ры тел, внутри к-рых отсутствуют конвективный и лучистый теплообмен, имеет вид:

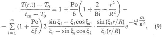
При qV = const в условиях, напр., симметричной конвективной теплоотдачи (см. ниже) от тела шаровой формы решением ур-ния (8) является выражение:

где xi-корни трансцендентного ур-ния; tgx = x|(1 - Bi); Bi = aR/l-число Био (см. Подобия теория); Ро = qVR2/ /[l(tтп — Т0)]; Т0-равномерная начальная т-ра тела радиусом R; т и r-текущее время процесса и радиус внутр. шара. Средняя по его объему т-ра вычисляется интегрированием:

Стационарное распределение т-ры получается из решения (9) при т : ,. При qV = 0 из ур-ния (9) следует решение задачи о нагреве (охлаждении) шара без внутр. источника (стока) теплоты.
Известны многочисл. решения задач нестационарной теплопроводности для тел разл. формы при переменных внеш. условиях, с продвижением границы фазового перехода и т. д. Если аналит. методы не приводят к результату, используют численные расчеты, в к-рых м. б. учтены переменные тепло-физ. св-ва в-в; однако численные решения не обладают общностью и компактностью аналит. методов.
Конвективная теплоотдача (конвективный теплообмен). Согласно осн. ур-нию конвективной теплоотдачи, плотность теплового потока между стенкой и осн. массой теплоносителя записывается в виде: q = a (TF — tm). По физ. смыслу a-величина, обратная термич. сопротивлению теплоотдачи, и сложным образом зависит от гидродинамич. обстановки вблизи стенки, размеров и формы ее пов-сти, теплофиз. св-в теплоносителя и т.п. Значит. доля исследований в области теплообмена посвящена определению a для разл. случаев теплоотдачи. При этом широко используют безразмерную запись a в форме критерия (числа) Нуссельта: Nu = a//lгп, где l-характерный размер для потока теплоносителя и lгп-коэф. его теплопроводности.
Различают теплоотдачу: при вынужденном движении теплоносителя с известной или легко вычисляемой скоростью; при естественной (свободной) конвекции, происходящей за счет разности плотностей нагретых и холодных слоев теплоносителя в поле силы тяжести, когда скорость движения теплоносителя является ф-цией процесса; при конденсации паров на охлаждаемой пов-сти и при кипении жидкого теплоносителя на обогреваемой пов-сти.
Теоретич. анализ конвективной теплоотдачи затруднителен вследствие необходимости совместного решения диф-ференц. ур-ний гидродинамики и теплообмена; исключение составляет лишь ограниченное число приближенных аналнт. решений для нек-рых простых течений. Основа получения данных об интенсивности теплоотдачи-эксперим. исследования. Их результаты обычно представляют в обобщенных переменных, имеющих смысл критериев подобия. Структура отдельных критериев, их физ. сущность и необходимый набор определяются методами теории подобия из ур-ний, описывающих конкретный вид теплоотдачи.
Для ламинарного потока внутри труб, т.е. закрытых каналов (число Re < 2,3·103), критериальная зависимость может иметь вид:

где Nii = a'dэкв/lтп; Re = wdэкв/v; Pr=v/а и PrF = (v/a)F-число Прандтля при средней т-ре потока и т-ре пов-сти TF; Gr = gdэквbDt/v2 - число Грасгофа, учитывающее влияние естеств. конвекции; w- скорость вынужденного движения; v, b-коэф. кинематич. вязкости и объем термич. расширения теплоносителя; Dt = TF — tтп; a'-коэф. теплоотдачи, усред-ненный по всей пов-сти канала длиной L и эквивалентным диаметром dэкв = 4П/S; П и S-периметр и поперечное сечение канала; hl-коэф., учитывающий влияние входного, нестабилизир. участка канала (при L/dэкв > 50 коэф. hl ! 1, при L/dэкв<50 коэф. hl возрастает до 1,9); g-ускорение свободного падения. Точность корреляц. соотношений типа (10) обычно не превышает b 15%, что свидетельствует о трудностях учета всех факторов, влияющих на теплоотдачу.
Для широко распространенных случаев турбулентного режима течения теплоносителей (Re > 104) можно использовать аппроксимацию:
Nu = 0,021Re0,8Pr0,43(Pr/PrF)0,25hl,
в к-рой пренебрегают влиянием естеств. конвекции.
При конденсации насыщ. пара интенсивность теплоотдачи зависит от толщины и теплопроводности пленки конденсата, стекающего по охлаждаемой пов-сти под действием силы тяжести. Для ламинарного режима движения конденсата справедливо соотношение:
Nu= 1,13 (Ga Pr K)0,25,
где Ga = gL3Dr/(rv2)-число Галилея; К = rк/(СкDt)-критерий фазового превращения; L-вертикальный размер пов-сти; Dr- разность плотностей конденсата и пара; rк-уд. теплота конденсации; Ск- теплоемкость конденсата; Dt-разность т-р насыщ. пара и теплообменной пов-сти.
При чисто естеств. конвекции из критериальных соотношений для Nu исключается число Re, в к-рое входит скорость w:
Nu = A(GrPr)n,
где корреляц. коэф. А и n = от 1/8 до 1/3 зависят от диапазона изменения GrPr.
Кипение жидкостей сопровождается образованием на пов-сти теплообмена большого числа паровых пузырей, их послед. ростом, отрывом и вертикальным всплыванием через слой кипящей жидкости; это интенсифицирует теплоотдачу, если пузыри не успевают сливаться около пов-сти в сплошную паровую пленку. На практике в пленочном режиме не работают, т. к. при этом значения a уменьшаются в 20-30 раз по сравнению с развитым пузырьковым режимом кипения; для последнего имеются корреляц. соотношения, к-рые учитывают разл. факторы, определяющие интенсивность теплоотдачи. Такие соотношения показывают влияние на a значений q от греющей стенки и давления р; от физ. св-в жидкости и ее паров зависит коэф. А в степенной аппроксимации вида:
a=Apmqn,
где для воды и нек-рых др. жидкостей m = 0,4 и n = 0,7.
Лучистый теплообмен становится сравнимым (по величине) с конвективным и теплопроводностью обычно при т-рах выше 600-650 °С. Пов-сти твердых и жидких тел обладают непрерывными спектрами излучения во всем диапазоне длин волн; газы и пары излучают всем объемом отдельные полосы спектра разной ширины.
Согласно закону Стефана -Больцмана, полная лучеиспускательная способность черного тела (поглощает все падающее на него излучение), или интегральный лучистый поток от него (Вт/м2), пропорционален четвертой степени абс. т-ры тела:
E0=5,67·10-8 T4.
Серое тело излучает (и поглощает) в e раз меньшее кол-во лучистой энергии, при этом e = 0-1, наз. степенью черноты тела, различна для конкретных материалов.
Излучение элемента пов-сти по направлению нормали Еn в p раз меньше излучения, передаваемого пов-стью во всю видимую полусферу: E0 = pEn. Пов-сть тела излучает в пространство как собственное (e E0), так и отраженное ею излучение: E = eE0 + Еотр.
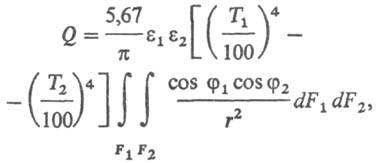
Осн. сложность расчета лучистого теплообмена состоит в необходимости учета взаимного расположения всех излучающих, поглощающих и отражающих пов-стей. Для наиб. простого случая двух параллельных, бесконечно протяженных пов-стей результирующий уд. лучистый поток между ними составляет (Вт/м2):

где e1, e2 и T1, Т2-коэф. черноты и абс. т-ры пов-стей. При произвольном расположении в пространстве двух пов-стей F1 и F2 лучистый поток между ними имеет вид (Вт):

где f1, f2-углы между нормалями к пов-стям и линией, соединяющей центры пов-стей; r-расстояние между элементарными участками пов-стей (рис. 1).
Теплообмен в химико-технологических процессах часто определяет осн. характеристики работы аппаратуры. Так, температурная зависимость константы скорости k хим. р-ции (см. Аррениуса уравнение): k = = k0 exp(— Ea/RT), где k0 - предэкспо-ненциальный множитель, Еa- энергия активации р-ции, Т-абс. т-ра, R-газовая постоянная, определяет существ. влияние теплообмена на устанавливающуюся в ходе технол. процесса температуру и, следовательно, на степень завершенности р-ции.

Рис. 1. Лучистый теплообмен между произвольно расположенными пов-стями.
При работе пром. реакторов химических стационарный процесс теплообмена может протекать в ряде случаев только при нек-рых определенных т-рах. Напр., для реактора непрерывного действия с интенсивным перемешиванием реакц. массы и внеш. отводом теплоты, в к-ром происходит необратимая экзотермическая р-ция первого порядка по концентрации с осн. компонента, ур-ние теплового баланса имеет вид:

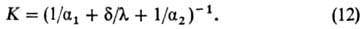
Левая часть соотношения (11) соответствует теплоте, поступающей в реактор с массовым потоком М1 исходных компонентов (M1 С1 T1) и тепловыделению в результате р-ции (h-уд. теплота р-ции, V-объем аппарата). В правой части ур-ния (11) первое слагаемое-теплота, отводимая с продуктами р-ции (М2 С2 Т2), и теплота, передаваемая через теплообменную пов-сть F хладагенту с т-рой Tx. Коэф. теплопередачи К [Вт/(м2 · К)] представляет собой величину, обратную термич. сопротивлению пути, по к-рому теплота отводится через пов-сть F; значения К зависят от толщины (d) и теплопроводности (l) стенки и от коэф. теплоотдачи от реакц. массы к теплообменной пов-сти (a1) и от нее к хладагенту (a2):

Коэф. a1 и a2 рассчитывают по критериальным соотношениям конвективного теплообмена. Концентрацию с в зоне р-ции определяют из материального баланса по осн. компоненту:

где c1-концентрация на входе в аппарат.
Решение системы трансцендентных ур-ний (11)-(13) относительно т-ры Т реакц. массы показывает наличие трех возможных режимов: низко-, высокотемпературного и промежуточного. При первых двух режимах процесс м. б. стационарным, причем во втором случае скорость р-ции и степень хим. превращения будут высокими. При промежуточном значении т-ры процесс неустойчив и самопроизвольно переходит в область устойчивых температурных режимов. После нахождения T по ур-нию (13) определяют с.
Аналогично анализируют иные варианты работы реакторов [р-ции порядка выше первого, эндотермические, адиабатические (К = 0), изотермические (К : ,), вытеснения и др. аппараты]. В наиб. сложных случаях для анализа вариантов используют вычислит. технику.
Перемешивание жидких сред с помощью мех. мешалок применяют для выравнивания т-р и концентраций в объеме реакц. массы и для интенсификации теплообмена со стенками аппаратов. Опытные данные о средних коэф. теплоотдачи представляют в виде:

где число Рейнольдса для перемешивания Reп = nd2 r/m; n и d-частота вращения и диаметр мешалки; m и mF-коэф. динамич. вязкости перемешиваемой среды при т-рах среды и пов-сти теплообмена; Г1, Г2, ... -геом. симплексы, включающие осн. размеры аппарата и перемешивающего устройства: В, а1, а2, ...-параметры, к-рые зависят от типов мешалки и аппарата. Для пленочных аппаратов интенсивность теплообмена между стекающей турбулентной пленкой жидкости и теплообменной пов-стью определяется корреляц. соотношением:
(a/l)(v2/g)1/3 = 0,047 Re0,23 Рr1/3,
где Re = 4Г/v; G- объемная плотность орошения на единицу ширины пов-сти [м3/(м·с)]; v-кинематич. вязкость жидкости; для иных условий и режимов течения пленок коэф. и показатели степеней ур-ния м. б. другими.
В ряде процессов, напр. каталитических в неподвижном слое дисперсного катализатора, важную роль играет интенсивность отвода (подвода) теплоты хим. превращения от внутр. участков слоя к его периферии, теплоотвода от слоя к теплообменной пов-сти реактора и теплообмена между фильтрующимися через слой потоком реагентов и пов-стью частиц. При незначит. скорости фильтрации коэффициенты эффективной (реальной) продольной и поперечной теплопроводности слоя lэ приблизительно одинаковы. По мере увеличения скорости фильтрации сплошной фазы теплопроводность в направлении движения возрастает значительно быстрее и может превысить lэ в поперечном направлении в неск. раз. Значения lэ находят опытным путем, как и коэф. теплоотдачи от всей массы слоя к теплообменным пов-стям (стенкам аппарата). Интенсивность межфазного теплообмена в неподвижном слое м. б. определена по соотношениям типа (10) с др. значениями коэффициентов. Аналогичные процессы теплообмена происходят в аппаратах с движущимися слоями материалов, предназначенных для непрерывного контакта фильтрующегося потока с дисперсным материалом.
Нек-рые хим.-технол. процессы (нагревание, прокаливание, сушка, кристаллизация, растворение) осуществляются в потоке сплошной фазы (газ, пар или капельная жидкость), несущем с собой мелкие твердые частицы. Относит. скорость фаз в вертикальных аппаратах, в к-рых проводятся указанные процессы, может существенно изменяться (от скорости сплошной фазы до скорости осаждения частиц). В таких условиях коэф. межфазного теплообмена можно определить, напр., по соотношению:
Nu = 0,0061 Re0·8 ств-0,43,
где ств - объемная концентрация твердой фазы, а в критерий Re входит относит. скорость сплошного потока и частиц, рассчитываемая по ур-ниям гидродинамики.
В условиях псевдоожиженного слоя (см. Псевдоожижение) внутр. эффективная теплопроводность слоя значительна, что приводит практически к изотермичности его объема. Макс. значение коэф. теплоотдачи aм от слоя к погруженной в него пов-сти (или к стенке аппарата) м.б. вычислено из равенства:
Nuм = 0,85 Аr0,19 + 0,006 Аr0,5 Рr1/3,
в к-ром Nuм = aмd/lпс; Аr = gd3(rr - rпс )/(mr v2); d и рr-диаметр и плотность частиц; rпс и lпс - плотность и теплопроводность псевдоожижающего агента. Интенсивность межфазного теплообмен может быть найдена из выражений:
Nu = 0,016(Re/x)1/3 Рr1/3 для Re/x < 200, Nu = 0,40(Re/x)2/3 Рr1/3 для Re/x > 200,
где x-порозность, или доля своб. объема, слоя; в выражение для числа Re входит скорость потока в расчете на полное сечение аппарата. Определение т-р дисперсной и сплошной фаз должно базироваться на дифференц. ур-ниях тепловых балансов обеих фаз и ур-ниях гидродинамики с использованием приведенных корреляций для а.
Промышленные тепло- и хладоносители. Наиб. дешевыми и высокотемпературными (до 1000°С и выше) теплоносителями являются топочные газы-продукты окисления орг. топлив атм. воздухом; их недостатки: малые а, большой уд. объем, загрязнение теплообменных пов-стей продуктами неполного сгорания топлив. Компактным, энергоемким теплоносителем служит водяной пар (чаще в насыщ. состоянии), обладающий при конденсации высоким a и позволяющий осуществлять нагревание до 150-170°С; его недостаток-значит. возрастание давления с ростом т-ры, что требует повыш. мех. прочности аппаратуры. Горячая вода, используемая для нагревания обычно до 100 °С, как теплоноситель существенно уступает водяному пару по энергоемкости, но не требует применения парогенератора. Нагревание до более высоких т-р без значит. повышения давления можно осуществлять с помощью жидких (или парообразных с конденсацией) теплоносителей, имеющих низкое давление паров: дифенильная смесь, или даутерм (содержит по массе 26,5% дифенила и 73,5% дифенилокси-да),-до 360°С; минеральные масла-до 250-280°С при атм. давлении; расплавы солей, напр. тройная нитрит-нитратная смесь (40% NaNO2, 7% NaNO3, 53% КNО3),-до 500-530°С; кремнийорг. жидкости (гл. обр. ароматич. эфиры ортокремниевой к-ты)-до 300 °С. Достоинства электрич. нагрева: компактность и простота устройств, удобство регулирования т-ры, возможность достижения высоких т-р (до 3000 °С при использовании электрич. дуги); недостаток - относительно высокая стоимость.
В качестве охлаждающих сред применяют воду и атм. воздух. При воздушном охлаждении необходимы большие пов-сти теплообмена и значит. расход воздуха. Для охлаждения до т-ры ниже 15-20°С используют водные р-ры солей (NaCl или СаСl2), предварительно охлаждаемые в холодильных установках до — 70 °С. Для охлаждения до т-ры порядка — 180 °С применяют сжиженный воздух (подробнее см. Холодильные процессы).
Теплообменные аппараты, или теплообменники, предназначены для передачи теплоты от одних теплоносителей к другим и подразделяются на рекуперативные, смесительные и регенеративные.
Устройство теплообменников. В рекуперативных аппаратах, наиб. распространенных в хим. технологии, теплоносители проходят по разл. объемам, разделенным твердой (обычно металлической) стенкой, через к-рую происходит теплообмен. В смесит. аппаратах оба теплоносителя одновременно поступают в один объем и обмениваются теплотой непосредственно через пов-сть раздела фаз. В регенеративных аппаратах в единств. рабочий объем сначала поступает горячий теплоноситель, нагревающий массу твердого материала (кирпичную кладку или массу металла), а затем в тот же объем подается нагреваемая среда, к-рая воспринимает теплоту от нагретого материала.
В зависимости от технол. назначения различают теплообменники: а) нагреватели (охладители), в к-рых теплоносители не изменяют фазового состояния; б) испарители (кипятильники) и конденсаторы, предназначенные для изменения фазового состояния теплоносителей; в) для осуществления одновременно теплообмена и хим.-технол. процесса (выпарные аппараты, кристаллизаторы, химические реакторы и др.). Кроме того, теплообменники классифицируют: по относительному направлению движения теплоносителей-прямо- и противоточные, смешанного тока (движутся взаимно перпендикулярно), перекрестного тока с частичным прямо- и противотоком; по характеру работы во времени-с установившимся и неустановившимся тепловыми режимами.
Среди рекуперативных теплообменников различают аппараты с теплообменной пов-стью: а) из прямых, витых, гладких или сребренных труб, заключенных в общий кожух (кожухотрубные аппараты); б) в виде прямых труб, орошаемых снаружи жидким теплоносителем, обычно водой (оросительные аппараты), или из труб в форме змеевиков, погружаемых в жидкий теплоноситель; в) из листовых материалов (с рубашкой на наружном корпусе аппарата, пластинчатые, пластинчато-ребристые, спиральные теплообменники); г) из неметаллов (из полимерных материалов или графита, эмалированные аппараты и др.).
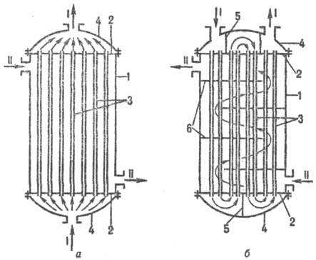
В кожухотрубных теплообменниках (рис. 2) теплообмен интенсифицируется увеличением скорости теплоносителей путем установки в межтрубном пространстве поперечных перегородок и создания неск. ходов для теплоносителя, движущегося по внутритрубному пространству. Число труб достигает 3800, пов-сть теплообмена -1800 м , избыточное давление-4 МПа.

Рис. 2. Кожухотрубные одпоходовый (а) и четырехходовый (б)теплообменники: I, II-теплоносители; 1-корпус (кожух); 2-трубные решетки; 3-теплообменные трубы; 4-крышки (распределит. камеры); 5, 6-перегородки соотв. во внутриутробном и межтрубном пространстве.
В оросительных теплообменниках не предусмотрено отдельное рабочее пространство для охлаждающей жидкости и она стекает по теплообменной пов-сти в виде пленки, что обеспечивает интенсивный теплообмен.
Вследствие малых значений теплоемкости и теплопроводности газов и перегретых паров интенсивность теплоотдачи между ними и теплообменными пов-стями незначительна, что компенсируют установкой на них ребер. Пов-сть теплообмена аппаратов воздушного охлаждения с оребрением достигает 2300 м2.
В пластинчатых аппаратах (рис. 3) теплообменная пов-сть состоит из металлич. листов, в зазорах между к-рыми проходят теплоносители. Преимущества теплообменников этого типа перед трубчатыми: малая металлоемкость, компактность, высокая интенсивность теплообмена, простота инженерного оформления разл. схем движения теплоносителей; осн. недостаток-сложность герметизации отдельных элементов. Разборные конструкции пластинчатых теплообменников эксплуатируют при давлении до 2,5 МПа, сварные-до 3 МПа и т-ре до 400 °С.

Рис. 3. Пластинчатые теплообменники (типы пакетов пластин): I, II-теплоносители (а-противоток, б-перекрестный ток).
Теплообменники с неметаллич. пов-стями обладают хим. стойкостью к агрессивным теплоносителям, однако термич. сопротивление этих аппаратов выше, а мех. прочность ниже, чем у металлич. теплообменников.
Смесительные теплообменники (рис. 4) используют как конденсаторы водяного пара (см., например, Выпаривание) или охладители воздуха путем смешения их с распиливаемой холодной водой.
Регенеративные теплообменники (рис. 5) имеют меньший рабочий объем, чем рекуперативные, что существенно при теплообмене между газовыми потоками. Эти аппараты применяют в циклич. процессах с пе-риодич. источником горячих газов, где необходим периодич. нагрев холодной среды (напр., коксохим. произ-во).
Расчеты теплообменников производят с целью определения: пов-сти F, необходимой для передачи заданного кол-ва теплоты Q при известной разности т-р теплоносителей (проектный вариант расчета); конечной т-ры нагреваемого (охлаждаемого) теплоносителя или переданного кол-ва теплоты при известной теплообменной пов-сти (поверочный расчет).

Рис. 4. Конденсатор смешения: 1-пар; II-холодная вода; III-неконденсирующиеся газы; IV-вода и кон денсат; 1, 2-сегментные полки.

Рис. 5. Регенеративные теплообменники с неподвижной насадкой: I, II - теплоносители; 1, 2-кирпичная кладка камер; 3, 4 и 5, 6-соотв. входные и выходные патрубки.
Основу расчета теплообменников составляет ур-ние теплопередачи: Q = KFDtcp, в к-ром Dt1 = (Dt1 — — Dt2)/[ln(Dt1/Dt2)] —средняя разность т-р Dt1 и Dt2 теплоносителей на концах аппарата; коэф. теплопередачи К определяется по ф-ле (12).
Проектный расчет теплообменников обычно показывает возможность использования неск. вариантов стандартных аппаратов, к-рые обеспечивают заданные параметры теплоносителей. Выбор единств. теплообменника из числа возможных осуществляют на основе минимума суммы капитальных и эксплуатац. затрат, при этом определение стоимости эксплуатации связано с вычислением гидравлич. сопротивления, оказываемого теплообменником потокам теплоносителей.
Перспективы исследования теплообмеиных процессов. Совр. тенденции при изучении теплообмена заключаются в дальнейшем уточнении и обобщении данных об интенсивности переноса теплоты для разл. хим.-технол. процессов, в использовании вычислит. техники при расчетах теплообмена и выборе экономически оптимальных теплообменников. Кроме того, совершенствуется техника теплообмена путем создания новой, высокоэффективной и надежной теплообменной аппаратуры, к-рая позволяет более полно использовать энергетич. ресурсы и уменьшить тепловое загрязнение окружающей среды.
Лит.: Лыков А. В., Теория теплопроводности, М., 1967; Маньковс-кий О.Н., Толчинский А. Р., Александров М. В., Теплообменная аппаратура химических производств. Инженерные методы расчета, Л., 1976; Исаченко В. П., Осипова В.А., Сукомел А.С., Теплопередача, 4 изд., М., 1981; Романков П. Г., Фролов В. Ф., Теплообменные процессы химической технологии, Л., 1982; Себиси Т., Брэдшоу П., Конвективный теплообмен. Физические основы и вычислительные методы, пер. с англ., М., 1987; Kirk-Othmer encyclopedia, 3 ed., v. 12, N. Y., 1980, r. 129-202. В. F. Фролов.