Бензо-2,1,3-тиадиазол

БЕНЗО-2,1,3-ТИАДИАЗОЛ (пиазтиол), мол. м. 136; бесцв. кристаллы; т. пл. 44°С, т. кип. 206°С; легко раств. в орг. р-рителях, плохо - в горячей воде; перегоняется с водяным паром;1053-30.jpg 5,79*10-30 Кл*м. Бензо-2,1,3-тиадиазол-очень слабое основание, протонируется 96%-ной H2SO4, образует комплексы с тяжелыми металлами.
1053-31.jpg

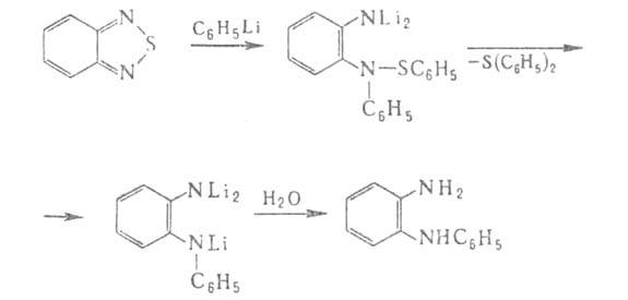
Электроф. замещение идет гл. обр. в положения 4 и 7; действие С12 в присут. железного катализатора приводит к 4,7-дихлор-бензо-2,1,3-тиадиазолу, действие Вr2-к 4,5,6,7-тетрабром-бензо-2,1,3-тиадиазолу и 4-бром-бензо-2,1,3-тиадиазолу. Нуклеоф. присоединение фениллития протекает по схеме:
1053-32.jpg

Сам бензо-2,1,3-тиадиазол, его метил-, нитро- и дихлорпроизводные окисляются КМnО4 в 1,2,5-тиадиазол-3,4-дикарбоновую к-ту, к-рая при нагр. декарбоксилируется:
1053-33.jpg

Окисление Н2СrO4 и озонирование также приводит к 1,2,5-тиадиазол-3,4-дикарбоновой к-те. При действии Zn (или SnCl4) и НС1 происходит расщепление бензо-2,1,3-тиадиазола до о-диаминобензола с выделением H2S. В тех же условиях 4-нитро-бензо-2,1,3-тиадиазол восстанавливается до 1,2~,3-триаминобензола, под действием Zn и СН3СООН - до амино-бензо-2,1,3-тиадиазола.

Бензо-2,1,3-тиадиазол и его производные получают из о-диаминов и SOC12 или SO2, напр.:
1053-34.jpg

5,7-Дизамещенные бензо-2,1,3-тиадиазола, где заместители - СН3 или С1, применяют как регуляторы роста растений.

Литература

Гетероциклические соединения, пер. с англ., т. 7, М., 1965, с. 416-78. Е.Н. Караулова.

Синонимы/примеры:* Бензотиадиазол; 2,1,3-Бензотиадиазол
*подобраны ИИ, возможны неточности