1,2-Диазетины

1,2-ДИАЗЕТИНЫ , мол. м. 56,07. Существуют в виде трех изомеров: D 1-, D 2- и D 3-диазетины (соотв. ф-лы I-III). Незамещенные диазетины не известны. Производные диазетинов - твердые в-ва с резким запахом; тетрафтор- D1 -диазетин - газ.
021_040-35.jpg
Д иазетины при нагр. легко расщепляются с образованием азота и олефинов; термич. наиб. устойчив тетраметил- D1 -диазетин. N,N'-Диалкоксикарбонильные производные D 3-диазетина при комнатной температуре изомеризуются в производные глиоксаля, при гидрировании образуют стабильные диазетидины, напр.:
021_040-36.jpg
Бициклич. D1 -диазетин при нагр. претерпевают перегруппировку с послед. образованием конденсир. гетероцикла:
021_040-37.jpg
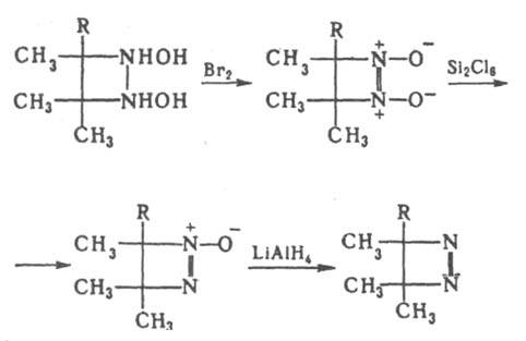
D 1-Диазетин синтезируют из a -гидроксиламиноксимов или a , b -дигидроксиламинов, напр.:
021_040-38.jpg
Тетрафтор- D1 -диазетин может быть синтезирован след. образом:
021_040-39.jpg
Замещенные D 2-диазетина получают взаимод. a -галогенкетонов с гидразинами, напр.:
021_040-40.jpg
Диалкоксикарбонильные производные D 3-диазетина получают по р-ции:
021_040-41.jpg
Лит.. Общая органическая химия, пер. с англ., т. 8, М., 1985, с. 707; The chemistry of heterocyclic compounds, ed. by A. Weisberger and E. С Taylor, v. 42, pt 2, N.Y., 1983, p. 443. П. А. Гембицкий.

Синонимы/примеры:* 1,2-Диазины; 1,2-Диазициклобутен
*подобраны ИИ, возможны неточности