Массообмeн

МАССООБМEН, необратимый перенос массы компонента смеси в пределах одной или неск. фаз. Осуществляется в результате хаотич. движения молекул (мол. диффузия), макроскопич. движения всей среды (конвективный перенос), а в турбулентных потоках - также в результате хаотич. движения вихрей разл. размера. Массообмен включает массоотдачу (перенос в-ва от границы раздела в глубь фазы) и массопередачу (перенос в-ва из одной фазы в другую через пов-сть раздела фаз). Различают эквимолярный массообмен (напр., ректификация), при к-ром через пов-сть раздела фаз в противоположных направлениях переносится одинаковое кол-во компонентов, и неэквимолярный (напр., абсорбция). Массообмен лежит в основе разнообразных процессов разделения и очистки в-в, объединяемых в класс массообменных процессов (см. схему). Мн. тепловые процессы, такие, как прокаливание, конденсация, выпаривание, испарение, а также гидромех. - флотация, промывание газов, перемешивание - сопровождаются массообменом. При проведении хим. процессов массообмен определяет скорость подвода в-в в зону р-ции и удаления продуктов р-ции. В большинстве случаев в массообмене участвуют две или более фаз, в к-рых концентрации целевого компонента при равновесии различаются. При взаимод. двух фаз в соответствии со вторым началом термодинамики их состояние изменяется в направлении достижения равновесия, к-рое характеризуется равенством т-р и давлений фаз, а также равенством хим. потенциалов каждого компонента в сосуществующих фазах. Движущая сила переноса к.-л. компонента из одной фазы в другую - разность химических потенциалов этого компонента во взаимодействующих фазах. Переход компонента происходит в направлении убывания его хим. потенциала. Массообмен осуществляется также под действием градиентов электрич. потенциалов (при электрофорезе, в электрохим. процессах), т-ры (напр., в термодиффузионной колонне для разделения изотопов) и др. Однако на практике движущую силу массообмена обычно выражают через градиент концентраций, что значительно упрощает связь между скоростью процесса и составом технол. потоков. В ряде случаев использование концентрац. движущей силы можно обосновать теоретически. Учет условий существования данного кол-ва фаз и законов распределения компонентов в них, определяемых фаз правилом и законами равновесия (см. Химическое равновесие), необходимо для понимания и анализа любого процесса массообмена. Термодинамич. теория фазовых равновесий разработана достаточно хорошо, хотя для практич. расчетов, когда это возможно, в ряде случаев надежнее использовать эксперим. данные, приводимые в справочной литературе. Условия контактирования фаз в процессах массообмена исключительно разнообразны. Так, при дистилляции в непосредств. контакте находятся насыщ. пар и кипящая жидкость, что способствует переносу менее летучих компонентов из пара в жидкость и более летучих - из жидкости в пар. В процессах адсорбции газовая или жидкая смесь разделяется в результате предпочтительной сорбции одного из компонентов на пов-сти твердого адсорбента. Кристаллизацию используют для выделения кристаллизующейся твердой фазы из р-ра путем создания условий пересыщения по нужному компоненту. Мембранные процессы разделения основаны на способности нек-рых тонких пленок или пористых перегородок пропускать одни соед. и задерживать другие. Операции сушки зависят от переноса как жидкости, так и пара внутри твердого тела и затем пара в осушающий газ. Все эти процессы, а также ионный обмен, сублимация и др. объединяются общими кинетич. закономерностями, определяющими скорость межфазного переноса массы. Последняя зависит от скорости мол. диффузии в неподвижной среде (см. Диффузия) и скорости конвективной диффузии - в движущейся среде, а также от специфич. условий на границе раздела фаз.
Конвективная диффузия. Перенос в-ва в движущейся среде обусловлен двумя разл. механизмами. Наличие разности концентраций в жидкости (газе) вызывает мол. диффузию; кроме того, частицы в-ва, растворенного в жидкости, увлекаются последней при ее движении и переносятся вместе с ней. Совокупность обоих процессов наз. конвективной диффузией. Для мат. описания конвективной диффузии в ламинарном потоке несжимаемой жидкости используют ур-ние:
641_667-17.jpg
где СА - концентрация диффундирующего компонента А, в моль/м3, t - время, в с, u - вектор скорости макроскопич. течения, в м/с, С - набла (оператор Гамильтона), div jA - дивергенция, jA - вектор плотности диффузионного потока (кол-во в-ва, переносимого путем диффузии в единицу времени через единицу площади пов-сти), в моль/(м2.с).
Массообменные процессы
Величину jA находят из ур-ния:

jA= -DABgrad CA, (2)

где DAB - коэф. мол. диффузии компонента A, в м2/с, grad СА -градиент поля концентрации. В случае турбулентного потока в ур-нии (1) СА и и заменяют на усредненные по времени величины 641_667-19.jpg и 641_667-20.jpg, а правую часть ур-ния дополняют выражением для дивергенции плотности турбулентного потока распределяемого компонента А (см. Турбулентная диффузия). Поскольку можно принять, что турбулентная и мол. диффузия независимы, то в этом случае
641_667-21.jpg
где EM - коэф. турбулентной диффузии, в м2/с. Решение ур-ния конвективной диффузии кроме начальных и граничных условий для СА требует знания поля скоростей. Последнее требование в реальных условиях редко выполняется и поэтому строгие решения ур-ния (1) получены только для отдельных простых случаев. При наличии хим. р-ций в системе правая часть ур-ния (1) должна быть дополнена членом, характеризующим расход компонента на р-цию в единице объема за единицу времени. О влиянии хим. превращ. и их взаимосвязи с процессами переноса массы в гетерог. системах с твердой фазой см. в ст. Макрокинетика; Массообмен, осложненный хим. р-циями в газо-жидкостных системах, рассмотрен в ст. Абсорбция.
Коэффициент массоотдачи. Во мн. случаях массоотдачи, особенно к турбулентному потоку или от него, наиб. резкое падение градиента концентрации по нормали к границе раздела фаз сосредоточено в тонком слое, прилегающем к этой границе, на к-рой, как правило, существует равновесие. Учитывая это, удобно ввести для расчета процессов переноса в-ва в пределах данной фазы от границы раздела в глубь потока (в ядро потока) или из ядра потока к межфазной пов-сти коэф. массоотдачи b в виде отношения плотности диффузионного потока к характеристич. разности концентраций. Тогда

jA = bAi-СA), (4)

где СAi - равновесная концентрация на границе раздела фаз. Соотношение (4) поясняет физ. смысл коэф. массоотдачи и математически выражает экспериментально установленный факт, наз. иногда законом Щукарева, - кол-во в-ва, перенесенное в единицу времени через единицу площади пов-сти, пропорционально разности концентраций у пов-сти раздела фаз и в ядре потока. Движущая сила в ур-нии (4) м. б. выражена в разл. единицах, используемых для описания состава фаз, в соответствии с чем меняются и размерности b. Hаиб. употребит. соотношения следующие:

jA = bCAi - CA) =byAi - уA) = bG(pAi-pA), (5)

где jA - имеет размерность моль/(м2.с), СА и СAi - моль/м3, bC - м/с, уA и уAi - молярная доля компонента А соотв. в ядре потока и на границе раздела фаз, by - моль/(м2.с), рА и рAi - парциальные давления компонента А в газовой (паровой) фазе соотв. в ядре потока и на границе раздела фаз, в Па, bG - моль/(м2.с.Па). Зная соотношения между разл. способами выражения состава фаз, нетрудно пересчитать значение коэф. массоотдачи в любой системе единиц. Количеств. зависимости, как теоретич., так и экспериментальные, для скорости массоотдачи в данной фазе часто записывают в обобщенных переменных, имеющих смысл критериев подобия (см. Подобия теория). Анализ методами теории подобия ур-ния конвективной диффузии (1) позволяет получить диффузионное число Фурье Fo' = DABt/l2 (где l - характерный линейный размер, в м), к-рое характеризует изменение потока диффундирующей массы во времени и необходимо только для характеристики нестационарных процессов, а также диффузионное число Пекле Ре' = ul/DAB. К этим величинам должны быть добавлены безразмерные параметры, получаемые из ур-ния движения: число Рейнольдса Re = ul/n, где n - кинематич. вязкость, в м2/с; число Фруда Fr, а для случая естеств. конвекции также число Грасгофа для массообмена Gr'. Число Пекле часто преобразуют к виду Ре' = ReSc, где Sc = n/DAB - число Шмидта. Определяемый параметр в виде безразмерной формы коэф. массоотдачи находят из граничного условия на пов-сти раздела фаз:

jA = bC(CAi - CA) = - DAB (grad СА)i , (6)

где (grad СА)i - величина градиента концентрации компонента А на границе раздела фаз по нормали к ней. Соотношение (6) отражает тот факт, что поток в-ва на межфазной границе непрерывен и определяется только мол. диффузией. Из соотношения (6) нетрудно получить безразмерный параметр Sh = bl/DАB, наз. числом Шервуда. Для установившегося вынужденного течения, когда влиянием объемных сил можно пренебречь, справедливы функцион. зависимости:

Sh = f (Re, Sc), (7)

Sh = const RenScm. (7a)

Соотношения вида (7) и (7а) - наиб. часто используемые формы безразмерных зависимостей для расчета коэф. массоотдачи. Величины const, n и m определяют экспериментально или получают в результате преобразования к безразмерному виду теоретич. решения. Так, решение задачи стационарной массоотдачи от твердой сферич. частицы диаметром d в бесконечную неподвижную жидкость приводит к постоянному значению числа Шервуда Sh = bC d/DAB = 2. Простейшим примером конвективной диффузии может служить решение ур-ния (1) для случая массоотдачи от пластины к продольному потоку несжимаемой жидкости. При ламинарном пограничном слое теоретич. решение легко преобразовать к виду

Shx = 0,332 Rex1/2Sc1/3, (8)

где Shx = bC x/DAB, Rex = Ux/n, х - расстояние от передней кромки пластины, в м, (U - скорость набегающего потока, в м/с, bC = jA/(CAi - СА) - локальный коэф. массоотдачи на расстоянии х. Коэф. b для описания элементарных актов массообмена в стекающих пленках, пузырях, каплях, струях и пр. находят также с помощью ряда упрощенных теоретич. моделей или на основе аналогии между процессами переноса кол-ва движения, теплоты и массы. наиб. известны модели "неподвижной пленки", турбулентного пограничного слоя и "проницания". В модели неподвижной пленки принимается, что у границы раздела фаз существует тонкий слой жидкости (газа), в к-ром сосредоточен весь градиент концентрации, и перенос через этот слой происходит исключительно вследствие мол. диффузии. Толщина этого слоя d подбирается такой, чтобы получить экспериментально наблюдаемое значение b = DAB/d. С помощью этой модели нельзя предсказать значение d, однако модель позволяет вполне надежно рассчитывать скорость массоотдачи при одновременном протекании хим. р-ции, если проводить сопоставление со скоростью в тех же условиях при отсутствии р-ции. Осн. недостаток модели состоит в том, что она дает зависимость b ~ DAB, к-рая не подтверждается экспериментально. Развитие теории пограничного диффузионного слоя и эксперим. данные показали, что толщина этого слоя зависит от гидродинамич. условий, причем величина d связана с толщиной гидродинамич. пограничного слоя d0 соотношением

d ~ d0Sc-1/3 (9)

Если в соотношение (9) подставить значение d0, напр. для ламинарного пограничного слоя, обтекающего пластину, 641_667-22.jpg , и записать b = DAB/d, то после несложных тождеств. преобразований получим с точностью до постоянной теоретич. соотношение (8). Таким образом оказывается, что для массоотдачи от твердой стенки в ламинарный пограничный слой b ~ DAB2/3. Модель турбулентного пограничного слоя описывает перенос между фиксированной границей раздела и турбулентным потоком жидкости (газа). Для определения плотности потока в-ва используют выражение (3), пренебрегая конвективным массообменом. По известному значению потока и разности между средней концентрацией и концентрацией вблизи стенки вычисляют b. Так, применение этой модели к массоотдаче от твердой сферич. частицы, взвешенной в турбулентном потоке жидкости, позволяет получить b = 0,267Sc-3/4(en)1/4, где e - скорость диссипации энергии, в Вт/кг. Ур-ние справедливо для частиц с диаметром d > 100 мкм. Осн. трудность заключается в определении зависимости ЕM от расстояния от стенки у (в м). Обычно принимают ЕM ~ y3 или ЕM ~ у4. Предложено много эмпирич. и полуэмпирич. зависимостей для определения ЕM. В целом, модели пограничного слоя лучше всего описывают процессы массообмена на твердых фиксированных пов-стях. К границе раздела между газом и жидкостью, по-видимому, более применимы модели нестационарного массообмена (см. ниже). Так, в модели проницания рассматривается процесс неустановившейся диффузии за характерный для данной системы (движущиеся пленки, пузыри, капли) короткий промежуток времени контакта двух фаз te. Конвективным переносом пренебрегают. В этом случае выражение для среднего за время tе коэф. массоотдачи имеет вид
641_667-23.jpg
Из модели проницания следует, что b ~ DAB1/2. Эта зависимость получила подтверждение в многочисл. эксперим. работах по массообмену на границе раздела газ (пар) - жидкость. В ряде простых случаев удается оценить время te, что делает возможным использование ур-ния (10). Так, при ламинарном отекании пленки жидкости по вертикальной пов-сти высотой l время контакта элемента пов-сти с газовой фазой (напр., при абсорбции) te = l/ui, где ui - скорость на пов-сти пленки жидкости. В этом случае безразмерная форма выражения (10) имеет вид

Sh = bq/DAB = 0,725 Re1/3SC1/2 (q/l)1/2, (11)

где q = (n2/g)1/3 - приведенная толщина пленки, в м, g - ускорение своб. падения, в м/с2. Соотношение (11) подтверждается экспериментально для случая кратковременного контакта газа с гладкой пленкой жидкости. Для турбулентных потоков существ. дополнением теории проницания явилась теория обновления пов-сти П. Данквертса. Он предположил, что турбулентные пульсации достигают границы раздела фаз, представляющей собой мозаику обновляющихся элементов пов-сти, каждый из к-рых характеризуется своим временем жизни в пределах от нуля до бесконечности. Усредненный по времени коэф. массоотдачи в этом случае имеет вид:
641_667-24.jpg
где s - скорость обновления пов-сти, в с-1. Как правило, значения s неизвестны и ур-ние (12) используют гл. обр. для анализа и интерпретации эксперим. данных. В отдельных случаях величина s м.б. определена, однако для этого необходимы детальные сведения о структуре турбулентности вблизи границы раздела жидкость - газ. Согласно выражению (12) b ~ DAB1/2. Для определения коэф. массоотдачи используют также аналогию между массоотдачей, теплоотдачей (см. Теплообмен) и переносом кол-ва движения, основанную на сходстве ур-ний, описывающих соответствующие потоки. Простейшая форма таких соотношений - известная аналогия Рейнольдса:
641_667-25.jpg
согласно к-рой число Стантона St пропорционально коэф. трения Фаннинга f = t0/ru2, где t0 - касательное напряжение на стенке, в Па, r - плотн. среды, в кг/м3 (напр., для турбулентных потоков в гладких трубах f = 0,0791 Re-1/4). Соотношение (13) можно использовать только при Sc ~ 1. Т. Чильтон и А. Кольборн предложили эмпирич. соотношение:

St = (0,5f)Sc-2/3. (14)

Оно является одним из наиб. полезных и определенно простейшим среди мн. выражений, связывающих перенос массы, теплоты и кол-ва движения. Экспериментально установлено, что соотношение (14) справедливо для турбулентных потоков жидкостей и газов в интервале Sc от 0,6 до 3000 и выше. Существенным для соотношений (13) и (14) является то, что f в них характеризует поверхностное трение. Поэтому в случае плохо обтекаемых тел, когда преобладает сопротивление формы, эти соотношения неприменимы. Изложенные выше теоретич. методы, модели и аналогии позволяют определять коэф. массоотдачи в движущихся сплошных фазах только в отдельных, хотя и многочисленных, случаях на пов-стях с простой конфигурацией. Обычно конкретный вид зависимости этих коэф. от рабочих параметров процесса устанавливают опытным путем для каждого типа аппаратов. Массообмен в системах с твердой фазой (напр., в случаях адсорбции, сушки, экстрагирования из твердых тел) кроме рассмотренной выше массоотдачи от пов-сти раздела фаз в поток жидкости (газа, пара) включает и перемещение в-ва в твердом теле по разл. механизмам. Различают: 1) непористые материалы, в к-рых поглощение распределяемого в-ва определяется механизмом абсорбции, а его перемещение - мол. диффузией; 2) капиллярнопористые материалы, когда перенос распределяемого в-ва происходит по системе пор; 3) коллоидные капиллярнопористые материалы, в к-рых стенки пор проницаемые и перенос массы осуществляется в результате суммарного действия механизмов, характерных как для непористых, так и для капиллярнопористых материалов. Для описания внутр. массообмена в системах с пористой твердой фазой пользуются т. наз. коэффициентами "стесненной диффузии", т. к. в пористом материале коэф. диффузии всегда меньше соответствующего DAB в сплошной среде.
Коэффициент массопроводности. Более общий кинетич. подход к описанию процессов массообмена в системах с твердой фазой основан на понятии массопроводности. Определением коэф. массопроводности ks служит ур-ние (2), если в нем DAB заменен на ks. Принимают, что плотность потока в-ва, переместившегося в пористой твердой фазе в результате массопроводности, пропорциональна градиенту концентрации. Коэф. ks не является постоянной величиной. Он зависит от природы процесса, структуры твердого пористого тела (величины и конфигурации пор, распределения пор по размерам, характера соединения их между собой), энергетич. состояния пов-сти стенок пор, степени физ.-хим. сродства молекул распределяемого в-ва и твердого тела, т-ры, физ.-хим. св-в системы. Дифференц. ур-ние массопроводности имеет вид

дcAt = div(ks gradCA). (15)

В общем случае ks - ф-ция концентрации распределяемого в-ва. Это обстоятельство - естеств. результат того, что с изменением концентрации происходит, по существу, изменение системы твердое тело - распределяемое в-во. Ур-ние (15) должно быть дополнено ур-нием типа (6), характеризующим условия на границе раздела твердой и жидкой (газовой, паровой) фаз:

- ks(дCA/дx) = bC(CAi - CA). (16)

Методы теории подобия позволяют из ур-ния (15) получить диффузионное число Фурье в виде Fo' = kst/l2, а из ур-ния (16) - диффузионное число Био Bi' = bCl/ks. Дифференц. ур-ние массопроводности для простейших случаев одномерного перемещения в-ва связывает число подобия (СА — CAi)/(CAo — CAi), представляющее собой безразмерную концентрацию распределяемого в-ва в твердой фазе в точке с координатой х (САо - начальная концентрация компонента A, СА - его концентрация в точке с координатой х в момент времени t), функцион. зависимостью с числами Fo' (в момент времени t) и Bi' и безразмерной координатой точки x/d (d - определяющий размер тела, составляющего твердую фазу), в к-рой концентрация равна СА. Коэф. ks обычно определяют экспериментально.
Коэффициент массопередачи. При расчете скорости массообмена между двумя фазами часто используют коэф. массопередачи, определением к-рых служит ур-ние массопередачи:

jA = Ky(yA - yA*), (17)

где Ку - коэф. массопередачи, в моль/(м2.с), отнесенный к гипотетич. движущей силе в фазе Y (газ, пар), уA - мольная доля компонента А в ядре потока фазы, уA* - мольная доля компонента А, отвечающая равновесию со всей фазой х (жидкость). Аналогично можно найти коэф. массопередачи Кх и движущуюся силу (хA* - xА), где хA - мольная доля А в ядре потока фазы, xA* - мольная доля A, отвечающая равновесию со всей фазой Y. Связь между коэф. массоотдачи в фазах и коэф. массопередачи находят на основе двухпленочной модели Льюиса и Уитмена. Предполагают существование двух тонких концентрац. слоев вблизи границы раздела фаз ("пленочная" модель) и принимают условия равновесия на границе раздела фаз, хорошо подтвержденное многочисл. экспериментами. Очевидное соотношение jA = bхАi - xА) = byA - уAi) = КуА — уА*) позволяет найти:

1/Ky = 1/by + m/bx , (18)

где т = (yAi — yA*)/(xAi - хA), xAi и yАi - равновесные концентрации А на границе раздела фаз; m - тангенс угла наклона равновесной линии (в координатах xА, уA) в интервале концентраций от хA, уA* до xAi, yAi. Выражение (18) записано для локального коэф. массопередачи Ку. Величины, обратные коэф. массоотдачи, имеют смысл сопротивлений переносу в-ва в соответствующих фазах и наз. фазовыми сопротивлениями переносу в-ва. Соотношение (18) наз. иногда ур-нием аддитивности фазовых сопротивлений. Линейные соотношения (18) между общим (1/Ку) и фазовыми "сопротивлениями являются строгими только при линейном соотношении между составами равновесных фаз (закон Генри). Последнее условие наблюдается всегда для локальных коэф. при малом изменении движущей силы. При искривленной линии равновесия необходимо учитывать изменение m с концентрацией. Коэф. массопередачи для фаз х и у связаны соотношением 1/Кх / 1/т'Ку, где т' = (yA - yA*)/(хA* — хA). Ограничения, связанные с кривизной равновесной линии, становятся несущественными в случаях, когда процесс контролируется сопротивлением газовой, паровой (1/bу >> m/bx) или жидкой (1/bх >> mbу) фазы. Принцип аддитивности фазовых сопротивлений нельзя надежно использовать до тех пор, пока надлежащим образом не определены все сопротивления. Если на границе раздела фаз имеется ПАВ, то необходимо учитывать диффузионное сопротивление пов-сти раздела. Кроме того, наличие ПАВ меняет гидродинамич. структуру потока вблизи границы раздела, что отражается на величине bx или bу, либо обоих коэф. одновременно. Даже когда пов-сть чистая, под воздействием массопередачи может возникнуть поверхностная конвекция, к-рая значительно повышает преим. bх, но может отразиться и на by. Конвективные потоки на пов-сти в виде регулярных структур появляются вследствие возникновения локальных градиентов поверхностного натяжения (эффект Марангони), из-за естеств. конвекции вследствие разности в плотностях у границы раздела и в ядре фазы и по ряду др. причин. При расчетах движущей силы весьма существенным является также учет тепловых эффектов в процессах массообмена. Вблизи границы раздела фаз могут возникнуть достаточно большие градиенты т-ры, приводящие к существ. изменению истинных равновесных концентраций. При учете всех названных явлений расчет кинетики массообмена на основе коэф. массоотдачи достаточно обоснован. Если определение истинной пов-сти контакта фаз затруднено, в практич. расчетах массообмена используют условные коэф. массоотдачи bуа и bхa, где а - площадь пов-сти контакта фаз (в м-1), приходящаяся на 1 м3 объема аппарата. Тогда кол-во в-ва GA (в моль/с), переданного в единицу времени, при рабочем объеме аппарата V = HF, где H - высота рабочей зоны аппарата, F - площадь его поперечного сечения, составит
641_667-26.jpg
где 641_667-27.jpg - средняя движущая сила массообмена. Произведение Куа иногда наз. объемным коэф. массопередачи. При этом
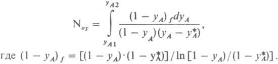
641_667-28.jpg
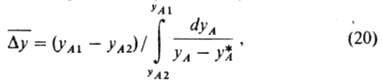
где yA1, yA2 - соотв. начальная и конечная локальные концентрации перераспределяемого компонента А в газовой (паровой) фазе. В случаях, когда линии фазового равновесия и рабочие линии процесса (ур-ние материального баланса) являются прямыми,
641_667-29.jpg
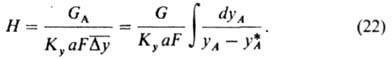
где Dy1 = (yA1 - yA1*), Dy2 = (уА2 - yA2*) - движущие силы в начале и в конце пов-сти фазового контакта. Средняя движущая сила массообмена может быть отнесена к любой из двух фаз рассматриваемой системы (можно использовать Кх и 641_667-30.jpg). Из ур-ний (19)-(21), учитывая, что GA = G(yA1 - уА2), где G - расход газовой фазы (в моль/с), находят рабочую высоту аппарата:
641_667-31.jpg
Интеграл в правой части ур-ния (22) представляет собой нек-рое безразмерное число N, определяемое величиной движущей силы и пределами изменений концентраций, а величина G/KyaF, имеющая размерность высоты, на к-рой переносится в-во, характеризует скорость массообмена и наз. общей высотой единицы переноса hoy. По принципу аддитивности фазовых сопротивлений hоу связана с величинами фазовых высот соотношением:
641_667-32.jpg
где hy и hx - высоты единицы переноса в газовой и жидкой фазах соотв., L - расход жидкой фазы (в моль/с), параметр mG/L = l наз. иногда фактором диффузионного потенциала. Аналогичная ур-нию (23) зависимость м. б. записана и для hох. Значения hox, hoy, hx, hy определяют, как правило, на основании опытных данных или рассчитывают по известным коэф. массоотдачи. Т. обр., высоту Н находят из ур-ния:

H = hoyNoy = hoxNox. (24)

Безмерные величины 641_667-33.jpg выражают перепады концентраций компонента А, приходящиеся на единицу локальной движущей силы, и наз. числами единиц переноса. Число единиц переноса при однонаправленной диффузии (абсорбция, экстракция) определяется ур-нием:
641_667-34.jpg
Связь между Noy и Nox м. б. найдена из соотношения между тангенсом угла наклона линии равновесия т и рабочей линии процесса L/G:

Noy/Nox=1/l, hoy = hoxl.

Изложенный выше метод расчета кинетики массообмена применим гл. обр. к аппаратам с непрерывным контактом фаз - насадочным, пленочным, роторным. Эффективность массообменного аппарата м. б. выражена также через число теоретич. ступеней контакта или число теоретич. тарелок, а кинетич. характеристика - через кпд, что часто используется для описания массообмена в колоннах с дискретным контактом фаз (см. Тарельчатые аппараты), или через высоту, эквивалентную теоретич. ступени контакта. Число теоретич. тарелок м. б. найдено аналитически путем совместного решения ур-ний, описывающих равновесную и рабочую линии процесса, или графически. В последнем случае строятся ступени между рабочей и равновесной линиями в пределах заданных концентраций. Следует иметь в виду, что одна теоретич. тарелка выражает одно изменение движущей силы по газовой DуА и одно по жидкой DxА фазам, причем число теоретич. тарелок и движущая сила процесса находятся в обратном соотношении, т. е. чем больше движущая сила, тем меньше потребуется теоретич. тарелок для заданного разделения. Действительное число тарелок, к-рое необходимо установить в аппарате, определяется с помощью кпд. Различают: кпд колонны h, кпд тарелки hT и точечный кпд hO. Кпд колонны - отношение числа теоретич. тарелок п к числу тарелок пд, практически установленных в колонне, т. е. h = п/пд. Среднюю эквивалентную высоту теоретич. ступени контакта (теоретич. тарелки) hэ = H/n, где H - высота слоя насадки (в м), используют чаще всего для описания кинетики массообмена в посадочных аппаратах и пленочных аппаратах. Локальный (или точечный) кпд hO представляет собой отношение разности концентрации пара (газа), поднимающегося в данной точке тарелки, и среднего состава пара (газа), поступающего на эту тарелку, к разности равновесной концентрации пара, отвечающей составу жидкости, покидающей эту тарелку, и среднего состава пара, поступающего на нее. Кпд тарелки hT, или кпд Мерфри, представляет собой отношение изменения среднего состава пара (газа) или жидкости на тарелке к изменению состава при достижении равновесной концентрации в результате контакта фаз на тарелке. По значениям hO и hT оценивается эффективность тарелки. Соотношение между ними определяет степень смещения жидкости на тарелке. При полном перемешивании жидкости и пара значения hO и hT для каждой фазы совпадают. Связь между разл. способами выражения движущей силы и кинетич. характеристик устанавливается в виде след. соотношений

1 - hO = ехр[-KyaFH/G] = exp(-Noy);

hTx = Nox/(1 + Nox); hoy/hэ = n/Noy = (l + 1)/ ln l.

Если линия равновесия и рабочая линия параллельны, то mG/L = l = 1 и hэ = hоу = hох. Т. обр., при расчете процессов массопередачи движущую силу процесса и кинетику массообмена принято выражать тремя способами: 1) движущую силу процесса - через разность концентраций, а кинетику - через коэф. массопередачи; 2) движущую силу процесса - косвенно, через число единиц переноса и параметр l, а кинетику - через высоту единицы переноса; 3) движущую силу процесса - косвенно, через число теоретич. ступеней контакта или через число теоретич. тарелок, а кинетику - через кпд или через высоту, эквивалентную теоретич. ступени контакта.
Массообменные аппараты. Эти аппараты конструируют таким образом, чтобы в них создавались макс. пов-сть массообмена, миним. гидравлич. сопротивление при макс. интенсивности межфазного переноса. Обычно стремятся уменьшить габариты аппарата с целью снижения материалоемкости и обеспечить экологич. чистоту отходящих потоков. В основу классификации массообменных аппаратов положен принцип образования межфазной пов-сти: 1) аппараты с фиксированной пов-стью фазового контакта; к этому типу относятся насадочные и пленочные аппараты, а также аппараты (для сушки, с псевдоожижением), в к-рых осуществляется взаимод. газа (жидкости) с твердой фазой; 2) аппараты с пов-стью контакта, образуемой в процессе движения потоков; среди аппаратов этого типа наиб. распространены тарельчатые, для к-рых характерно дискретное взаимод. фаз по высоте аппарата; к этому классу следует также отнести насадочные колонны, работающие в режиме эмульгирования фаз, и аппараты, в к-рых осуществляется массообмен в системе жидкость - жидкость (экстракция); 3) аппараты с внеш. подводом энергии - аппараты с мешалками (см. Перемешивание), пульсационные аппараты, вибрационные (см. Вибрационная техника), роторные аппараты и др. Осн. параметры при расчете массообменных аппаратов -диаметр аппарата D и его высота H или длина зоны контакта, необходимая для завершения процесса разделения до заданных конечных концентраций. Эта величина определяется на основе кинетич. расчета, изложенного выше. Диаметр аппарата зависит от скорости сплошной фазы U, рассчитываемой для полного сечения аппарата и наз. приведенной скоростью. Для оценки предельно допустимого значения U часто используют фактор 641_667-35.jpg , где rG - плотн. газовой (паровой) фазы. Эффективность работы массообменных аппаратов оценивают в осн. энергетич. затратами на массообмен и капитальными вложениями. При расчете и конструировании массообменных аппаратов исключительно важное значение имеют вопросы масштабного перехода от лаб. условий к промышленным, а также проблемы моделирования и оптимизации. Ближайшие и отдаленные перспективы хим. технологии несомненно связаны с развитием массообменных процессов и аппаратов. Пути снижения энергo- и материалоемкости существующих произ-в в осн. сводятся к совершенствованию тепломассообменных процессов. Эффективность защиты окружающей среды от газовых выбросов и пром. сточных вод определяется успехами катализа и в равной мере эффективностью массообменных процессов, таких, как абсорбция, экстракция, адсорбция и др. Hаиб. перспективные пути интенсификации массообменных процессов - использование явлений самоорганизации на межфазной пов-сти (напр., в результате возникновения локальных градиентов поверхностного натяжения), организованная нестационарность массопередачи, воздействие пульсаций и вибраций, звуковых и ультразвуковых колебаний, электрич. и магн. полей, разработка новых гидродинамич. режимов и направленное совмещение хим. и массообменных процессов.

Литература
Берд Р., Стьюарт В., Лайтфут Е., Явления переноса, пер. с англ., М., 1974; Кафаров В. В., Основы массопередачи, 3 изд., М., 1979; Рудобашта С. П., Массоперенос в системах с твердой фазой, М., 1980; Шервуд Т. К., Пигфорд Р., Уилки Ч., Массопередача, пер. с англ., М., 1982; Плановский А. Н., Николаев П. И., Процессы и аппараты химической и нефтехимической технологии, 3 изд., М., 1987; Броунштейн Б. И., Щеголев В. В., Гидродинамика, массо- и теплообмен в колонных аппаратах, Л., 1988. Н.Н. Кулов.