Нитроантрахинонкарбоновые кислоты
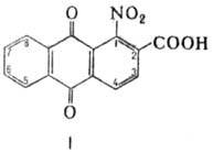
НИТРОАНТРАХИНОНКАРБОНОВЫЕ КИСЛОТЫ, соед. общей ф-лы C14H8-(n+m)O2(NO2)n(COOH)m. Практич. значение имеют соед. с n =m= 1 (мол. м. 297,6)-1-нитро-антрахинон-2-карбоновая к-та (ф-ла I; т. пл. 285-287 °С), 5-нитроантрахинон-1-карбоновая к-та (т. пл. >330°С) и 5-нитроантрахинон-2-карбоновая к-та.

Восстановление нитроантрахинонкарбоновых кислот раз л. агентами приводит к аминоантрахинонкарбоновым к-там; напр., соед. I под действием NaBH4 в 1%-ном водном р-ре NH3 при 25 °С или при гидрировании в присут. Pd/C в водно-щелочной среде при 90 °С и 5 МПа количественно превращ. в 1-аминоантрахинон-2-карбоновую к-ту, применяемую в произ-ве кубовых красителей. При кипячении с анилином I превращ. в 1-анилиноантрахи-нон-2-карбоновую к-ту, при кипячении с CH3ONa-в 1-ме-токсипроизводное.
Нитроантрахинонкарбоновые кислоты с РСl5 и SOCl2 образуют хлорангидриды, к-рые при послед. действии спиртов или аминов и р-ров NH3 превращ. в эфиры или амиды соответственно. Так, кипячение I с РСl5 в бензоле с послед. обработкой спиртовым р-ром NH3 приводит к амиду-желтые кристаллы, т. пл. 300 °С. Полученный амид при нагр. с NaCIO в водном р-ре NaOH по р-ции Гофмана превращ. в 2-амино-1-нитроантрахинон, к-рый далее м. б. восстановлен в 1,2-диаминоантрахинон. Взаимод. хлорангидрида соед. I с гидразингидратом в хлорбензоле при нагр. приводит к гидразиду, к-рый после циклизации в 2%-ном олеуме при 85-90 °С и послед. аммонолиза превращ. в соед. ф-лы II-краситель антрахиноновый кубовый бордо. Соед. II, содержащее в положениях 4 и 4' вместо атомов Н группы NHC6X5,-краситель антрахиноновый кубовый синий.

В пром-сти 1-нитроантрахинон-2-карбоновую к-ту получают окислением 2-метил-1-нитроантрахинона СrO3 в конц. H2SO4 при 70 °С или К2Сr2О3 при 25-30 °С (выход более 90%); 5-нитроантрахинон-2-карбоновую к-ту синтезируют нагреванием 5-нитроантрахинон-2-карбальдегида с р-ром хромовой к-ты на водяной бане или взаимод. с конц. H2SO4 в СН3СООН, 5-нитроантрахинон-1-карбоновую к-ту-нитрованием антрахинон-1-карбоновой к-ты смесью HNO3 и конц. H2SO4 при 95 °С или омылением 5-нитро-1-циано-антрахинона 80%-ной H2SO4 при нагревании.
Нитроантрахинонкарбоновые кислоты-промежут. продукты в синтезе разл. кубовых красителей.
Лит.: Горелик М. В., Химия антрахинонов и их производных, М, 1983.
С. И. Диденко.