Биурет
Биурет Н2N—СО—NH—СО—NH2. При осторожном нагревании мочевины в качестве главного продукта реакции получается биурет:

Биурет является амидом аллофановой кислоты строения H2N—СО—NH—СООН. Аллофановая кислота известна лишь в виде солей; в свободном виде она разлагается на углекислоту и мочевину.
Эфиры аллофановой кислоты могут быть получены действием циановой кислоты (в форме таутомерной изоциановой) на уретаны:

При действии на эти эфиры аммиака получается биурет. Он может быть получен также взаимодействием циановой (изоциановой) кислоты с мочевиной.
Биурет кристаллизуется из воды в виде длинных игл, содержащих кристаллизационную воду. Безводный биурет плавится при 193° С.
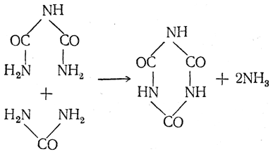
Взаимодействием биурета с мочевиной получается циануровая кислота:

Этим объясняется образование циануровой кислоты при нагревании мочевины выше температуры образования биурета.
В щелочном растворе биурет дает с медным купоросом фиолетово-красное окрашивание (биуретовая реакция, характерная также для белковых веществ).