Дезоксирибонуклеазы

ДЕЗОКСИРИБОНУКЛЕАЗЫ, ферменты класса гидролаз, катализирующие гидролиз связей между нуклеотидами в ДНК. Большинство дезоксирибонуклеаз активно в присут. Mg2+ или Мn2+, небольшая группа - в присут. АТФ. Могут гидролизовать внутр. связи молекулы (эндонуклеазы) или связи, находящиеся на ее конце (экзонуклеазы). Первые не обладают абс. специфичностью к последовательности нуклеотидов, разрывают ДНК с образованием на конце цепи преим. дезоксинуклеозид-5'-фосфата (дезоксирибонуклеазы I) или дезоксинуклеозид-З'-фосфата (дезоксирибонуклеазы II) (см. рис.). Нек-рые бактериальные эндонуклеазы (рестриктазы)способны разрывать обе нити ДНК в строго определенных для каждого фермента участках (каждая рестриктаза специфична к определенной последовательности нуклеотидов). Для дезоксирибонуклеазы I из поджелудочной железы быка и дезоксирибонуклеазы II селезенки свиньи мол. м. соотв. 31 тыс. и 38 тыс., оптимальная каталитич. активность при рН 8,0 и 4,8, изоэлектрич. точка рI 4,7-5,0 и 10,2.
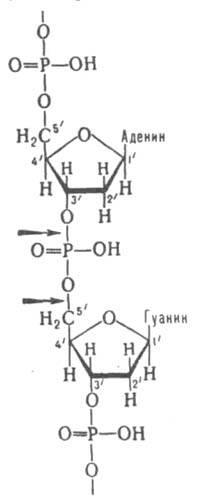
001_020-48.jpg
Возможные места разрыва связи в молекуле ДНК при действии эндонуклеаз (показаны стрелками). Мн. экзонуклеазы гидролизуют ДНК последовательным отщеплением нуклеотидов только с к.-л. одного конца цепи, нек-рые (напр., дезоксирибонуклеаза из Escherichia coli) - c обоих. Большая субстратная специфичность дезоксирибонуклеаз обусловлена структурой концевого нуклеотида (остаток фосфорной к-ты или группа ОН находится в положении 3' или 5'). Все дезоксирибонуклеазы состоят из одной полипептидной цепи, включающей активные центры и, в нек-рых случаях, центры, "узнающие" определенные участки ДНК, структура к-рых неизвестна. Активность всех дезоксирибонуклеаз подавляется лимонной к-той и гепарином, нек-рых - также и этилендиаминтетрауксусной к-той. Ингибиторы дезоксирибонуклеаз белковой природы содержатся во мн. тканях, включая сыворотку крови, лейкоциты и эритроциты человека. Нек-рые дезоксирибонуклеазы ингибируются РНК. Дезоксирибонуклеазы содержатся в ядрах, митохондриях и лизосомах всех клеток. Участвуют в репликации (копировании) ДНК, образовании новых сочетаний генов и в ликвидации повреждений генетич. структур. Препятствуют проникновению чужеродной ДНК в организм. Мн. дезоксирибонуклеазы, особенно рестриктазы, применяют для лаб. исследований, дезоксирибонуклеазы из поджелудочной железы крупного рогатого скота - для лечения вирусных заболеваний, напр., катара верх. дыхат. путей.

Литература
Шапот В. С., Нуклеазы, М., 1968; Наnаwalt P. С. [а. о.], "Annual Review of Biochemistry", 1979, v. 48, p. 783-836; Yuan R., там же, 1981, v. 50, p. 285-315. M.A. Шлянкевич.

Синонимы/примеры:* ДНКаза; Дорназа альфа; Пульмозим
*подобраны ИИ, возможны неточности
Ещё по теме
Эндодезоксирибонуклеазы — функции и значение в биохимии ДНК
Рибонуклеазы — функции и применение
Дезоксирибонуклеаза — свойства и применение в медицине
Нуклеазы — функции и применение ферментов
Механизмы распада нуклеиновых кислот
Дезоксирибонуклеозиды — строение и роль в биологии
Рибонуклеозид-дифосфат-редуктазы и их роль в живых организмах
Дезоксирибонуклеотиды — строение и роль в ДНК
Полидезоксирибонуклеотид-синтетазы и их роль в синтезе ДНК
Дезоксирибоза в составе ДНК
Нуклеозиды — строение, свойства и применение
Дезоксирибонуклеаза — информация о препарате
Эндонуклеаза — функции и типы фермента
Рестриктазы — функции и применение в генетике
Нуклеотиды — строение, свойства и роль в биохимии
Роль нуклеозидазы в клеточном метаболизме
Топоизомеразы и их роль в биологии ДНК