Триазолы
ТРИАЗОЛЫ, мол. М. 69,6. Различают 1,2,3-триазол (озотриазол), или вицинальный (ф-ла I), и 1,2,4-триазол (пирродиазол), или симметричный (II). Незамещенные и С-замещенные триазолы могут существовать в двух таутомерных формах: для 1,2,3-триазола-1H-и 2H-формы (Ia и Iб соотв.), для 1,2,4-триазола-1H- и 4H-формы (IIа и IIб соотв.):

Триазолы и их алкил- или арилпроизводные-бесцв. кристаллы или высококипящие жидкости (см. табл.). Хорошо раств. в большинстве орг. р-рителей, незамещенные триазолы раств. в воде; проявляют кислотные и слабые основные св-ва. Устойчивы к нагреванию, действию к-т, оснований, нек-рых окислителей (КМnО4, Н2О2) и восстановителей (Zn в СН3СООН, Na в NH3, LiAlH4). С AgNO3 образуют не-
растворимые в воде соли; 1,2,4-триазол дает стабильные гидрохлорид (т. пл. 169 °С) и гексахлорплатинат (т. пл 73-75 °С). Производные 1,2,4-триазола образуют комплексы с солями нек-рых металлов (Hg, Ag, Pb, Zn).
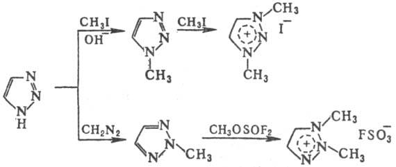
Триазолы- 6p-электронные ароматич. системы. Электроф. замещение в триазолах идет по атомам N или С. Наиб. характерны р-ции алкилирования и ацилирования. 1,2,3-Триазол и 1-замещенный 1H -1,2,3-триазол алкилируются алкилгалогенидами, диметилсуль-фатом, диазометаном, а также вступают в р-цию Манниха. 1,2,3-Триазол избирательно метилируется по положению 1 действием СН3I на его Ag- или Тl-соли или при р-ции в щелочной среде; взаимод. с CH2N2 идет преим. по положению 2. 1-Метилзамещенный 1,2,3-триазол легко метилируется далее с образованием 1,3-дизамещенной соли триазолия; 2-метилзамещенный образует соль 1,2-диметил-1,2,3-триа-золия лишь под действием сильных метилирующих агентов, напр.:

Алкилирование диметилсульфатом замещенных 1,2,3-триазола приводит к смеси 1H- и 2H-производных.
Алкилирование 1,2,4-триазола в щелочной среде идет до 1-алкил-производных с дальнейшим образованием четвертичных солей по атому N-4. 4-Замещенные 4H-1,2,4-триазола кватерни-зуются по атомам N-1 или N-2.
Для N-замещенных 1,2,4-триазола под действием С4Н9Li и СН3I протекает р-ция С-метилирования, напр.:

Взаимод. 1H-1,2,3- или 4H-1,2,4-триазолов с галогенангидридами или ангидридами к-т в безводных р-рителях при повыш. т-рах приводит к соответствующим N- или С-ацилпро-изводным.
По отношению к электроф. агентам, генерируемым в сильнокислой среде, триазолы инертны, т.к. при этом превращ. в неактивные триазолиевые катионы. Нитрование замещенных 1,2,4-триазола затрагивает преим. заместитель; напр., 4-ме-тил-2-фенил-2H-1,2,3-триазол нитруется в n-положение ароматич. ядра. Нитрование 1,2,4-триазола в цикл происходит только при наличии в молекуле электронодонорного заместителя; напр., действие дымящей HNO3 на 3-гидрокси-1,2,4-триазол приводит к З-гидрокси-5-нитро- 1,2,4-триазолу. Незамещенный 1,2,3-триазол бромируется Вr2 до 4,5-дибромпроизводного, но не хлорируется Сl2 в воде, водном р-ре CH3COONa или в присут. РеСl3. Хлорирование 1-метил- и 4-метил-1H-1,2,3-триазола в ССl4 или в СНСl3 приводит соотв. к 1-метил-4-хлор- и 4-метил-5-хлор-1H-1,2,3-триазолу.
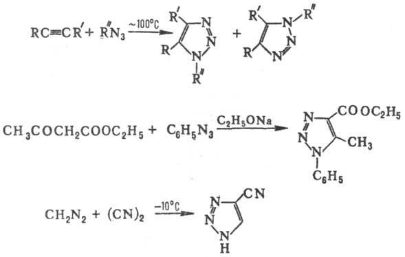
1,2,3-Триазол и его производные получают взаимод. азидов с ацетиленами, ацетиленидами металлов или реактивами Гриньяра, с соед., содержащими активир. метиленовые группы, а также р-цией диазаалканов с активир. нитрилами -дицианом, галогенцианидами, эфирами циановой к-ты, напр.:

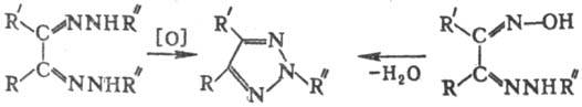
Общий метод получения 2-замещенных 2H-1,2,3-триазола-окисление бисарилгидразонов 1,2-дикарбонильных соед. под действием разл. окислителей [MnO2, HgO, соли Си (II), К2Сr2О7] или внутримол. дегидратация арилгидразонокси-мов 1,2-дикарбонильных соед. под действием (СН3СО)2О или РСl5 в СНСl3:

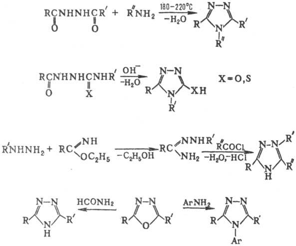
1,2,4-Триазол и его производные синтезируют из производных гидразина конденсац. методами или из др. гетероциклов, напр.:

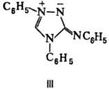
Производные 1,2,3- и 1,2,4-триазола-оптич. отбеливатели, стабилизаторы фотографич. эмульсий, полупродукты при получении пластификаторов, клеевых композиций и ингибиторов коррозии (напр., гуаназол-3,5-диамино-1,2,4-триазол), гербициды (напр., амизол - 3-амино- 1,2,4-триазол), катализаторы в пептидном синтезе; многие триазолы биологически активны, обладают противобактериальной, нейролептич., гипотензивной, спаз-молитич. и др. активностью, стимулируют сердечную деятельность. Мезоионное соед.-нитрон (ф-ла III; т. пл. 189-190 °С)-реагент для определения
пикрат-ионов и др. анионов.

Лит.: Гетероциклические соединения, под ред. Р. Эльдерфилда, пер. с англ., т. 7, М., 1965; Китаев Ю.П., Бузыкин Б. И., Гидразоньт, М., 1974; Общая органическая химия, пер. с англ., т. 8, М., 1985, с. 429; Schofield К., Grim-mett M.R., Keene В. R. Т., Heteroaromatic nitrogen compounds: the azoles, Camb., 1976; Gilchrist T. L., Gymer G. E., "Adv. Heterocycl. Chem.", 1974, v. 16, p. 33-85. P. А. Караханов, В. И. Келарев.