Рамберга-Бэклунда реакция
РАМБЕРГА-БЭКЛУНДА РЕАКЦИЯ (Рамберга - Бэклунда перегруппировка), синтез олефинов действием сильных оснований (В-) на a-галогенсулъфоны, содержащие хотя бы один атом Н в a-положении к группе SO2:

Р-цию обычно осуществляют нагреванием галогенсульфона с большим избытком основания: с водными или воднодиок-сановыми р-рами щелочей при 50-100 °С; с CH3ONa в СН3ОН при кипячении; с (СН3)3СОК в (СН3)3СОН или ТГФ при 0-65 °С. В продуктах р-ции преобладают цис-изо-меры, за исключением тех случаев, когда в качестве основания используют (СН3)3СОК. Скорость р-ции в зависимости от природы галогена в а-положении увеличивается в ряду: С1 < Вr < L
Циклич. a-галоген-a-сульфонилкетоны раскрывают цикл с образованием непредельных к-т, напр.:

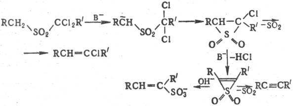
a,a- и a,a'-Дигалогенсульфоны в условиях Рамберга - Бэклунда реакции образуют три типа продуктов (ацетилены, винилхлориды и a,b-ненасыщенные сульфокислоты):

При использовании в р-ции a,a,a-трихлорметилсульфонов преобладают дихлорпроизводные сульфокислот, напр.:

Общепринятый механизм р-ции включает стадии образования а-карбаниона (ф-ла I), элиминирование галогенид-аниона с образованием тииран-1,1-диоксида (лимитирующая стадия), а затем SO2:

Последняя стадия протекает в осн. стереоспецифично как цис-элиминирование и м. б. описана как разрешенная по симметрии нелинейная хелетропная реакция.
Наиб. важная модификация Рамберга - Бэклунда реакции - взаимод. сульфонов с СС14 и КОН в (СН3)3СОН. При этом сульфон легко хлорируется и образующийся a-хлорсульфон реагирует по приведенной выше схеме.
Рамберга - Бэклунда реакцию широко применяют в лаб. практике. Она открыта в 1940 Л. Рамбергом и Б. Бэклундом.
Лит.: Общая органическая химия, пер. с англ., т. 5, М., 1983, с. 240-43; Марч Дж., Органическая химия, пер. с англ., т. 4, М., 1988, с. 67-69; Bord-well F. G., "Ace. Chem. Res.", 1970, v. 3, № 9, p. 281-90; Schneller S., "Int. J. Sulfur Chem.", 1973, v. 8, № 3, p. 485-503; Magnus Ph. D., "Tetrahedron", 1977, v. 33, № 16, p. 2019-45; Paquette L, "Organic Reactions", v. 25, N. Y., 1977, p. 1-71.
Ф. М. Стоянович.