Олигосахариды. Дисахариды (биозы)
В зависимости от числа молекул простых сахаров, образующихся при гидролизе молекулы олигосахарида, различают:

Наибольшее значение имеют дисахариды (биозы).
Дисахариды являются своеобразными гликозидами, в которых роль агликона играет остаток второй молекулы моносахарида:

Остатки двух, молекул моносахарида, соединенные в молекуле дисахарида, могут быть одинаковыми или разными. При образовании дисахарида одна молекула моносахарида всегда образует связь со второй молекулой с помощью своего полуацетального гидроксила. Что касается второй молекулы моносахарида, то она может участвовать в образовании этой связи либо также своим полуацетальным гидроксилом, либо каким-нибудь из остальных, т. е. спиртовых, гидроксилов; в последнем случае один полуацетальный гидроксил в молекуле дисахарида будет оставаться свободным.
Отсутствие или наличие в молекуле свободного полуацетального гидроксила очень сильно влияет на свойства данного дисахарида. Если при образовании дисахарида обе молекулы моносахарида участвовали в образовании связи своими полуацетальными гидроксилами, то оба остатка моносахаридов имеют стабильную циклическую форму и без гидролиза дисахарида альдегидная группа образоваться не может. Такой дисахарид не обладает восстанавливающими свойствами и не дает других альдегидных реакций: не образует гидразонов с фенилгидразином, не присоединяет синильной кислоты и т. д. Такие дисахариды носят название невосстанавливающих дисахаридов или дисахаридов группы трегалозы (трегалоза — дисахарид, состоящий из двух остатков глюкозы, причем в образовании трегалозы участвуют полуацетальные гидроксилы):
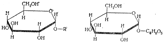
Если в реакции образования дисахарида участвует полуацетальный гидроксил одной молекулы моносахарида и спиртовый гидроксил другой молекулы, то в молекуле дисахарида сохраняется один полуацетальный гидроксил. В этом случае циклическая форма одного из остатков моносахарида может переходить в альдегидную форму. Дисахариды, построенные таким образом, обладают восстанавливающими свойствами и дают типичные альдегидные реакции: образуют гидразоны, присоединяют синильную кислоту и т. д. Такие дисахариды носят название восстанавливающих дисахаридов или дисахаридов типа мальтозы (мальтоза — дисахарид, построенный из двух остатков глюкозы, причем в образовании мальтозы участвуют полуацетальный гидроксил одной молекулы глюкозы и спиртовый гидроксил у четвертого углеродного атома второй молекулы глюкозы):

Так как один остаток моносахарида способен дециклизоваться и переходить в другие циклические формы, дисахариды типа мальтозы обнаруживают мутаротацию, а также могут кристаллизоваться в α- и β-формах.
При осторожном окислении дисахаридов типа мальтозы альдегидная группа восстанавливающего остатка моносахарида превращается в карбоксильную и получаются так называемые альдобионовые кислоты. Под влиянием оснований восстанавливающий остаток таких дисахаридов (содержащий свободный полуацетальный гидроксил) подвергается эпимеризации. Таким образом, восстанавливающие дисахариды весьма близки по свойствам к моносахаридам.
К представителям первого класса дисахаридов относятся грегалоза и особенно сахароза (тростниковый сахар), к важнейшим представителям дисахаридов второго класса — мальтоза, целлобиоза, генциобиоза и лактоза (молочный сахар). Из перечисленных дисахаридов лишь трегалоза, сахароза и лактоза встречаются в природе в свободном состоянии как таковые; остальные, если и встречаются в природе, то лишь как продукты неполного гидролиза высших полиоз и гликозидов.
Большинство природных биоз состоит из гексоз, т. е. они имеют формулу C12H22O11 или 2C6H12O6—Н?О. Как редкие исключения известны и биозы, состоящие из одной молекулы гексозы и одной молекулы пентозы. Так, например, временах журавлиного гороха (Vicia angustifolia) находится гликозид, дающий при неполном гидролизе вицианозу С11Н20О10 — биозу, распадающуюся при дальнейшем гидролизе на гексозу — D-глюкозу и пентозу — L-арабинозу.
гликозид петрушки — апиин дает биозу, распадающуюся при дальнейшем гидролизе на D-глюкозу и апиозу.