Бензохиноны

БЕНЗОХИНОНЫ, мол. м. 108,10. Существуют в виде двух изомеров-1,2- и 1,4-бензохинона (ф-лы соотв. I и II).

1,2-Бензохинон (3,5-циклогексадиен-1,2-дион; о-бензохинон; о-хинон) - ярко-красные кристаллы; т. разл. 70-80°С, окислит.-восстановит. потенциал Е° — 0,795 В (Н20; 25 °С);1054-4.jpg 17,03*10-30 Кл*м (бензол; 20°С); раств. в воде, спирте, легко - в эфире, гексане, хлороформе; в р-рах неустойчив.
1054-5.jpg

1,4-Бензохинон (2,5-циклогексадиен-1,4-дион; n-бензохинон; хинон) - золотисто-желтые кристаллы с резким запахом; т. пл. 116°С; d4201,320; легко возгоняется; перегоняется с паром;1054-6.jpg 2,51*10-30 Кл*м (бензол; 20°С);1054-7.jpg 20,95 кДж/моль;1054-8.jpg 47,76 кДж/моль (115-128°С); So298 - 187,5 кДж/моль; окислит.-восстановительный потенциал Е° — 0,711 В (бензол; 25°С);1054-9.jpg 3,12 (17°С); легко растворим в спирте, эфире, горячем лигррине; растворимость в воде 0,7% (5°С1 1,5% (30 °С).

Бензохиноны легко и обратимо восстанавливаются Н2 (кат.-РЮ2), SO2, гидразином, напр.:
1054-10.jpg

Благодаря способности превращаться в устойчивые анионрадикалы - семихиноны (III) бензохиноны образуют с донорами электронов прочные комплексы с переносом заряда, напр. 1,4-бензохинон - с бензолом, толуолом, нафталином, антраценом в соотношении 1:1, с фенолом - 1:1 и 1:2 (фенохинон), гидрохиноном - 1:1 (хингидрон). Последний - темно-фиолетовые кристаллы с металлич. блеском; т. пл. 171 °С;1054-11.jpg 6,68*10-30 Кл*м (диоксан; 20°С);1054-12.jpg4,12 (17°С); окислит.-восстановит. потенциал Е° 0,699 В (вода; 25°С); р-римость в воде 0,35% (20 °С), 1,035% (50 °С); распадается на компоненты в растворе уксусной кислоты. Действием порошка Zn в уксусном ангидриде бензохиноны превращ. в диацетоксибензолы.

1,4-Бензохинон с первичными аминами образует замещенные монохинонимины (IV), с гидроксиламином-n-хинонмонооксим (таутомерен с n-нитрозофенолом) и n-хинондиоксим (V). 1,2-Бензохинон с о-фенилендиамином дает феназин (VI).
1054-13.jpg

При взаимод. с реактивом Гриньяра бензохиноны превращ. в хинолы (VII), перегруппировывающиеся в алкилгидрохиноны, напр.:
1054-14.jpg

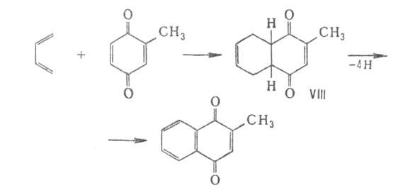
Бензохинон, подобно1054-15.jpgненасыщенным кетонам, способны к 1,2-присоединению по связи С—С и 1,4-присоединению по связям С=С и С=О. Продукты 1,4-присоединения окисляются избытком исходного бензохинона, если их окислит.-восстановит. потенциал ниже, чем у бензохинона. Так, с метанолом 1,4-бензохинон образует 2,5-диметокси-1,4-бензохинон (кат.-ZnС12), с анилином - 2,5-дианилино-1,4-бензохинон. В р-ции Дильса - Альдера 1,2-бензохинон выступает как диен и диенофил, 1,4-бензохинон - как диенофил. Так, 1,4-толухинон с 1,3-бутадиеном в бензоле на холоду образует 2-метил-5,8,9,10-тетрагидронафтохинон (VIII), к-рый дегидрируется при 120°С в 2-метил-1,4-нафтохинон (витамин К3):
1054-16.jpg

С Н2О2 в щелочной среде бензохинон образует эпоксигидрохинон, превращающийся в кислой среде в гидроксихинон, напр.:
1054-17.jpg

Атомы Н ядра бензохинонов способны замещаться, напр. с фенилдиазонийхлоридом 1,4-бензохинон образует 2-фенил-1,4-бензохинон, 1,2-бензохинон-4-фенил-1,2-бензохинон (р-ция Меервейна).

1,2-Бензохинон действием О2 (кат. - комплекс СиС12-пиридин) в среде метанола расщепляется с образованием моно- и диметилмуконатов:
1054-18.jpg

1,4-Бензохинон устойчив к действию окислителей.

Гидроксибензохинон существует в двух таутомерных формах:
1054-19.jpg

Они этерифицируются при нагр. в спирте в присут. кислых катализаторов. Галоген- и алкоксибензохиноны легко омыляются щелочными агентами до гидроксибензохинонов. Атом галогена в галогенбензохинонах легко замещается на амино- и алкоксигруппы.

Замещенные 1,4-бензохинона - окислители, обратимо восстанавливающиеся в гидрохиноны. Они участвуют в переносе электронов в процессах клеточного дыхания. В пром-сти 1,4-бензохинон получают окислением анилина действием МnО2 (пиролюзит) в H2SO4 при 3-10 °С или Na2Cr2O7 в H2SO4 при 20°С. Аналогично из замещенных анилинов получают замещенные 1,4-бензохинона, напр. толухинон, n-ксилохинон, 2,6-диметил-1,4-бензохинон. 1,2-Бензохинон и его алкилпроизводные получают из соответствующих пирокатехинов окислением Ag2O в сухом эфире в присут. Na2SO4 при 20°С или РbO2 в бензоле в присут. Na2SO4 (выход 70%). 1,4-Бензохинон - промежут. продукт в произ-ве гидрохинона. Его применяют в произ-ве красителей, как дубящее в-во. Он вызывает превращ. гемоглобина в метгемоглобин, что приводит к анемии; раздражает кожу; ПДК 0,05 мг/м3. 1,4-Бензохинон впервые получен А. А. Воскресенским в 1838 окислением хинной (тетрагидроксибензойной) к-ты МnО2 в H2S04.

Литература

Кэсон Д., в сб.: Органические реакции, пер. с англ., сб. 4, М., 1951, с. 270-336; MortonR.A.. Biochemistry, of quinones, L. N.Y., 1965; Ullmanns Encyklopadie, Bd 8, Weinheim-N.Y., 1977, S. 364. Н.Б.Карпова.

Синонимы/примеры:* 2,5-Циклогексадиен-1,4-дион; Хинон; 1,4-Бензохинон
*подобраны ИИ, возможны неточности