Супероксиддисмутазы
СУПЕРОКСИДДИСМУТАЗЫ (
-оксидоредуктазы, СОД), ферменты класса оксидоредуктаз, катализирующие диспропорционирование супероксидного анион-радикала:

Анион-радикал
образуется в организме из О2 при фагоцитозе (поглощении бактерий, фрагментов клетки или др. частиц нек-рыми клетками). При ряде патологич. состояний (напр., при ишемии ткани)
может играть важную роль в развитии заболевания.
Супероксиддисмутазы присутствуют во всех тканях аэробионтов (обитатели суши и воздуха). В клетках млекопитающих супероксиддисмутазы в осн. локализованы в цитозоле; ок. 10% фермента (по массе) находится в митохондриальных мембранах.
Молекула изофермента супероксиддисмутазы из цитозоля состоит из 2 идентичных субъединиц с мол. м. 16 тыс., каждая из к-рых содержит по 1 атому Сu2+ и Zn2+ . Фермент активен при рН 6-10, ингибируется NaCN и м.б. экстрагирован смесью хлороформ-этанол. Изофермент, содержащий в качестве кофермента Сu2+ и Zn2+, обнаружен также в матриксе митохондрий и в ядрах, а также в зрелых эритроцитах.
Изофермент митохондриальных мембран состоит из 4 идентичных субъединиц с мол. м. 20 тыс., каждая из к-рых содержит по 1 атому Мn3+ на субъединицу. Оптим. каталитич. активность такой супероксиддисмутазы при рН ок. 7; фермент не ингибируется NaCN, разрушается при обработке смесью хлороформ-этанол. Mn-содержащий изофермент, выделенный из бактерий, в отличие от митохондриального тетра-мера является димером. В бактериях Escherichia coli обнаружена также Fe3+-содержащая супероксиддисмутаза с мол. м. 39 тыс., к-рая в отличие от др. изоферментов ингибируется NaN3.
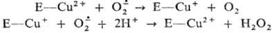
Механизм действия супероксиддисмутаз можно представить схемой (Е—Сu2+-фермент):

Донором протонов, вероятно, является имидазольное кольцо остатка гистидина, связывающее ионы металлов. Супероксиддисмутазы, содержащие Си2+ и Zn2+ , инактивируются Н2О2 из-за образования комплексов ионов этих металлов с ОН.
Ген, ответственный за биосинтез супероксиддисмутаз, локализован в 21-й хромосоме человека. При трисомии по этой хромосоме (когда организм содержит 3 гомологич. хромосомы) активность супероксиддисмутаз в клетках крови увеличена на 50%. При увеличении парциального давления О2 кол-во супероксиддисмутаз в организме увеличивается. Имеются сведения о радиопротекторном действии супероксиддисмутаз.
Изменение активности супероксиддисмутаз возникает при нек-рых заболеваниях (напр., атеросклерозе, инфаркте миокарда), что м. б. использовано для диагностич. целей.
Препараты супероксиддисмутаз применяют в качестве противовоспалит. ср-ва, напр. при артритах.
Лит.: Фридович И., в кн.: Свободные радикалы в биологии, пер. с англ., т. 1, М., 1979, с. 272-314; Афанасьев И. Б., "Успехи химии". 1979, т. 48, № 6, с. 977-1014; его же, в кн.: Кислородные радикалы в химии и биологии, Минск, 1984; с. 13-29; Ланкин В.З., в кн.: Биохимия липидов и их роль в обмене веществ, М., 1981, с. 75-95. В.З. Ланкин.