Радикальная полимеризация
РАДИКАЛЬНАЯ ПОЛИМЕРИЗАЦИЯ, полимеризация, в к-рой активные центры роста представляют собой своб. радикалы. Радикальная полимеризация возможна для большинства виниловых, винилиденовых, диеновых мономеров, а также для нек-рых напряженных циклич. соединений. Нек-рые ненасыщ. мономеры не способны полимеризоваться по радикальному механизму вследствие стерич. затруднений (напр., 1,2-дизаме-щенные виниловые мономеры) или в случае вырожденной передачи цепи (см. ниже), напр. пропилен, аллильные мономеры.
Радикальная полимеризация-один из осн. пром. методов, к-рым получают более половины производимых в мире полимеров, в т. ч. полиэтилен (высокого давления), полистирол, сополимеры этилена и стирола с разл. полярными мономерами, поливинилхлорид, полиакрилаты и полиметакрилаты, ряд синтетич. каучуков и водорастворимых карбоцепных полиэлектролитов.
Кинетич. схема радикальной полимеризации включает четыре элементарные стадии: инициирование, рост, передачу и обрыв цепи. На стадии инициирования образуются первичные радикалы мономера в результате непосредств. энергетич. воздействия (тепло, УФ либо ионизирующее излучение; о двух последних см. Фотополимеризация, Радиационная полимеризация)или чаще при взаимод. мономера с радикалами, возникающими при гомолитич. распаде специально вводимых в-в-инициаторов радикальных (напр., пероксидов, гидропероксидов, азосоединений). Для увеличения скорости инициирования при низких т-рах к пероксидам добавляют восстановители, напр. соли переходных металлов или амины (т. наз. окис-лит.-восстановит. инициаторы).
Стадия инициирования включает по меньшей мере два последоват. элементарных акта - генерирование радикалов R• (р-ция 1, а) и их взаимод. с мономером (р-ция 1, б):


(I-инициатор, М-мономер, М•1-первичный мономерный радикал, k1 и k'1 - константы скоростей соответствующих р-ций). Помимо р-ций (1, б), радикалы R• могут участвовать в побочных р-циях, что учитывают с помощью коэф. эффективности инициирования (f); последний характеризует отношение числа радикалов, участвующих в р-ции (1, б), к общему числу радикалов, образовавшихся по р-ции (1, а). Значения f обычно составляют 0,6-0,8, a k1 и
имеют порядок 10-5-10-4 с-1 и 10-103 л/(моль·с) соотв., поэтому
где [М]-концентрация мономера (в моль/л) в реакц. среде; таким образом акт (1, а) кинетически определяет стадию инициирования:

где u1-скорость инициирования.
Осн. стадия полимеризации-р-ция роста цепи, при многократном повторении к-рой образуется макромол. цепь, - описывается ур-нием:

(M•n-макрорадикал, содержащий п мономерных звеньев). Скорость р-ции роста выражается ур-нием:

При этом предполагается, что реакц. способность макрорадикалов не зависит от их длины; как правило, такое предположение справедливо при п > 3-5. Кинетич. параметры р-ции (3) приведены в табл. 1.
Значения k2 зависят от двух факторов - реакц. способностей (активностей) мономера и макрорадикала, к-рые, как правило, изменяются в противоположных направлениях, поскольку реакц. способность мономера при наличии в его молекуле сопряженных связей повышается, а макрорадикала снижается. Из этих двух факторов на скорость роста цепи определяющее влияние оказывает активность макрорадикала, поэтому последовательность расположения мономеров в табл. 1 отражает рост реакц. способности макрорадикалов. Реакц. способности мономеров и радикалов зависят также от полярного и стерич. факторов, наиб. полно проявляющихся в р-циях сополимеризации (см. Сополимеры)или др. конкурирующих р-циях. Скорости и направление радикальных р-ций обычно мало зависят от характеристик реакц. среды. Однако при наличии специфич. взаимодействий мономера и (или) радикала с молекулами среды, напр. при образовании p-комплексов, донорно-акцепторных комплексов, комплексов с участием к-т Льюиса или водородных связей, наблюдается изменение констант скорости роста цепи.
Присоединение мономеров при радикальной полимеризации происходит преим. по типу "голова к хвосту":

Доля звеньев, присоединенных по типу "голова к голове" и "хвост к хвосту" обычно не превышает неск. процентов и уменьшается при полимеризации мономеров, содержащих объемные заместители X. В то же время не происходит стереорегулярного присоединения. Так, при радикальной полимеризации виниловых мономеров образуются атактич. полимеры с нек-рым преобладанием синдиотактич. структур (см. Стереорегулярные полимеры). Снижение т-ры полимеризации способствует увеличению доли синдиотактич. структур.
Ограничение растущих цепей при радикальной полимеризации возможно путем обрыва и (или) передачи цепи. Обрыв цепи-необратимая хим. дезактивация растущих цепей-протекает обычно в результате диспропорционирования двух макрорадикалов (р-ция 6, а) или их рекомбинации (6, б):
.
(
и
-константы скоростей соответствующих р-ций). Вклад р-ций (6, а) или (6, б) в общую скорость обрыва определяется активностью взаимодействующих макрорадикалов и стерич. факторами: для малоактивных радикалов и при наличии небольших заместителей X в мономере, как правило, характерен обрыв по механизму рекомбинации. Скорость р-ции обрыва цепи выражается ур-нием:

Здесь
-суммарная константа скорости обрыва, к-рая на начальных стадиях превращения имеет порядок 106-107 л/(моль·с) (см. табл. 1).
Бимолекулярный обрыв цепи-диффузионно-контролиру-емая р-ция, состоящая из трех последоват. стадий: 1) посту-пат, диффузия двух макрорадикалов с образованием объединенного клубка; 2) взаимное сближение активных концов вследствие диффузии отдельных звеньев и сегментов цепи; 3) непосредств. хим. взаимодействие реакц. центров с образованием неактивных макромолекул. Для большинства изученных виниловых мономеров k3 обратно пропорциональна вязкости исходной системы, а скорость обрыва лимитируется стадией 2. Так, факторы, снижающие подвижность сегментов цепи (введение сомономера, увеличивающего жесткость цепи, снижение т-ры полимеризации и др.), значительно уменьшают скорость бимолекулярного обрыва.
Передача цепи -р-ция, приводящая к переносу активного центра от растущего макрорадикала на любую др. молекулу (р-ритель, мономер, инициатор, полимер), выступающую в роли агента передачи (А), с образованием "мертвой" макромолекулы (Мn) и нового активного центра (А•):

(k4 - константа скорости передачи цепи). Обычно р-ция передачи цепи приводит к продолжению кинетич. цепи, поскольку новый радикал А• способен инициировать радикальную полимеризацию со скоростью, близкой к скорости р-ции роста. В противном случае имеет место вырожденная передача цепи (т.е. рост цепи происходит с меньшей скоростью на А•, чем на макрорадикале) либо ингибирование радикальной полимеризации (см. Ингибиторы).
Осн. р-ции передачи цепи-перенос подвижного атома Н или Hal от агента передачи к макрорадикалу, реже-в обратном направлении. Скорость р-ции передачи цепи и место отщепления атома Н или Hal определяются энергией разрывающейся в молекуле агента передачи связи С—Н, S—Н, С—Hal и т.п. Так, скорость отщепления атомов Н в насыщ. углеводородах уменьшается в ряду: водород при третичном атоме С > при вторичном > первичном.
Р-ции передачи цепи конкурируют С р-цией роста, поэтому для количеств. характеристики передачи обычно используют константы передачи С = k4/k2, по к-рым судят о реакц. способности агентов передачи.
Внутримол. и межмол. р-ции передачи цепи на полимер приводят к образованию макромолекул с короткоцепными разветвлениями, сшитых или привитых сополимеров. На практике р-ции передачи цепи используют для регулирования мол. массы полимера и для синтеза привитых сополимеров (путем передачи цепи на полимер). В первом случае используют агенты передачи с С > 10-3 , к-рые наз. регуляторами мол. массы (см. табл. 2). При С
1 в ходе р-ции образуются низкомол. продукты (см. Теломеризация).
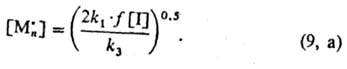
На начальных стадиях превращения радикальная полимеризация, как правило, протекает с постоянной скоростью, что связано с выполнением условия квазистационарности (постоянства концентрации активных центров):

Последнее позволяет определить концентрацию активных центров, к-рую находят подстановкой значений u1 и u3 из ур-ний (2) и (7) в ур-ние (9):

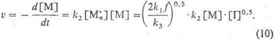
Поскольку мономер расходуется гл. обр. на стадии роста цепи, общая скорость v радикальной полимеризации практически равна скорости этой стадии и м. б. определена подстановкой выражения (9, а) в ур-ние (4):

Первый порядок по мономеру и половинный по инициатору наиб. типичны для радикальной полимеризации. Др. важнейший кинетич. параметр радикальной полимеризации-средняя мол. масса, или средняя степень полимеризации
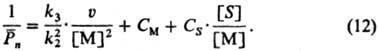
, образующегося полимера определяется отношением скорости роста цепи к сумме скоростей обрыва и передачи цепи:

В условиях квазистационарности и обрыва цепи диспропор-ционированием справедливо ур-ние:

Здесь См и Cs- константы передачи цепи на мономер и р-ритель (S). В случае обрыва цепи рекомбинацией радикалов в первое слагаемое вводится множитель 1/2.
Величина См определяет верх. возможный предел
. Для виниловых мономеров См
10-4-10-5, поэтому из них можно получать высокомол. полимеры. В то же время- из-за высоких значений См мономеров аллилового ряда (напр., для аллилацетата См
0,1), пропилена и др. a-олефинов, обусловленных высокой подвижностью атомов Н в a-поло-жении к связи С=С, получить из таких мономеров полимеры обычными методами не удается.
Полимерам, образующимся при радикальной полимеризации, свойственно широкое молекулярно-массовое распределение (ММР), детальный характер к-рого в условиях гомог. процесса определяется механизмом ограничения растущих цепей. Так, при ограничении растущих цепей по р-циям диспропорционирования и (или) передачи
=2 (где
и
-соотв. среднемассовая и среднечисловая мол. массы), а при обрыве рекомбинацией
= 1,5. При параллельном осуществлении обеих р-ций бимолекулярного обрыва это отношение имеет промежут. значение. При радикальной полимеризации до глубоких степеней превращения мономеров или при образовании нерастворимого полимера наблюдается значит. уширение ММР вплоть до появления полимодального ММР.
С увеличением степени превращения мономера в ходе радикальной полимеризации происходят существ. изменения состава и физ. св-в реакц. среды, к-рые отражаются на кинетике р-ции и характеристиках образующихся продуктов. Так, значит. увеличение вязкости реакц. среды ограничивает в первую очередь диффузионную подвижность макрорадикалов и, следовательно, снижает скорость обрыва, приводя к увеличению скорости радикальной полимеризации и мол. массы образующегося полимера (гель-эффект). При образовании нерастворимого полимера подобные явления проявляются уже в начале процесса вследствие иммобилизации ("застревания") растущих цепей в матрице полимера.
В радикальной полимеризации широко используют полифункцион. инициаторы, мономеры, агенты передачи цепи, повторное участие к-рых в ходе полимеризации изменяет структуру полимера или кинетич. характеристики. Так, полиинициаторы способны придавать радикальной полимеризации кинетич. закономерности поликонденсации, из полифункцион. мономеров образуются сшитые полимеры, а введение полифункцион. агентов передачи цепи приводит к получению звездообразных полимеров.
Радикальная полимеризация может быть осуществлена в массе, эмульсии, суспензии, р-рс и др. средах (см., напр., Блочная полимеризация, Полимеризация в растворе, Эмульсионная полимеризация, Суспензионная полимеризация, Газофазная полимеризация).
Первые наблюдения о возможности самопроизвольной (термической) полимеризации высокоактивных мономеров (стирол, винилхлорид) сделаны еще в сер. 19 в. Однако представление о радикальной полимеризации как о радикально-цепном процессе, состоящем из совокупности элементарных актов, начали складываться в 30-40-е гг. 20 в. (Г. Штаудингср. П. Флори, С, С. Медведев, C.B. Лебедев) в тесной связи с развитием общих представлений о цепных р-циях и своб. радикалах (см. Цепные реакции, Радикалы свободные).
Лит.: Багдасарьян Х.С., Теория радикальной полимеризации, М., 1966; Оудиан Дж., Основы химии полимеров, пер. с англ., М., 1974; Глады-шсв Г. П., Попов В. А., Радикальная полимеризация при глубоких степенях превращения, М., 1974: Иванчев С. С., Радикальная полимеризация, Л., 1985; Кабанов В. А., Зубов В. П., Семчиков Ю.Д., Комплексно-радикальная полимеризация, М., 1987. М. Б. Лачинов. В. П. Зубов.