Бензизотиазол

БЕНЗИЗОТИАЗОЛ, мол. м. 135,18. Известны два изомера-1,2-бензизотиазол (ф-ла I) и 2,1-бензизотиазол (II).
1050-7.jpg

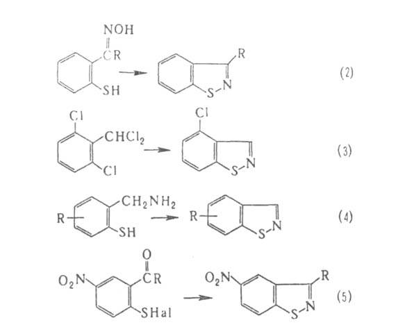
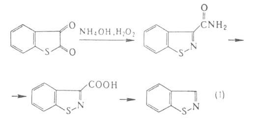
1,2-Бензизотиазол (бенз[/]изотиазол, тиоиндоксазен)-светло-желтые кристаллы с запахом горького миндаля; т. пл. 37°С, т. кип. 220°С; d456,51,2154; плохо раств. в воде, хорошо - в орг. р-рителях; перегоняется с паром. Устойчив к окислителям и восстановителям. Нитруется в положения 5 и 7. Производные 1,2-бензизотиазола менее устойчивы к окислителям, напр. 5-амино-1,2-бензизотиазол окисляется КМnО4 в изотиазол-4,5-дикарбоновую к-ту, 3-этиламино-1,2-бензизотиазол при действии НNО3 - в сульфоксид, а при взаимод. с надкислотами - в сульфон. 1,2-Бензизотиазол обычно получают действием на тиохинон NH4OH и Н2О2 (р-ция 1); 1,2-бензизотиазол и его производные образуются при циклизации о-меркаптобензальдоксима (получают из соответствующего альдегида) под действием полифосфорной к-ты (2), нагреванием смеси 2,6-дихлорбензилидендихлорида, S, NH3 и бензола в автоклаве (3), окислением 2-меркаптобензиламинов иодом или бромом (4), взаимод. сульфенилгалогенидов с S и NH3 (5):
1050-8.jpg
1050-9.jpg

1,2-Бензизотиазол - антивуалирующее в-во в фотографии и краситель. 2,1-Бензизотиазол (бенз[с]изотиазол, тиоантранил) - светло-желтая маслянистая жидкость с запахом хинолина; т. кип. 242°С/748 мм рт. ст. (т-ра плавления пикрата 123-124 °С); d4201,2415; плохо раств. в воде, хорошо - в орг. р-рителях. Образует комплексные соли с солями Pt, Au, Pb, Hg и неустойчивые кристаллич. четвертичные соли. Электроф. замещение (нитрование, бромирование) идет гл. обр. в положения 5 и 7. 2,1 - Бензизотиазол реагирует с гидразином с раскрытием цикла:
1050-10.jpg

2,1-Бензизотиазол и его производные получают из о-аминобензилтиола при действии иода, из о-нитробензилтиола при обработке конц. щелочью или SnCl2, из о-толуидина и его производных и SOC12 (6), из о-аминотиобензамидов при окислении и из о-нитротиобензамидов при восстановлении (7):
1050-11.jpg

3-Амино-2,1-бензизотиазол используется при получении азокрасителей для полимеров.

Литература

Bambas L.L, Five-memberd heterocyclic compounds with nitrogen and sulfur or nitrogen, sulfur and oxygen (hxcept thiazoleX N.Y.-L., 1952, p. 225-77; Da vis M., в кн.: Advances in heterocyclic chemistry, v. 14, N.Y., 1972, p. 43-98. В. И.Шведов.