Пирокатехин
ПИРОКАТЕХИН (1,2-дигидроксибензол), ф-ла I, мол. м. 110,11; бесцв. кристаллы с запахом фенола, на свету и воздухе окрашиваются в коричневый цвет; т. пл. 105 0C, т. кип. 240 0C, 176 0C/ 100 мм рт. ст.;
1,371;
1,604; рКа 5,18 (18 0C). Хорошо раств. в диэтиловом эфире, ацетоне, этаноле, воде, пиридине, хуже-в бензоле, хлороформе, CCl4

Пирокатехин обладает св-вами фенолов. С основаниями образует моно- и дисоли; со мн. металлами (напр., Ti, Zr, Nb, Sn, Pb) хелаты. Пирокатехин-сильный восстановитель. По гетеролитич. механизму, напр. под действием солей Ag, окисляется в о-бензохинон, по гомолитическому, напр. O2 воздуха,-в хинон ф-лы пирокатехина.

Сплавление пирокатехина с фталевым ангидридом приводит к образованию красителей-ализарина (ф-ла III) и гистазарина (IV):
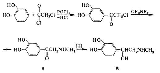
Изобутиленом пирокатехин легко алкилируется по р-ции Фриделя-Крафтса с образованием смеси 3- и 4- трет-бутилпирокате-хинов. С хлорангидридом хлоруксусной к-ты в присут. POCl3 или AlCl3 и послед, действием CH3NH2 превращ. в адреналон (V), восстановлением к-рого получают адреналин (VI):
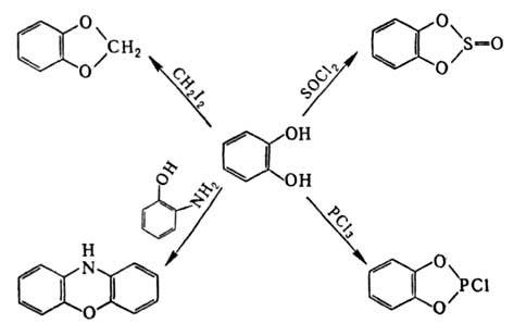
Пирокатехин образует разл. производные, вступая в р-ции с CH2I2, фосгеном, хлорангидридами K-T, аминофенолом и др. соед., напр.:
Пирокатехин и нек-рые его производные обнаружены в растениях и м. б. выделены, напр. из древесины и нек-рых прир. смол. Монометиловый эфир пирокатехина-гваякол и диметиловый эфир-вератрол, встречающиеся в дегте, применяют в произ-ве душистых в-в и лек. ср-в.
Для качеств. определения пирокатехина используют р-цию с FeCl3, сопровождающуюся появлением зеленого окрашивания, переходящего в красное при добавлении соды и аммиака.
В пром-сти пирокатехин получают щелочным плавлением о-хлорфе-нола или о-фенолсульфокислоты. Используют пирокатехин в произ-ве гваякола, ализарина и адреналина, при крашении меха, а также в качестве проявителя в фотографии.
Пирокатехин при попадании на кожу вызывает раздражение; ЛД50 100мг/кг (мыши, перорально). ПДК в воде 0,1 мг/л.
Лит.: Общая органическая химия, пер. с англ., т. 2, M., 1982, с. 265; Kirk-Othmer encyclopedia, 3 ed., v, 13, N. Y., 1981. Г. И. Пуца.