Вестерберга реакция

ВЕСТЕРБЕРГА РЕАКЦИЯ, дегидрирование 6-членных алициклич. соед. (в т.ч. конденсированных) с образованием ароматич. кольца (ароматизация) при нагр. со стехиометрич. кол-вом серы. Р-цию проводят в среде высококипящего р-рителя (напр., в триглиме или хинолине) или без него. Производные циклогексана дегидрируются при 350-500°С, соед. с двойными связями и геминальными заместителями в цикле, а также конденсированные соед. - при 200-250°С. наиб. выходы достигаются при ароматизации соед. с двумя двойными связями, напр.:
1069-39.jpg

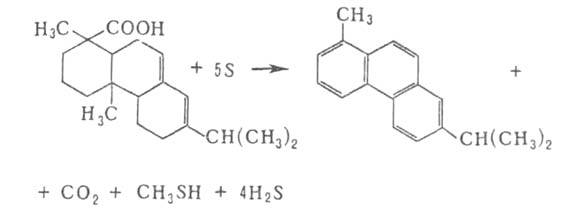
При наличии геминальных заместителей отщепляется обычно только один из них. В этом случае легче других элиминирует группа СООН, как, напр., в абиетиновой к-те:
1069-40.jpg

Р-ция, подобная Вестерберга реакции, происходит при дегидрировании сесквитерпенов азуленового ряда, напр.:
1069-41.jpg

Вестерберга реакция применяется в препаративном синтезе как мягкий метод дегидроароматизации, редко осложняющийся перегруппировками и глубокой деструкцией скелета молекулы исходного соединения. Раньше эта р-ция применялась также для установления строения природных соед., напр. стероидов. Недостатки Вестерберга реакции - низкие выходы и образование трудноразделяемых смесей серосодержащих соединений.

Р-ция открыта А. Вестербергом в 1903; возможность использования ее для аналит. целей впервые показал Л. Ружичка в 1924. А. В. Чепраков.