Реакторы химические
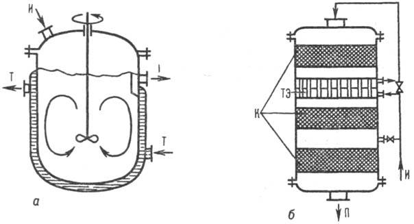
РЕАКТОРЫ ХИМИЧЕСКИЕ (от лат. rе- приставка, означающая обратное действие, и actor - приводящий в действие, действующий), пром. аппараты для осуществления хим. р-ций. Конструкция и режим работы реакторов химических определяются типом р-ции, фазовым состоянием реагентов, характером протекания процесса во времени (периодический, непрерывный, с изменяющейся активностью катализатора), режимом движения реакц. среды (периодический, полупроточный, с рециклом), тепловым режимом работы (адиабатический, изотермический, с теплообменом), типом теплообмена, видом теплоносителя. По типу конструкции реакторы химические подразделяют на емкостные, колонные, трубчатые (рис. 1). Емкостные реакторы химические-полые аппараты, часто снабженные перемешивающим устройством. Перемешивание газо-жидкостных систем может производиться барботированием газообразного реагента. Теплообмен осуществляется через пов-сть реакторов химических или путем частичного испарения жидкого компонента реакц. смеси. К реакторам этого типа относят также аппараты с неподвижным или псевдоожиженным слоем (одним или несколькими) катализатора (см., напр., Псевдоожижение). В многослойных реакторах теплообмен осуществляется смешением потоков реагентов или в теплообменных элементах аппарата. В емкостных реакторах химических проводят непрерывные, перио-дич. и полупериодич. процессы (см. Непрерывные и периодические процессы).


Рис. 1 Основные типы хим. реакторов: а-проточный емкостный реактор с мешалкой и теплообменной рубашкой; б - многослойный каталитич. реактор с промежуточными и теплообменными элементами; в-колонный реактор с насадкой для двухфазного процесса; г-трубчатый реактор; И-исходные в-ва; П- продукты р-ции; Т - теплоноситель; К - катализатор; Н-насадка; ТЭ теплообмен-ные элементы.
Колонные реакторы химические могут быть пустотелыми либо заполненными катализатором или насадкой (см. Насадочные аппараты). Для улучшения межфазного массообмена применяют диспергирование с помощью разбрызгивателей (см. Распыливание), барботеров, мех. воздействия (вибрация тарельчатой насадки, пульсация потоков фаз) или насадки, обеспечивающей высокоскоростное пленочное движение фаз. Реакторы химические данного типа используют в осн. для проведения непрерывных процессов в двух- или трехфазных системах. Трубчатые реакторы химические применяют часто для каталитич. р-ций с теплообменом в реакц. зоне через стенки трубок и для осуществления высокотемпературных процессов газификации. При одновременном скоростном движении неск. фаз в таких реакторах достигается наиб. интенсивный межфазный массообмен. Специфич. особенностями отличаются реакторы химические для электрохим. (см. Электролиз), плазмохим. (см. Плазма-химическая технология) и радиационно-хим. (см. Радиацион-но-химическая технология) процессов.
При расчете реакторов химических определяют необходимые для достижения заданной производительности и селективности процесса объем аппарата, скорость потока, пов-сть теплообмена, гидравлич. сопротивление, режим работы, конструктивные параметры (уточняются на основании аэродинамич. испытаний). Расчет выполняют на основе данных по термодинамике и кинетике р-ций, скорости тепло- и массообмена (см. Макрокинетика)с учетом структуры потоков в аппаратах. Наиб. полный расчет, проводимый методом моделирования с использованием ЭВМ, включает определение полей т-ры и концентрации, оптим. режима, схемы теплообмена и циркуляции (см. Оптимизация), а также, наряду с выбором способа управления, анализ устойчивости режима. См. также Массообмен, Перемешивание, Печи, Пленочные аппараты, Теплообмен.
Лит.: Левеншпиль О., Инженерное оформление химических процессов пер. с англ., М., 1969; Дидушинский Я., Основы проектирования каталити ческих реакторов, пер. с польск., М., 1972; Расчет химико-технологических процессов, под ред. И. П. Мухленова, Л., 1976; Общая химическая технология, ч. 1. Теоретические основы химической технологии, 4 изд., М., 1984, с. 77-119 Кутепов А. М., Бондарева Т. И., Беренгартен М. Г., Общая химичес кая технология, 2 изд., ч. 1, М., 1990, с. 63-169. B.C. Бесков
Динамические режимы хим. реакторов характеризуются изменением во времени параметров, определяющих состояние процесса (концентрация, т-ра, давление и др.). В дина-мич. режиме всегда функционирует реактор периодич. действия, в к-ром ход процесса изменяется от момента загрузки сырья до выгрузки готового продукта. Реактор непрерывного действия должен работать в стационарном, неизменном во времени режиме. Однако из-за неизбежных внеш. возмущений, напр. изменения состава сырья, условий отвода или подвода теплоты, возникают отклонения от стационарного режима. Они м. б. незначительными и существенными, приводящими к заметным изменениям качества продукта, производительности реактора и даже к авариям. Динамич. режимы реакторов непрерывного действия исследуют с помощью их мат. моделей в виде диффе-ренц. ур-ний в обыкновенных или частных производных.
Динамич. режимы непрерывно действующего реактора идеального смешения, в к-ром протекает экзотермич. р-ция первого порядка, описываются безразмерной системой ур-ний, составленной на основе материального (1) и теплового (2) балансов:


где х, у -переменные, пропорциональные соотв. концентрации реагирующего в-ва и т-ре в реакторе; x0, y0-те же переменные для потока на входе реактора; ут - переменная, пропорциональная т-ре окружающей среды; l-констан та, пропорциональная расходу потока на входе реактора, b-константа, пропорциональная коэф. теплопередачи и площади пов-сти теплообмена с окружающей средой; т-время.
Стационарные режимы реактора определяются условием dx/dт = dy/dт = 0. Решение ур-ний (1), (2) при этом дает значения xs и ys для стационарного состояния. В зависимости от параметров реактора стационарных состояний м. б. одно или три; в общем случае их всегда нечетное число.
Динамич. режимы исследуют с помощью фазовой плоскости x, у. Решения системы (1), (2) являются ф-циями времени х(т), y(т) и начальных условий. Каждому мгновенному состоянию реактора (рис. 2) в момент тк соответствует на плоскости х, у нек-рая точка М, наз. изображающей. При изменении т эта точка будет двигаться по фазовой плоскости; траектория точки наз. фазовой. Вся совокупность траекторий, отвечающих разл. начальным условиям, представляет собой фазовый портрет системы, к-рый однозначно отражает динамич. режимы.
Стационарные состояния реактора изображены на фазовых портретах спец. точками (А, В, С). Направление изменения режима реактора указывается стрелками. Если траектория стремится к стационарному состоянию, то оно устойчиво, а режим реактора работоспособен. Если траектория выходит из стационарного состояния, то оно неустойчиво. Исследования устойчивости стационарных состояний - одна из главных задач изучения динамич. режимов.
На рис. 2 представлены фазовые портреты системы, отражающие наиб. интересные динамич. режимы функционирования хим. реакторов. Портрет а соответствует режиму с единств. устойчивым стационарным состоянием А, при отклонении от к-рого переменные х и у стремятся в него вернуться. Спиральный характер траекторий на портрете б означает, что режим приближения к единств. стационарному состоянию А является колебательным затухающим.
Траектории на портрете в, отвечающие неустойчивому стационарному состоянию А, уходят от него и стремятся к замкнутой траектории Г, наз. предельным циклом. Движение изображающей точки по Г означает незатухающие колебания х и у. Исследования таких режимов (автоколебаний)-еще одна задача изучения динамич. режимов. Портрет г соответствует режиму с тремя стационарными состояниями, одно из к-рых неустойчиво. Принципиально возможен случай, когда все стационарные состояния неустойчивы. При этом они охватываются предельным циклом. Изучение динамич. режимов позволяет решать проблемы оптим. конструирования и автоматизации хим. реакторов.


Рис. 2. Фазовые портреты хим. реакторов: а-устойчивый режим с монотонным приближением к единств. стационарному состоянию А; б-устойчивый режим с колебат. приближением к состоянию А; в-автоколебат. режим, от стационарного состояния А режим переходит на предельный цикл Г; г-случай трех стационарных состояний, из к-рых А и С устойчивы, В-неустойчиво.
Лит.: Вольтер Б. В., Сальников И. Е., Устойчивость режимов работы химических реакторов, 2 изд., М., 1981; Aris R., Mathematical modelling techniques, S. F., 1979. Б. В. Вольтер.