Антоцианы
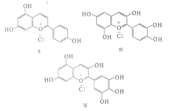
АНТОЦИАНЫ (от греч. anthos-цвет, окраска и kyanos - лазоревый), растит. гликозиды, содержащие в кач-ве агликона (антоцианидина) гидроксипроизводные 2-фенилхромена (ф-ла I). Углеводная часть молекулы (обычно остаток глюкозы, рамнозы, галактозы, ди- или трисахарида) связана с агликоном в положении 3, реже - 3 и 5. У многих антоцианов нек-рые группы ОН метилированы или ацетилированы. Антоцианы-окрашенные кристаллы. Легко раств. в воде и др. полярных р-рителях, трудно - в спирте, бензоле. При нагревании с разб. к-тами или действии нек-рых ферментов отщепляют остаток углевода с образованием пирилиевых солей - пеларгонидина, цианидина и дельфинидина (ф-лы II-IV соотв.). При щелочном плавлении эти соли образуют флороглюцин (1,3,5-тригидроксибензол) и гидроксибензойную к-ту, а при гидрировании -катехин.

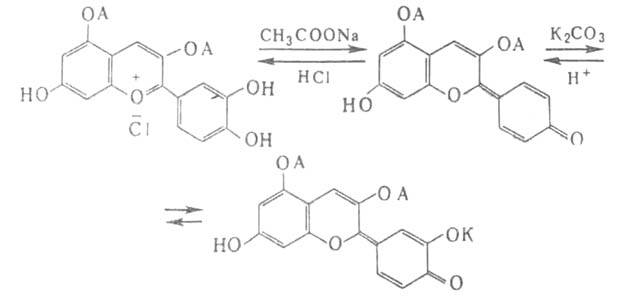
Антоцианы придают цвет тканям растений, цветам, плодам. Цвет и строение антоцианов зависят от рН среды, напр.:
где А-остаток глюкозы.
Разнообразие цвета плодов и цветов обусловлено тем, что антоцианы находятся в растениях в виде пирилиевых солей (кислая среда), хиноидной формы (нейтральная среда) или в виде К-, Са- и Na-солей. Из лепестков розы выделен пигмент цианинхлорид (3,5-глюкозил-3'-гидрокси-2-флавенол), из петунии, флоксов и нек-рых др. растений - мальвинхлорид (3,5-глюкозил-3',5'-метокси-2-флавенол).
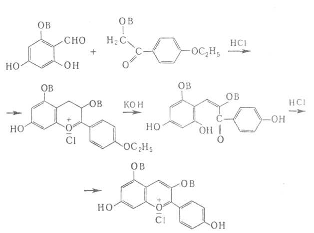
Антоцианы выделяют из растит. сырья хроматографией или экстракцией 1%-ным р-ром НС1 в метаноле. Синтезируют из полигидроксибензальдегидов, напр.:
где В - остаток тетраацетилглюкозы.
Цианидин применяют в медицине для определения катехина в биол. жидкостях, напр. в моче.
Литература
Гауптман 3., Грефе Ю., Ремане X., Органическая химия, пер. с нем, М., 1979. Е.Г. Тер-Габриэлян.