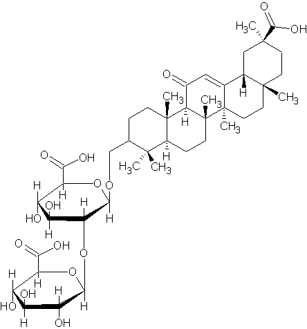
Глициризин

Синонимы:
глицирризиновая кислота Внешний вид:
бесцветн. кристаллыБрутто-формула (система Хилла): C43H64O16
Молекулярная масса (в а.е.м.): 836,95866
Температура плавления (в °C): 225
Растворимость (в г/100 г или характеристика):
вода: практически не растворим (0°C)вода: растворим (100°C)
этанол: растворим
Дополнительное описание:
Сладость по отношению к 2% раствору сахарозы = 50-100Природные и антропогенные источники:
Корни кустарника Glycyrrhiza glabra, распространенного в Южной Европе и Средней Азии (до 23%).Дополнительная информация:
Является гликозидом глицерретиновой кислоты. При кипячении с кислотами разлагается на глицерретиновую и глюкуроновую кислоты.
- Крутошикова А., Угер М. "Природные и синтетические сладкие вещества" М.:Мир, 1988 стр. 59-61
- Толстиков Г.А., Горяев М.И. "Глицирретовая кислота (химия и фармакология)" Алма-Ата: Наука, 1966 стр. 30-31
Источники информации:
Синонимы/примеры:*
Глицирризин; Глицирризиновая кислота; Глицирризинат
*подобраны ИИ, возможны неточности
Ещё по теме
Гликолевая кислота — свойства и применение
Гликолевая кислота — характеристики и применение
Глицин — свойства и применение
Глицериновая кислота — свойства и получение
Глицин — свойства и применение
Природные гликозиды — классификация и свойства
Глицин — аминоуксусная кислота и её характеристики
Галловая кислота — свойства и применение
Глюкуроновая кислота — свойства и значение
Глицидальдегид — характеристики и применение
Галловая кислота — свойства и применение
Глюкуроновая кислота — функции и роль в организме
Глицидол — свойства и применение
Гликолевая кислота — свойства и получение
Глюконовая кислота — свойства и применение