Берберин

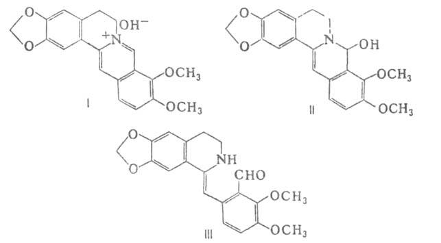
БЕРБЕРИН, диизохинолиновый алкалоид, содержащийся в растениях семейств лютиковых (Ranunculaceae), барбарисовых (Berberidaceae), луносемянниковых (Menispermaceae), рутовых (Rutaceae) и др. Светло-желтые кристаллы, т. пл. 144°С Раств. в воде (19%) и этаноле (1%). Известны 3 формы берберина: четвертичное аммониевое основание (ф-ла I), аминоспирт (II) и аминоальдегид (III). Форма I существует только в р-рах. Берберин кристаллизуется из воды или водного р-ра этанола с 5,5 молекулами Н2О, при 100°С теряет 3 молекулы Н2О, при 160°С разлагается. Из хлороформа выделяется в виде комплекса с 1 молекулой СНС13 (т. пл. 179°С). Вступает в р-ции, характерные для аминоспиртов и аминоальдегидов, напр. в р-ции Канниццаро и Гриньяра, взаимод. с гидроксиламином с образованием альдоксима. Соли берберина окрашены в желтый или желто-красный цвет; т. пл. сульфата 270 °С, пикрата 234 °С, иодида 262 °С (с разл.), хлорида 189°С.
1054-20.jpg

Количественно берберин определяют фотометрически по интенсивности окрашивания р-ров в присут. Вr2 при подкислении, а также гравиметрически или титриметрически с пикролоновой к-той (нитрофенилнитрометилпиразолоы). Получают берберин в виде сульфата из корней барбариса обыкновенного (Berberis vulgarus) и луба барбариса амурского (Berberis amurensis), содержащих соотв. 1,5 и 1,7% берберина.

Берберин снижает артериальное давление, ослабляет сердечную деятельность, вызывает сокращение гладкой мускулатуры матки и кишечника, усиливает отделение желчи. Применяют для лечения лейшманиоза и малярии, а также как желчегонное ср-во. ЛД50 9,55 мг/кг (белые мыши; внутривенно).

Литература

С а д р и т д и н о в Ф. С, К у р м у к о в А. Г., Фармакология растительных алкалоидов и их применение в медицине, Тащ., 1980; Shamma M., The isoquinoline alkaloids, v. 1, N.Y., 1972, p. 308-11. В. И. Виноградова.

Синонимы/примеры:* Берберинсульфат; Берберина бисульфат; Берберина сульфат; Умбеллинин
*подобраны ИИ, возможны неточности