Газы природные горючие
Газы природные горючие, газообразные углеводороды, образующиеся в земной коре.
Общие сведения и геология. Промышленные месторождения газов природных горючих встречаются в виде обособленных скоплений, не связанных с каким-либо др. полезным ископаемым; в виде газонефтяных месторождений, в которых газообразные углеводороды полностью или частично растворены в нефти или находятся в свободном состоянии и заполняют повышенную часть залежи (газовые шапки) или верхние части сообщающихся между собой горизонтов газонефтяной свиты; в виде газоконденсатных месторождений, в которых газ обогащен жидкими, преимущественно низкокипящими углеводородами.
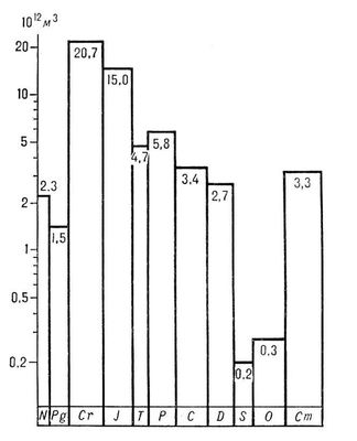
Газы природные горючие состоят из метана, этана, пропана и бутана, иногда содержат примеси легкокипящих жидких углеводородов — пентана, гексана и др.; в них присутствуют также углекислый газ, азот, сероводород и инертные газы. Многие месторождения газов природных горючих, залегающие на глубине не более 1,5 км, состоят почти из одного метана с небольшими примесями его гомологов (этапа, пропана, бутана), азота, аргона, иногда углекислого газа и сероводорода; с глубиной содержание гомологов метана обычно растет. В газоконденсатных месторождениях содержание гомологов метана значительно выше, чем метана. Это же характерно для газов нефтяных попутных. В отдельных газовых месторождениях наблюдается повышенное содержание углекислого газа, сероводорода и азота. Встречаются газы природные горючие в отложениях всех геологических систем начиная с конца протерозоя (рис. 1) и на различных глубинах, но чаще всего до 3 км. Образуются газы природные горючие в основном в результате катагенетического преобразования органического вещества осадочных горных пород (см. Газы земной коры). Залежи газов природных горючих формируются в природных ловушках на путях миграции газа.
Миграция происходит в результате статической или динамической нагрузки пород, выжимающих газ, а также при свободной диффузии газа из областей высокого давления в зоны меньшего давления. Различают внерезервуарную региональную миграцию сквозь мощные толщи пород различной проницаемости по капиллярам, порам, разломам и трещинам и внутрирезервуарную локальную миграцию внутри хорошо проницаемых пластов, коллектирующих газ.
Газовые залежи по особенностям их строения разделяются на две группы: пластовые и массивные (рис. 2). В пластовых залежах скопления газа приурочены к определённым пластам-коллекторам. Массивные залежи не подчиняются в своей локализации определённым пластам. Наиболее распространены среди пластовых сводовые залежи, сохраняемые мощной глинистой или галогенной покрышкой. Подземными природными резервуарами для 85% общего числа газовых и газоконденсатных залежей служат песчаные, песчано-алевритовые и алевритовые породы, нередко переслоённые глинами; в остальных 15% случаев коллекторами газа являются карбонатные породы. Серия залежей, подчинённых единой геологической структуре, составляет отдельные месторождения. Структуры месторождений различны для складчатых и платформенных условий. В складчатых районах выделяются две группы структур, связанные с антиклиналями и моноклиналями. В платформенных районах намечаются 4 группы структур: куполовидных и брахиантиклинальных поднятий, эрозионных и рифовых массивов, моноклиналей, синклинальных прогибов. Все газовые и газонефтяные месторождения приурочены к тому пли иному газонефтеносному осадочному (осадочно-породному) бассейну, представляющему собой автономные области крупного и длительного погружения в современной структуре земной коры. Среди них различают 4 группы: приуроченные к внутриплатформенным прогибам (например, Мичиганский и Иллинойсский бассейн Сев. Америки, Волго-Уральская обл. СССР); приуроченные к прогнутым краевым частям платформ (например, Зап.-Сибирский в СССР); контролируемые впадинами возрожденных гор (бассейны Скалистых гор в США, бассейны Ферганской и Таджикской впадин в СССР); связанные с предгорными и внутренними впадинами молодых альпийских горных сооружений (Калифорнийский бассейн в США, сахалинский бассейн в СССР). Всё больше открывается газовых залежей в зоне шельфа и в мелководных бассейнах (например, в Северном море крупные газовые месторождения — Уэст-Сол, Хьюит, Леман-Банк).
Мировые геологические запасы горючих газов на континентах, в зоне шельфов и мелководных морей, по прогнозной оценке, достигают 1015 м3, что эквивалентно 1012 т нефти.
СССР обладает огромными ресурсами газов природных горючих. Наиболее крупными месторождениями являются: Уренгойское (4 триллиона м3) и Заполярное (1,5 триллиона м3), приуроченные к меловым отложениям Зап.-Сибирского бассейна Вуктыльское (750 млрд. м3) и Оренбургское (650 млрд. м3) в Волго-Уральской обл.; Газли (445 млрд. м3) в Средней Азии; Шебслинское (390 млрд. м3) на Украине; Ставропольское (220 млрд. м3) на Сев. Кавказе. Среди зарубежных стран наиболее крупными запасами газов природных горючих располагают (оценка общих запасов в триллионах м3): США (8,3), Алжир (4,0), Иран (3,1), Нидерланды (2,3); крупнейшими месторождениями за рубежом являются (в триллионах м3): в США — Панхандл-Хьюготон (1,96); в Нидерландах — Слохтерен (Гронинген) (1,65); в Алжире — Хасси-Рмель (около 1).
Н. Б. Вассоевич.
Применение. Газы природные горючие — высокоэкономичное энергетическое топливо, теплота сгорания 32,7 Мдж/м3 (7800 ккал/м3) и выше, широко применяется как топливо на электростанциях, в чёрной и цветной металлургии, цементной и стекольной промышленности, при производстве стройматериалов и для коммунально-бытовых нужд.
Углеводороды, входящие в состав газов природных горючих, — сырьё для производства метилового спирта, формальдегида, ацетальдегида, уксусной кислоты, ацетона и др. органических соединений. Конверсией кислородом или водяным паром из метана — основного компонента газов природных горючих — получают синтез-газ (CO+H2), широко применяемый для получения аммиака, спиртов и др. органических продуктов. Пиролизом и дегидрогенизацией (см. Гидрогенизация) метана получают ацетилен, сажу и водород, используемый главным образом для синтеза аммиака. Газы природные горючие применяют также для получения олефиновых углеводородов, и в первую очередь этилена и пропилена, которые в свою очередь являются сырьём для дальнейшего органического синтеза. Из них производят пластические массы, синтетические каучуки, искусственные волокна и др. продукты.
С. Ф. Гудков.
Добыча газов природных горючих включает извлечение газов из недр, их сбор, учёт и подготовку к транспортировке потребителю (т. н. разработка газовых месторождений), а также эксплуатацию скважин и наземного оборудования. Особенность добычи газов природных горючих из недр по сравнению с добычей твёрдых полезных ископаемых состоит в том, что весь сложный путь газа от пласта до потребителя герметизирован.
Выходы газов природных горючих из естественных источников (например, «вечные огни» в Дагестане, Азербайджане, Иране и др.) использовались человеком с незапамятных времён. Позже нашёл применение природный газ, получаемый из колодцев и скважин (например, в 1-м тыс. н. э. в Китае, в провинции Сычуань, при бурении скважин на соль было открыто месторождение Цзылюцзин, газ которого служил для выпаривания соли из растворов). Эпизодическое использование природного газа, добываемого из случайно открытых залежей, продолжалось на протяжении многих столетий. К середине 19 в. относят применение природного газа как технологического топлива (например, на базе месторождения Дагестанские Огни было организовано стекольное производство). Поисками и разработкой газовых залежей не занимались вплоть до 20-х гг. 20 в., когда начинается промышленная разработка чисто газовых месторождений: вначале залегающих на малых (около сотен м), а затем на всё больших глубинах. В этот период разработка месторождений велась примитивно: буровые скважины размещались на залежи по равномерной сетке с расстоянием между ними в среднем в 1 милю (1,6 км). Добыча газов природных горючих из скважины составляла 10—20% от потенциальной производительности скважины (абсолютно свободного её дебита), а в отдельных случаях (при благоприятных геологических условиях и характеристике пласта) рабочие дебиты были большие.
В 30-х гг. благодаря развитию техники бурения скважин и переходу на большие глубины (1500—3000 м и более) был открыт новый тип залежи — газоконденсатный; разработка этих залежей потребовала создания новой технологии.
Конец 40-х гг. характеризуется интенсивным развитием отечественной газовой промышленности и внедрением в практику научных методов разработки газовых и газоконденсатных месторождений. В 1948 под руководством сов. учёного Б. Б. Лапука создан первый научно обоснованный проект разработки газового месторождения (Султангулово Куйбышевской обл.). В последующие годы промышленные месторождения газов природных горючих разрабатываются по проектам, составленным на основе последних достижений промысловой геологии, гидродинамики и др. Важным этапом освоения месторождения является его разведка. Детальная разведка газовой залежи требует бурения большого числа глубоких скважин, часто количество разведочных скважин превышает необходимое число эксплуатационных.
Советскими учёными в послевоенный период созданы и внедрены новые методы разработки месторождений газа. На первой стадии освоения газовой залежи происходит её опытно-промышленная эксплуатация, в ходе которой (2—5 лет) уточняются характеристики залежи — свойства пласта, запасы газа, продуктивность скважин, степень подвижности пластовых вод и т. д. Месторождение подключается к ближайшему газопроводу или служит для газоснабжения местных потребителей. Вторая стадия — промышленная эксплуатация, основанная на достаточно полных сведениях о месторождении, полученных в ходе опытно-промышленной разработки. В этой стадии различают три основных периода — нарастающей, постоянной и падающей добычи. Первый период занимает 3—5 лет. Он связан с бурением скважин и оснащением газового промысла. За это время добывается 10—20% от общих запасов газа. Второй период продолжается около 10 лет, в течение которых из залежи отбирается 55—60% запасов газа. Количество скважин в это время растет, т. к. продуктивность каждой из них в отдельности падает, а общий отбор газа по залежи остаётся неизменным. Когда давление в пласте понижается до 5—6 Мн/м2 (50—60 кгс/см2), вводится в эксплуатацию дожимная газокомпрессорная станция, повышающая давление газа, отбираемого из залежей, до значения, при котором обычно работает магистральный газопровод. Третий период — падающей добычи — не ограничен во времени. Разработка газовой залежи происходит в основном 15—20 лет. За это время извлекается 80—90% запасов газа.
В себестоимости добычи газов природных горючих 40—60% составляют затраты на сооружение эксплуатационных скважин. Чтобы скважина, пробурённая на газоносный пласт, дала газ, достаточно её открыть, однако высокодебитные скважины полностью открывать нельзя, т. к. при свободном истечении газа может произойти разрушение пласта и ствола скважины, обводнение скважины за счёт притока пластовой воды, нерационально будет расходоваться энергия газа, находящегося в пласте под давлением. Поэтому расход газа ограничивается, для чего обычно используется штуцер (местное сужение трубы), устанавливаемый чаще всего на головке скважины. Суточный рабочий дебит скважин составляет от десятков м3 до нескольких млн. м3.
С конца 60-х гг. в СССР впервые в мировой практике пробурены сверхмощные скважины с диаметром эксплуатационной колонны 8—12 дюймов (200—300 мм).
Продуктивность газовых скважин зависит от свойств пласта, метода его вскрытия и конструкции забоя скважины. Чем более проницаем пласт, чем он мощнее и чем лучше сообщается пласт с внутренней частью скважины, тем более продуктивна скважина. Для увеличения продуктивности газовой скважины в карбонатных породах (известняки, доломиты) забой обрабатывают соляной кислотой, которая, реагируя с породой, расширяет каналы притока газа; в крепких породах применяют торпедирование забоя, в результате которого призабойная зона пласта приобретает сеть трещин, облегчающих движение газа. Интенсификация притока газа достигается также с помощью т. и. гидропескоструйной перфорации колонны обсадных труб, улучшающей степень сообщаемости пласта со скважиной, и путём гидравлического разрыва пласта, при котором в пласте образуются одна или несколько больших трещин, заполненных крупным песком, имеющим низкое фильтрационное сопротивление. При выборе системы размещения скважин на газовом месторождении учитываются не только свойства пласта, но и топография местности, система сбора газа, характер истощения залежи, сроки ввода в эксплуатацию компрессорной станции и др. Скважины располагаются на площади месторождения равномерно по квадратной или треугольной сетке либо неравномерно — группами. Чаще применяется групповое размещение (рис. 3), при котором облегчается обслуживание скважин, возможна комплексная автоматизация процессов сбора, учёта и обработки продукции -Эта система обычно оказывается самой выгодной и по экономическим показателям Например, на Северо-Ставропольском газовом месторождении групповое расположение скважин в центральной части залежи позволило сократить (по сравнению с равномерным размещением) более чем вдвое число эксплуатационных скважин, что дало экономию около 10 млн. руб.
Разработка газоконденсатных месторождений осуществляется тремя основными способами. Первый, широко применяемый в США, состоит в том, что в пласте посредством обратной закачки в него газа, из которого на поверхности выделены тяжёлые углеводороды, поддерживается достаточно высокое давление (т. н. сайклинг-процесс); благодаря этому конденсат не выпадает в пласте и подаётся на поверхность в газообразном состоянии. Извлечение конденсата и обратная закачка тощего (с содержанием тяжёлых углеводородов — не больше 10%) газа в пласт продолжается, пока большая часть конденсата из залежи не извлечена. При этом запасы газа консервируются в течение длительного времени. Второй способ состоит в том, что для поддержания пластового давления в газоносные пласты закачивается вода. Это позволяет использовать извлекаемый газ немедленно после выделения из него конденсата. Однако закачка воды может привести к потерям как газа, так и конденсата вследствие т. н. защемления газа (неполное вытеснение газа водой). Этот способ применяется редко. По третьему способу газоконденсатные месторождения разрабатываются как чисто газовые. Этот способ используется в тех случаях, когда содержание конденсата в газе невелико или если общие запасы газа в месторождении малы.
Разработку газового месторождения осуществляет газовый промысел, который представляет собой сложное, размещенное на большой территории хозяйство. На среднем по масштабу газовом промысле имеются десятки скважин, которые расположены на территории, исчисляемой сотнями км2. Основные технологические задачи газового промысла — обеспечение запланированного режима работы скважин, сбор газа по скважинам, учёт его и подготовка к транспортировке (выделение из газа твёрдых и жидких примесей, конденсата тяжёлых углеводородов, осушка газа и очистка от сероводорода, содержание которого не должно превосходить 2 г на 100 м3).
Способ выделения конденсата зависит от температуры, давления, состава газа и от того, обрабатывается ли газ чисто газового месторождения или газоконденсатного. Поступающий из залежи природный газ всегда содержит некоторое количество воды; соединяясь с углеводородами, она образует снеговидное вещество — гидраты углеводородов (см. Гидратообразование). Гидраты осложняют добычу и транспорт газа.
Прежде чем транспортировать газы природные горючие к местам потребления, их подвергают переработке, имеющей целью удаление из газов природных горючих механических примесей, вредных компонентов (H2S), тяжёлых углеводородных газов (пропана, бутана и др.) и водяных паров. Для удаления механических примесей применяются сепараторы различной конструкции. Удаление влаги из газов осуществляется низкотемпературной сепарацией, т. е. конденсацией водяных паров при низких температурах (до — 30 °С), развивающихся в сепараторах вследствие дросселирования газа (снижение давления газа в 2—4 раза), или поглощением водяных паров твёрдыми (см. Адсорбция) или жидкими (см. Абсорбция) веществами. Такими же способами выделяются из газов и тяжёлые углеводородные газы с получением сырого газового бензина, который затем разделяется (см. Ректификация) на стабильный газовый бензин и товарные лёгкие углеводороды (технический пропан, технический бутан, пропан-бутановая смесь и др. фракции). При необходимости из газов природных горючих удаляются и вредные вещества, главным образом сероводород. Для удаления серы из газов используется ряд твёрдых и жидких веществ, связывающих серу. Газ после обработки на промысле под давлением 4,5—5,5 Мн/м2 (45—55 кгс/см2) подаётся по коллектору для осушки на промысловый газосборный пункт или на головные сооружения магистрального газопровода. Газы природные горючие чисто газовых месторождений обычно подвергаются лишь осушке и очистке от твёрдых примесей.
Переход к комплексному проектированию разработки газовых месторождений, интенсификация притока газа к скважинам, автоматизация установок на газовых промыслах позволили значительно увеличить рабочие дебиты скважин, улучшить подготовку газа к транспортировке и снизить себестоимость природного газа.
Лит.: Газовые месторождения СССР. Справочник, 2 изд., М., 1968; Еременко Н. А., Геология нефти и газа, М., 1968; Смирнов А. С., Ширковский А. И., Добыча н транспорт газа, М., 1957; Коротаев Ю. П., Полянскии А. П., Эксплуатация газовых скважин, 2 изд., М., 1961: Шмыгля П. Т., Разработка газовых и газоконденсатных месторождений (теория и практика), М., 1967; Базлов М. Н., Жуков А. И., Алексеев Т. С., Подготовка природного газа и конденсата к транспорту, М., 1968; Разработка газового месторождения системой неравномерно расположенных скважин, М., 1968; Гудков С. ф., Переработка углеводородов природных и попутных газов, М., 1960.
Е. В. Левыкин.

Рис. 2. Типы залежей газа. Пластовые: I — сводные ненарушенные; II — тектонически экранированные; III — литологически ограниченные. Массивные: IV — сводные; V — смещённые; 1 — песчаники; 2 —- алевролиты; 3 — глины; 4 — известняки и доломиты; 5 — ангидриты; 6 — газ.

Рис. 1. Приуроченность газов природных горючих к различным геологическим системам (по горизонтали — буквенные обозначения геологических систем, по вертикали — объём газа в млрд. м3).

Рис. 3. Схема группового размещения скважин на газовом промысле.